Test

Transkrypt

Test
Klasa 3
Konkurs 2009
21. W twoim organizmie wiele czci wystpuje parami: masz na przykad dwie
rce, dwie nogi, dwie nerki. Masz jednak takie czci, które wystpuj
pojedynczo. Na przykad: masz tylko jedno serce i znajduje si ono nieco po
lewej stronie twojego ciaa. Gdzie le twój odek i twoja wtroba?
A) odek ley nieco po prawej stronie, a wtroba nieco po lewej stronie ciaa
B) odek i wtroba le nieco po prawej stronie ciaa
C) odek i wtroba le po nieco lewej stronie ciaa
D) odek ley nieco po lewej stronie, a wtroba nieco po prawej stronie ciaa
23. Tama filmowa skada si z pojedynczych zdj, tak zwanych kadrów.
Ogldajc film nie widzisz jednak pojedynczych zdj. Tama filmowa jest
wywietlana tak szybko, e ruch obrazów na ekranie wydaje si pynny.
Ile kadrów na sekund przemyka wtedy przed twoimi oczami?
A) 9
B) 24
C) 50
D) 100
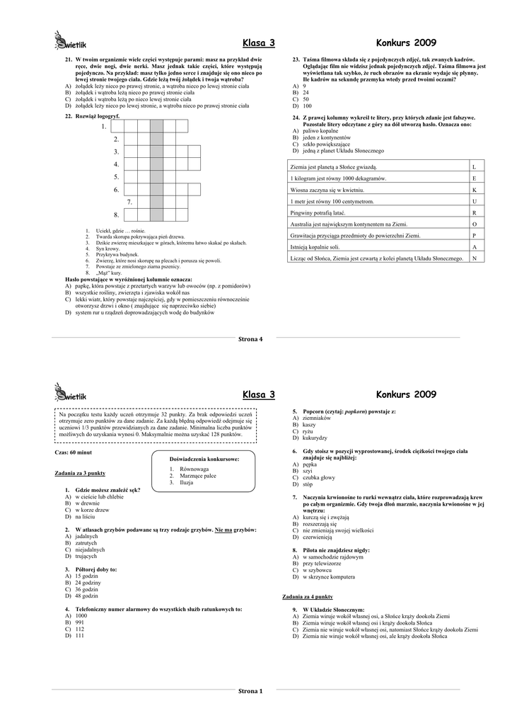
22. Rozwi logogryf.
24. Z prawej kolumny wykrel te litery, przy których zdanie jest faszywe.
Pozostae litery odczytane z góry na dó utworz haso. Oznacza ono:
A) paliwo kopalne
B) jeden z kontynentów
C) szko powikszajce
D) jedn z planet Ukadu Sonecznego
1.
2.
3.
4.
Ziemia jest planet a Soce gwiazd.
L
5.
1 kilogram jest równy 1000 dekagramów.
E
6.
Wiosna zaczyna si w kwietniu.
K
1 metr jest równy 100 centymetrom.
U
Pingwiny potrafi lata.
R
Australia jest najwikszym kontynentem na Ziemi.
O
Grawitacja przyciga przedmioty do powierzchni Ziemi.
P
Istniej kopalnie soli.
A
Liczc od Soca, Ziemia jest czwart z kolei planet Ukadu Sonecznego.
N
7.
8.
1.
2.
3.
4.
5.
6.
7.
Uciek, gdzie … ronie.
Twarda skorupa pokrywajca pie drzewa.
Dzikie zwierz mieszkajce w górach, któremu atwo skaka po skaach.
Syn krowy.
Przykrywa budynek.
Zwierz, które nosi skorup na plecach i porusza si powoli.
Powstaje ze zmielonego ziarna pszenicy.
„M” kury.
8.
Haso powstajce w wyrónionej kolumnie oznacza:
A) papk, która powstaje z przetartych warzyw lub owoców (np. z pomidorów)
B) wszystkie roliny, zwierzta i zjawiska wokó nas
C) lekki wiatr, który powstaje najczciej, gdy w pomieszczeniu równoczenie
otworzysz drzwi i okno ( znajdujce si naprzeciwko siebie)
D) system rur u rzdze doprowadzajcych wod do budynków
Strona4
Klasa 3
Konkurs 2009
Na pocztku testu kady ucze otrzymuje 32 punkty. Za brak odpowiedzi ucze
otrzymuje zero punktów za dane zadanie. Za kad bdn odpowied odejmuje si
uczniowi 1/3 punktów przewidzianych za dane zadanie. Minimalna liczba punktów
moliwych do uzyskania wynosi 0. Maksymalnie mona uzyska 128 punktów.
