PRC/OS/NW Nadzór Nad Sprzętem Kontrolno

Transkrypt

PRC/OS/NW Nadzór Nad Sprzętem Kontrolno
Procedura
SYSTEM ZARZĄDZANIA JAKOŚCIĄ
ISO 9001:2008 ( 6.3, 7.6 )
Numer dokumentu:
PRC/OS/NW
Tytuł:
Nadzór Nad Sprzętem Kontrolno-Pomiarowym i Urządzeniami
Opracował:
Radosław Zawiliński
Sprawdził / Zatwierdził :
Tomasz Piekoszewski
Data obowiązywania:
2014-04-01
Wydanie:
A
1. Cel i przedmiot
Celem procedury jest zapewnienie wysokiej jakości świadczonych usług poprzez wykorzystanie
nadzorowanego, sprawnego wyposażenia, urządzeń i sprzętu kontrolno-pomiarowego.
2. Zakres
Procedura dotyczy wszystkich pracowników firmy Serwisy Józef Skrzypa Spółka z ograniczoną
odpowiedzialnością Spółka komandytowa.
3. Właściciel procedury
Menedżerowie oddziałów/ Operator programu „Narzędziownia”
4. Odpowiedzialność
-
Menedżer Oddziału.
Operator programu „Narzędziownia” lub pracownik zastępujący Operatora.
Każdy pracownik Spółki Serwisy Józef Skrzypa Spółka z ograniczoną odpowiedzialnością
Spółka komandytowa użytkujący wyposażenie, sprzęt lub urządzenie odpowiedzialny jest za
poinformowanie swojego przełożonego o wystąpieniu niezgodności bądź potencjalnej
niezgodności dot. użytkowanego wyposażenia, sprzętu, urządzenia.
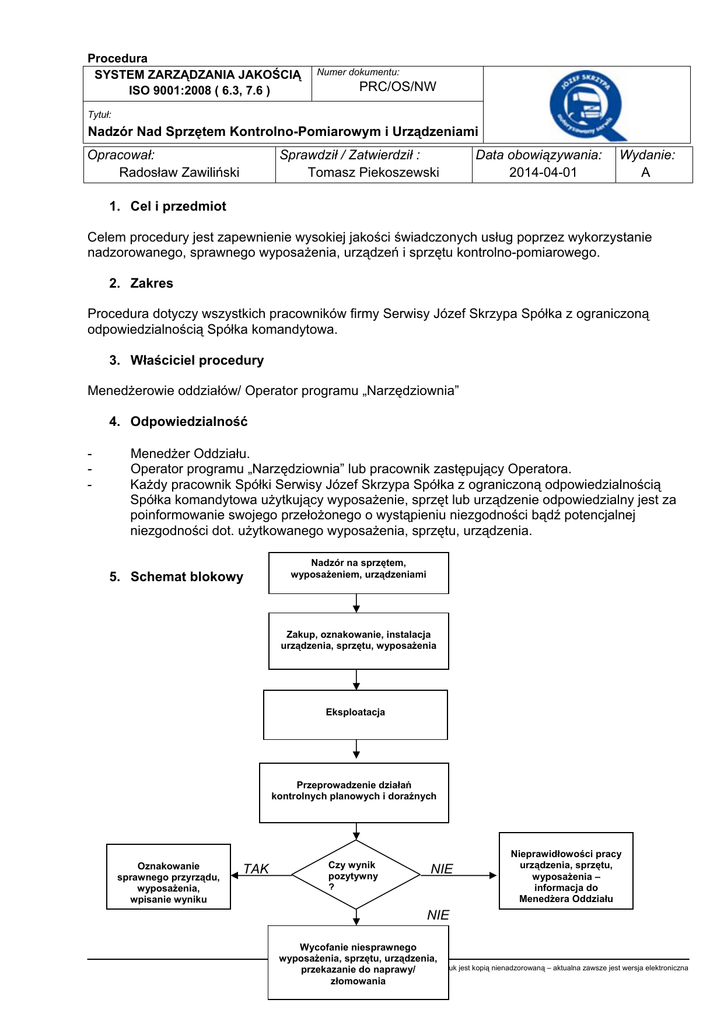
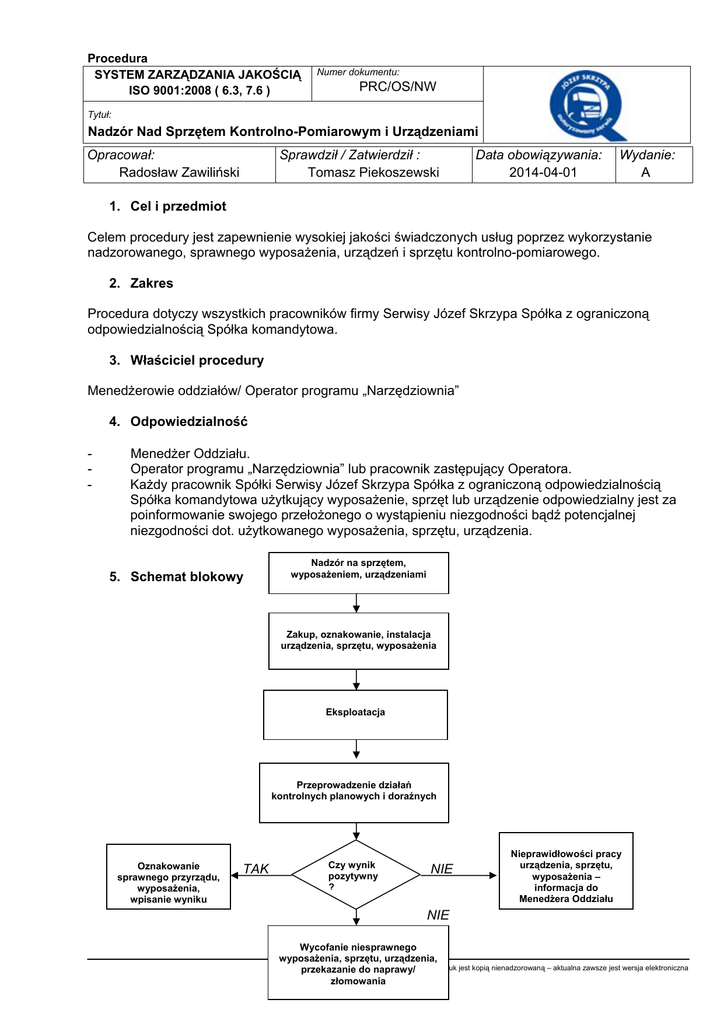
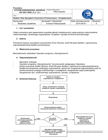
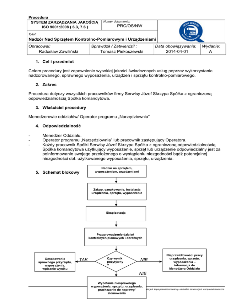
5. Schemat blokowy
Nadzór na sprzętem,
wyposażeniem, urządzeniami
Zakup, oznakowanie, instalacja
urządzenia, sprzętu, wyposażenia
Eksploatacja
Przeprowadzenie działań
kontrolnych planowych i doraźnych
Oznakowanie
sprawnego przyrządu,
wyposażenia,
wpisanie wyniku
TAK
Czy wynik
