Zał. Nr 2 - Specyfikacja techniczna mebli. Wyposażenie

Transkrypt

Zał. Nr 2 - Specyfikacja techniczna mebli. Wyposażenie
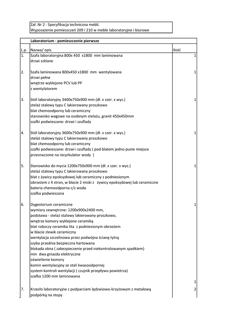
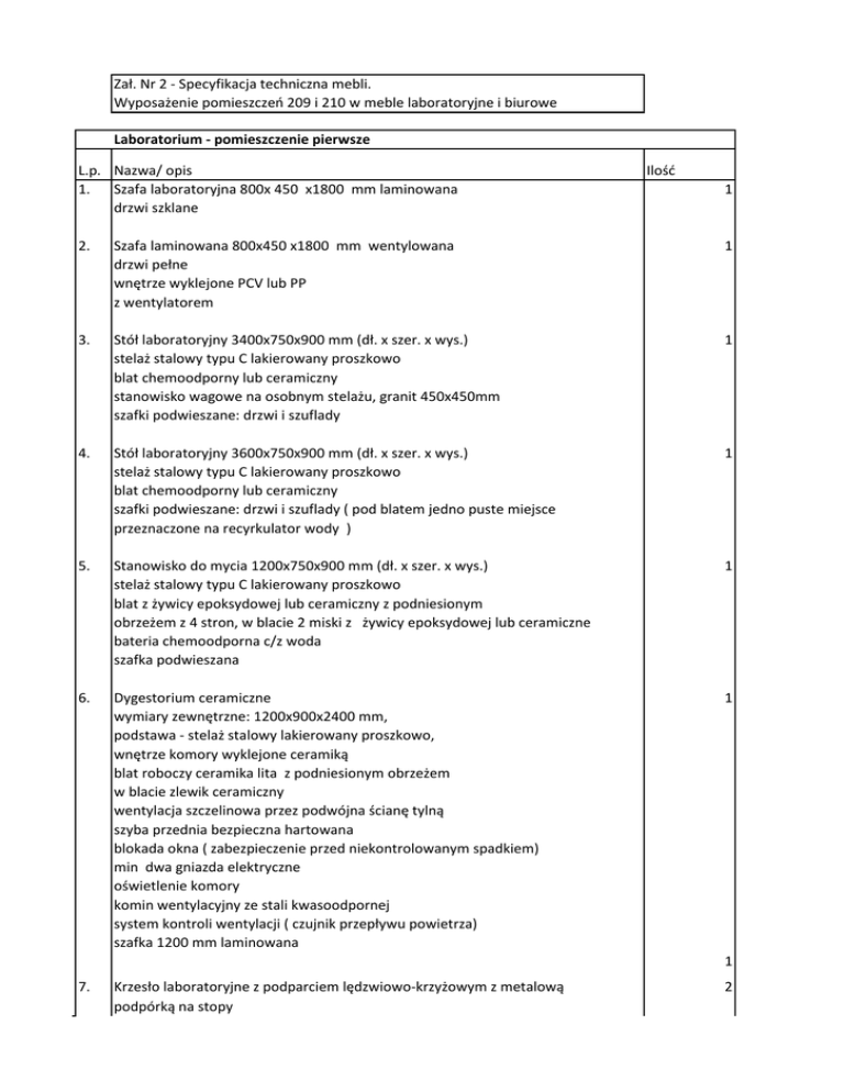
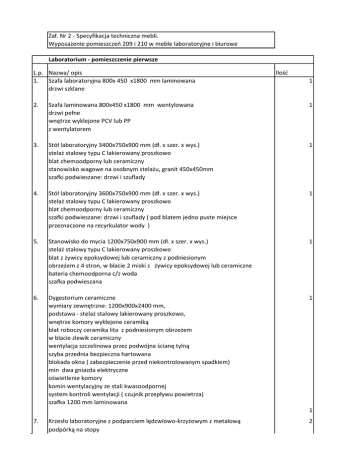
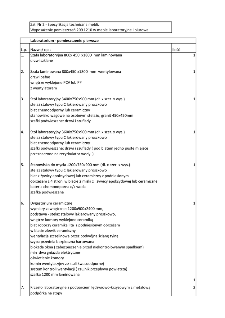
Zał. Nr 2 - Specyfikacja techniczna mebli.