Czas: 60 minut
Dowiadczenia konkursowe:
Zadania za 3 punkty
1.
2.
3.
Gdzie moesz znale sk?
w ciecie lub chlebie
w drewnie
w korze drzew
na liciu
2.
A)
B)
C)
D)
W atlasach grzybów podawane s trzy rodzaje grzybów. Nie ma grzybów:
jadalnych
zatrutych
niejadalnych
trujcych
3.
A)
B)
C)
D)
Pótorej doby to:
15 godzin
24 godziny
36 godzin
48 godzin
4.
A)
B)
C)
D)
Telefoniczny numer alarmowy do wszystkich sub ratunkowych to:
1000
991
112
111
Popcorn (czytaj: popkorn) powstaje z:
ziemniaków
kaszy
ryu
kukurydzy
6.
Gdy stoisz w pozycji wyprostowanej, rodek cikoci twojego ciaa
znajduje si najbliej:
ppka
szyi
czubka gowy
stóp
A)
B)
C)
D)
Równowaga
Marznce palce
Iluzja
1.
A)
B)
C)
D)
5.
A)
B)
C)
D)
7.
A)
B)
C)
D)
Naczynia krwionone to rurki wewntrz ciaa, które rozprowadzaj krew
po caym organizmie. Gdy twoja do marznie, naczynia krwionone w jej
wntrzu:
kurcz si i zwaj
rozszerzaj si
nie zmieniaj swojej wielkoci
czerwieniej
8.
A)
B)
C)
D)
Pilota nie znajdziesz nigdy:
w samochodzie rajdowym
przy telewizorze
w szybowcu
w skrzynce komputera
Zadania za 4 punkty
Strona1
9.
A)
B)
C)
D)
W Ukadzie Sonecznym:
Ziemia wiruje wokó wasnej osi, a Soce kry dookoa Ziemi
Ziemia wiruje wokó wasnej osi i kry dookoa Soca
Ziemia nie wiruje wokó wasnej osi, natomiast Soce kry dookoa Ziemi
Ziemia nie wiruje wokó wasnej osi, ale kry dookoa Soca
Klasa 3
Konkurs 2009
10. Z którego zboa robi si mk pszenn?
13. Przypomnij sobie dowiadczenie o równowadze. Przeczytaj uwanie zdania:
Puszk po napoju napenion prawie do poowy mona ustawi na paskim blacie
uoon pod ktem do niego tak, eby bez podtrzymywania nie przewrócia si.
Czowiek, który postawi lew stop przy cianie, równolegle do niej i przycinie si
lewym bokiem do tej ciany moe bez niczyjej dodatkowej pomocy stan na lewej
nodze nie odrywajc si od ciany.
11.
A)
B)
C)
D)
Zdecyduj:
A) pierwsze zdanie jest prawdziwie, a drugie faszywe
B) pierwsze zdanie jest faszywe, a drugie prawdziwe
C) oba zdania s prawdziwe
D) oba zdania s faszywe
A)
B)
C)
D)
Wyobramy sobie, e jest pitek, 1 kwietnia 2009 roku, Po dwóch latach
i dziesiciu miesicach od tej daty wkroczylibymy w miesic (rozpoczby
si miesic), który miaby:
28 dni
29 dni
30 dni
31 dni
12. Skorzystaj z zaszyfrowanego alfabetu. Odczytaj szyfr i dokocz zdanie pod
szyfrem.
Alfabet:
A
D
E
I
J
K
L
N
R
T
U
Y
Z
14.
A)
B)
C)
D)
Do czego nie da si na trwae przyczepi magnesu:
do klucza od drzwi wejciowych do domu
do drzwi lodówki
do rubokrta
do aluminiowej puszki po napoju
15.