pozytywny
?
NIE
Nieprawidłowości pracy
urządzenia, sprzętu,
wyposażenia –
informacja do
Menedżera Oddziału
NIE
Wycofanie niesprawnego
wyposażenia, sprzętu, urządzenia,
1/3
Wydruk jest kopią nienadzorowaną – aktualna zawsze jest wersja elektroniczna
przekazanie do naprawy/
złomowania
Procedura
SYSTEM ZARZĄDZANIA JAKOŚCIĄ
ISO 9001:2008 ( 6.3, 7.6 )
Numer dokumentu:
PRC/OS/NW
Tytuł:
Nadzór Nad Sprzętem Kontrolno-Pomiarowym i Urządzeniami
6. Opis bloków schematu
Każdy nowo zakupiony sprzęt, wyposażenie, urządzenie ewidencjonowane jest przez
operatora programu Narzędziownia (dowodem PZ). Dla nowo przyjętych urządzeń ,które
wymagają okresowego przeglądu operator drukuje Protokół Przeglądu, w którym wpisywana
jest data następnego przeglądu.
Informacja o dacie przeglądu wprowadzana jest do programu Narzędziownia – w karcie
narzędzia
Jeżeli przyrząd nie posiada numeru seryjnego nadawany jest unikalny numer, który w sposób
trwały nanoszony jest na przyrząd.
Raz w m-cu, Operator programu Narzędziownia drukuje Harmonogram Kontroli Narzędzi
wyposażenia przewidzianego do kontroli i przesyła drogą elektroniczną do Menedżera
Oddziału oraz Dyrekcji.
Jeżeli wyposażenie wymaga kontroli (data wg harmonogramu),zostaje przekazane wraz z
Protokołem Przeglądu, a w przypadku kontroli zewnętrznej wraz z FO/OS/009 – Zlecenie
Zewnętrzne do Menedżera lokalizacji lub Instytucji uprawnionej. Menedżer Oddziału
wyznacza osobę do przeprowadzenia przeglądu wyposażenia. Potwierdzenie sprawdzenia
bądź legalizacji zostaje dołączone do dokumentacji danego wyposażenia w segregatorze
„Wyposażenie Oddziału” i odnotowane w Kartotece Narzędzia w programie Narzędziownia.