Wyposażenie pomieszczeń 209 i 210 w meble laboratoryjne i biurowe
Laboratorium - pomieszczenie pierwsze
L.p. Nazwa/ opis
1.
Szafa laboratoryjna 800x 450 x1800 mm laminowana
drzwi szklane
Ilość
1
2.
Szafa laminowana 800x450 x1800 mm wentylowana
drzwi pełne
wnętrze wyklejone PCV lub PP
z wentylatorem
1
3.
Stół laboratoryjny 3400x750x900 mm (dł. x szer. x wys.)
stelaż stalowy typu C lakierowany proszkowo
blat chemoodporny lub ceramiczny
stanowisko wagowe na osobnym stelażu, granit 450x450mm
szafki podwieszane: drzwi i szuflady
1
4.
Stół laboratoryjny 3600x750x900 mm (dł. x szer. x wys.)
stelaż stalowy typu C lakierowany proszkowo
blat chemoodporny lub ceramiczny
szafki podwieszane: drzwi i szuflady ( pod blatem jedno puste miejsce
przeznaczone na recyrkulator wody )
1
5.
Stanowisko do mycia 1200x750x900 mm (dł. x szer. x wys.)
stelaż stalowy typu C lakierowany proszkowo
blat z żywicy epoksydowej lub ceramiczny z podniesionym
obrzeżem z 4 stron, w blacie 2 miski z żywicy epoksydowej lub ceramiczne
bateria chemoodporna c/z woda
szafka podwieszana
1
6.
Dygestorium ceramiczne
wymiary zewnętrzne: 1200x900x2400 mm,
podstawa - stelaż stalowy lakierowany proszkowo,
wnętrze komory wyklejone ceramiką
blat roboczy ceramika lita z podniesionym obrzeżem
w blacie zlewik ceramiczny
wentylacja szczelinowa przez podwójna ścianę tylną
szyba przednia bezpieczna hartowana
blokada okna ( zabezpieczenie przed niekontrolowanym spadkiem)
min dwa gniazda elektryczne
oświetlenie komory
komin wentylacyjny ze stali kwasoodpornej
system kontroli wentylacji ( czujnik przepływu powietrza)
szafka 1200 mm laminowana
1
1
7.
Krzesło laboratoryjne z podparciem lędzwiowo-krzyżowym z metalową
podpórką na stopy
2
Pomieszczenie II biurowe
8.
Stolik laboratoryjny 800x700x900 mm
stelaż stalowy typu C lakierowany proszkowo
blat chemoodporny lub ceramiczny
szafka podwieszana: 800 cm 2 x drzwi
1
9.
Biurko 1400x700x800 mm ( szafka -szuflada +drzwi)
4
10.
Krzesło biurowe - siatkowe oparcie z podłokietnikami
3
11.
Szafa laminowana 800x450x1800 mm pełna
drzwi pełne, 4 półki
1
12.
Szafa lamonowana 800x450x1800 mm ( połowa szafy przeznaczona na
wieszaki z jedną półką na górze) drzwi pełne
1
13.
Regał laminowany na segregatory 800x450x1800 mm otwarty
1
14.
Szafa laminowana 800x450x1800 mm
góra przeszklona, dół drzwi pełne, 4 półki
2
15.
Szafka z blatem z laminatu 1000x600x900 mm
szafka na nogach 1000 cm 2 drzwi,
1
16. Krzesło biurowe, wzmocnione o wytrzymałości do 200 kg.
Uwaga!
Wymiary podane są orientacyjne , każdy z wykonawców przed złożeniem oferty jest
zobowiązany zwymiarować pomieszczenia i dopasować do nich meble.
Kolor mebli zostanie ustalony po konsultacji z przyszłym użytkownikiem (po przedstawieniu próbek i wzorów laminatów).
Producenci mebli laboratoryjnych i dygestorium winni posiadać certyfikat: ISO 9001:2008
1