A)
B)
C)
D)
W Indiach mieszkaj:
Indyjczycy
Indianie
Hindusi
Inkowie
Szyfr:
16. Znak pokazany na rysunku informuje o:
A)
B)
C)
D)
A)
B)
C)
D)
moliwoci wystpowania burz
drogowym wypadku
moliwoci wpadnicia w polizg
wysokim napiciu sieci elektrycznej
pingwin
niedwied polarny
lew
mi koala
Strona2
Klasa 3
Konkurs 2009
Zadania za 5 punktów
19. Na wykresie przedstawiona zostaa szybko wiatru w czterech miastach
Polski w dniu 23 kwietnia 2008 roku.
17. mieci, odpadów i zuytych sprztów pozbywamy si na róne sposoby.
Jeli chcemy chroni rodowisko cz z nich powinna trafi do specjalnych
pojemników lub miejsc do tego przeznaczonych. Patryk pozby si zuytych
lub niewieych produktów na róne sposoby. Nastpnie zapisa w tabelce
to, co zrobi. Dwie czynnoci wykona nieprawidowo. Znajd je w tabelce
i odpowiedz, w której kolumnie jest bd.
Prawdziwe jest zdanie:
A) Najsilniejszy wiatr
by na poudniu, a
najsabszy na pónocy
Polski.
B) Najsilniejszy wiatr
by w górach, a
najsabszy na pónocy
Polski.
C) Najsilniejszy wiatr
by nad morzem, a
najsabszy na
poudniu Polski.
D) Najsilniejszy wiatr
by w górach, a
najsabszy nad morzem.
Notatki Patryka
wyrzuciem do
zwykego kosza
na mieci
niewiee maso
zuyt torebk
od herbaty
ekspresowej
plastikow
butelk
po wodzie
mineralnej
A)
B)
C)
D)
zaniosem do
specjalnego punktu
odbioru
wyrzuciem do
specjalnego
pojemnika
recyklingowego
wyrzuciem
na kompost
przeterminowane
lekarstwa
tektur
skorupki
od jajek
zuyte baterie
drewnian nog od
starego krzesa
obierki
z ziemniaków
zepsuty monitor
komputerowy
metalow puszk
sfermentowan
saatk
z marchewki
20. Rozwi rebus:
w pierwszej i drugiej kolumnie
w pierwszej i trzeciej kolumnie
w drugiej i trzeciej kolumnie
w drugiej i czwartej kolumnie
18. Dwa jajka i szklanka mki wa razem 30 dag, a trzy jajka i dwie szklanki
mki wa 54 dag. Ile way jedno jajko i dwie szklanki mki?
A) 24 dag
B) 30 dag
C) 36 dag
D) 42 dag
Strona3
Sowo to oznacza przedmiot, który znajduje si na przykad w:
A) latarce
B) komputerze
C) arówce
D) nieelektrycznej (rcznej) maszynce do mielenia misa
Klasa 3
Konkurs 2009
10. Z którego zboa robi si mk pszenn?
13. Przypomnij sobie dowiadczenie o równowadze. Przeczytaj uwanie zdania:
Puszk po napoju napenion prawie do poowy mona ustawi na paskim blacie
uoon pod ktem do niego tak, eby bez podtrzymywania nie przewrócia si.
Czowiek, który postawi lew stop przy cianie, równolegle do niej i przycinie si
lewym bokiem do tej ciany moe bez niczyjej dodatkowej pomocy stan na lewej
nodze nie odrywajc si od ciany.
11.
A)
B)
C)
D)
Zdecyduj:
A) pierwsze zdanie jest prawdziwie, a drugie faszywe
B) pierwsze zdanie jest faszywe, a drugie prawdziwe
C) oba zdania s prawdziwe
D) oba zdania s faszywe
A)
B)
C)
D)
Wyobramy sobie, e jest pitek, 1 kwietnia 2009 roku, Po dwóch latach
i dziesiciu miesicach od tej daty wkroczylibymy w miesic (rozpoczby
si miesic), który miaby:
28 dni
29 dni
30 dni
31 dni
12. Skorzystaj z zaszyfrowanego alfabetu. Odczytaj szyfr i dokocz zdanie pod
szyfrem.
Alfabet:
A
D
E
I
J
K
L
N
R
T
U
Y
Z
14.