Każdy przyrząd kontrolno-pomiarowy podlega okresowej kontroli. Część z nich poddawana
jest legalizacji w uprawnionych jednostkach zewnętrznych, pozostałe podlegają wewnętrznej
kontroli (zgodnie z częstotliwością określoną w kartotece przyrządu w programie
Narzędziownia) w oparciu o przyrządy lub przymiary posiadające aktualne świadectwo
legalizacji , na podstawie normy ISO 6789. W przypadku zajścia podejrzenia o możliwość
niewłaściwego działania przyrząd jest sprawdzany niezwłocznie. Podczas kontroli przyrządu
wypełniany jest formularz kontroli zawierający zestawienie dokonanych pomiarów wraz z
określeniem wyniku kontroli.
Informacja o aktualności badania przyrządu znajduje się w programie Narzędziownia oraz w
segregatorze „Przyrządy kontrolno-pomiarowe”, który znajduje się w pomieszczeniu BOK lub
biura Menadżera Oddziału.
Każdy pracownik ma obowiązek zgłaszania wszelkich nieprawidłowości w wyposażeniu do
swojego przełożonego .Przed użyciem przyrządu kontrolno-pomiarowego należy zapoznać się
z instrukcją jego stosowania.
Każdy niesprawnie działający przyrząd jest niezwłocznie wycofany z użytkowania. Przyrząd
przeznaczony do naprawy jest odkładany na półkę „Narzędzi Niesprawnych”, która znajduje
się w Narzędziowni. W przypadku braku możliwości naprawy wyposażenia (pod kątem
technicznym lub ekonomicznym) wyposażenie zostaje wycofane z ewidencji Protokołem
Likwidacji.
W skład komisji likwidacyjnej wchodzą trzy osoby :Dyrektor ds. Logistyki, Menedżer Serwisu,
Asystent Warsztatu ,a Dyrektor Zarządzający zatwierdza Protokół Likwidacji.
Osoba upoważniona nadzoruje i zleca przeprowadzenie koniecznych odbiorów/kontroli(odbiór
techniczny, kontroli sprzętu p.poż.,kontroli przewodów kominowych i wentylacji, pomiarów
elektrycznych budynku, badań środowiskowych
Przyrządy kontrolno-pomiarowe użytkowane są przez pracowników firmy zgodnie z
przeznaczeniem i zgodnie z instrukcja obsługi i przepisami BHP.
2/3
Wydruk jest kopią nienadzorowaną – aktualna zawsze jest wersja elektroniczna
Procedura
SYSTEM ZARZĄDZANIA JAKOŚCIĄ
ISO 9001:2008 ( 6.3, 7.6 )
Numer dokumentu:
PRC/OS/NW
Tytuł:
Nadzór Nad Sprzętem Kontrolno-Pomiarowym i Urządzeniami
7. Dokumenty i Procesy związane
KJ – Księga Jakości
PRC/DSJ/DK – Działania Korygujące i Zapobiegawcze
FO/OS/009 – Zlecenie Zewnętrzne
FO/OS/011 – Formularz Kontroli Przyrządu Kontrolno- Pomiarowego
FO/OS/012 – Formularz Kontroli Klucza Dynamometrycznego
IN/OS/009 – Instrukcja Kontroli Przyrządu Pomiarowego
IN/OS/010 – Instrukcja Kontroli Manometrów
IN/OS/014- Instrukcja Kontroli Narzędzia VCADS-PRO
IN/OS/015-Instrukcja Kontroli Klucza Dynamometrycznego
PN-EN ISO 6789
8.
Zapisy
Zapis
Miejsce
przechowywania
1
Protokół Przeglądu
Zasoby Sieciowe
2
Harmonogram Kontroli
Narzędzi
Zasoby sieciowe
3
Kartoteka Narzędzia
Zasoby Sieciowe
4
Protokół Likwidacji
Zasoby sieciowe
Lp.
9.
Kto jest
odpowiedzialny
Właściciel
Procedury
Właściciel
Procedury
Właściciel
Procedury
Właściciel
Procedury
Jak długo
przechowywany
5 lat
5 lat
5 lat
5 lat
Opis zmian
Wydanie:
A
Opis zmiany:
Utworzenie Procedury
Nazwisko:
Zawiliński
3/3
Data aktualizacji:
2014-02-15
Wydruk jest kopią nienadzorowaną – aktualna zawsze jest wersja elektroniczna