A)
B)
C)
D)
Do czego nie da si na trwae przyczepi magnesu:
do klucza od drzwi wejciowych do domu
do drzwi lodówki
do rubokrta
do aluminiowej puszki po napoju
15.
A)
B)
C)
D)
W Indiach mieszkaj:
Indyjczycy
Indianie
Hindusi
Inkowie
Szyfr:
16. Znak pokazany na rysunku informuje o:
A)
B)
C)
D)
A)
B)
C)
D)
moliwoci wystpowania burz
drogowym wypadku
moliwoci wpadnicia w polizg
wysokim napiciu sieci elektrycznej
pingwin
niedwied polarny
lew
mi koala
Strona2
Klasa 3
Konkurs 2009
Zadania za 5 punktów
19. Na wykresie przedstawiona zostaa szybko wiatru w czterech miastach
Polski w dniu 23 kwietnia 2008 roku.
17. mieci, odpadów i zuytych sprztów pozbywamy si na róne sposoby.
Jeli chcemy chroni rodowisko cz z nich powinna trafi do specjalnych
pojemników lub miejsc do tego przeznaczonych. Patryk pozby si zuytych
lub niewieych produktów na róne sposoby. Nastpnie zapisa w tabelce
to, co zrobi. Dwie czynnoci wykona nieprawidowo. Znajd je w tabelce
i odpowiedz, w której kolumnie jest bd.
Prawdziwe jest zdanie:
A) Najsilniejszy wiatr
by na poudniu, a
najsabszy na pónocy
Polski.
B) Najsilniejszy wiatr
by w górach, a
najsabszy na pónocy
Polski.
C) Najsilniejszy wiatr
by nad morzem, a
najsabszy na
poudniu Polski.
D) Najsilniejszy wiatr
by w górach, a
najsabszy nad morzem.
Notatki Patryka
wyrzuciem do
zwykego kosza
na mieci
niewiee maso
zuyt torebk
od herbaty
ekspresowej
plastikow
butelk
po wodzie
mineralnej
A)
B)
C)
D)
zaniosem do
specjalnego punktu
odbioru
wyrzuciem do
specjalnego
pojemnika
recyklingowego
wyrzuciem
na kompost
przeterminowane
lekarstwa
tektur
skorupki
od jajek
zuyte baterie
drewnian nog od
starego krzesa
obierki
z ziemniaków
zepsuty monitor
komputerowy
metalow puszk
sfermentowan
saatk
z marchewki
20. Rozwi rebus:
w pierwszej i drugiej kolumnie
w pierwszej i trzeciej kolumnie
w drugiej i trzeciej kolumnie
w drugiej i czwartej kolumnie
18. Dwa jajka i szklanka mki wa razem 30 dag, a trzy jajka i dwie szklanki
mki wa 54 dag. Ile way jedno jajko i dwie szklanki mki?
A) 24 dag
B) 30 dag
C) 36 dag
D) 42 dag
Strona3
Sowo to oznacza przedmiot, który znajduje si na przykad w:
A) latarce
B) komputerze
C) arówce
D) nieelektrycznej (rcznej) maszynce do mielenia misa
Klasa 3
Konkurs 2009
21. W twoim organizmie wiele czci wystpuje parami: masz na przykad dwie
rce, dwie nogi, dwie nerki. Masz jednak takie czci, które wystpuj
pojedynczo. Na przykad: masz tylko jedno serce i znajduje si ono nieco po
lewej stronie twojego ciaa. Gdzie le twój odek i twoja wtroba?
A) odek ley nieco po prawej stronie, a wtroba nieco po lewej stronie ciaa
B) odek i wtroba le nieco po prawej stronie ciaa
C) odek i wtroba le po nieco lewej stronie ciaa
D) odek ley nieco po lewej stronie, a wtroba nieco po prawej stronie ciaa
23. Tama filmowa skada si z pojedynczych zdj, tak zwanych kadrów.
Ogldajc film nie widzisz jednak pojedynczych zdj. Tama filmowa jest
wywietlana tak szybko, e ruch obrazów na ekranie wydaje si pynny.
Ile kadrów na sekund przemyka wtedy przed twoimi oczami?
A) 9
B) 24
C) 50
D) 100
22. Rozwi logogryf.
24. Z prawej kolumny wykrel te litery, przy których zdanie jest faszywe.
Pozostae litery odczytane z góry na dó utworz haso. Oznacza ono:
A) paliwo kopalne
B) jeden z kontynentów
C) szko powikszajce
D) jedn z planet Ukadu Sonecznego
1.
2.
3.
4.
Ziemia jest planet a Soce gwiazd.
L
5.
1 kilogram jest równy 1000 dekagramów.
E
6.
Wiosna zaczyna si w kwietniu.
K
1 metr jest równy 100 centymetrom.
U
Pingwiny potrafi lata.
R
Australia jest najwikszym kontynentem na Ziemi.
O
Grawitacja przyciga przedmioty do powierzchni Ziemi.
P
Istniej kopalnie soli.
A
Liczc od Soca, Ziemia jest czwart z kolei planet Ukadu Sonecznego.
N
7.
8.
1.
2.
3.
4.
5.
6.
7.
Uciek, gdzie … ronie.
Twarda skorupa pokrywajca pie drzewa.
Dzikie zwierz mieszkajce w górach, któremu atwo skaka po skaach.
Syn krowy.
Przykrywa budynek.
Zwierz, które nosi skorup na plecach i porusza si powoli.
Powstaje ze zmielonego ziarna pszenicy.
„M” kury.
8.
Haso powstajce w wyrónionej kolumnie oznacza:
A) papk, która powstaje z przetartych warzyw lub owoców (np. z pomidorów)
B) wszystkie roliny, zwierzta i zjawiska wokó nas
C) lekki wiatr, który powstaje najczciej, gdy w pomieszczeniu równoczenie
otworzysz drzwi i okno ( znajdujce si naprzeciwko siebie)
D) system rur u rzdze doprowadzajcych wod do budynków
Strona4
Klasa 3
Konkurs 2009
Na pocztku testu kady ucze otrzymuje 32 punkty. Za brak odpowiedzi ucze
otrzymuje zero punktów za dane zadanie. Za kad bdn odpowied odejmuje si
uczniowi 1/3 punktów przewidzianych za dane zadanie. Minimalna liczba punktów
moliwych do uzyskania wynosi 0. Maksymalnie mona uzyska 128 punktów.
Czas: 60 minut
Dowiadczenia konkursowe:
Zadania za 3 punkty
1.
2.
3.
Gdzie moesz znale sk?
w ciecie lub chlebie
w drewnie
w korze drzew
na liciu
2.
A)
B)
C)
D)
W atlasach grzybów podawane s trzy rodzaje grzybów. Nie ma grzybów:
jadalnych
zatrutych
niejadalnych
trujcych
3.
A)
B)
C)
D)
Pótorej doby to:
15 godzin
24 godziny
36 godzin
48 godzin
4.
A)
B)
C)
D)
Telefoniczny numer alarmowy do wszystkich sub ratunkowych to:
1000
991
112
111
Popcorn (czytaj: popkorn) powstaje z:
ziemniaków
kaszy
ryu
kukurydzy
6.
Gdy stoisz w pozycji wyprostowanej, rodek cikoci twojego ciaa
znajduje si najbliej:
ppka
szyi
czubka gowy
stóp
A)
B)
C)
D)
Równowaga
Marznce palce
Iluzja
1.
A)
B)
C)
D)
5.
A)
B)
C)
D)
7.
A)
B)
C)
D)
Naczynia krwionone to rurki wewntrz ciaa, które rozprowadzaj krew
po caym organizmie. Gdy twoja do marznie, naczynia krwionone w jej
wntrzu:
kurcz si i zwaj
rozszerzaj si
nie zmieniaj swojej wielkoci
czerwieniej
8.
A)
B)
C)
D)
Pilota nie znajdziesz nigdy:
w samochodzie rajdowym
przy telewizorze
w szybowcu
w skrzynce komputera
Zadania za 4 punkty
Strona1
9.
A)
B)
C)
D)
W Ukadzie Sonecznym:
Ziemia wiruje wokó wasnej osi, a Soce kry dookoa Ziemi
Ziemia wiruje wokó wasnej osi i kry dookoa Soca
Ziemia nie wiruje wokó wasnej osi, natomiast Soce kry dookoa Ziemi
Ziemia nie wiruje wokó wasnej osi, ale kry dookoa Soca