SIWZ

Transkrypt

SIWZ
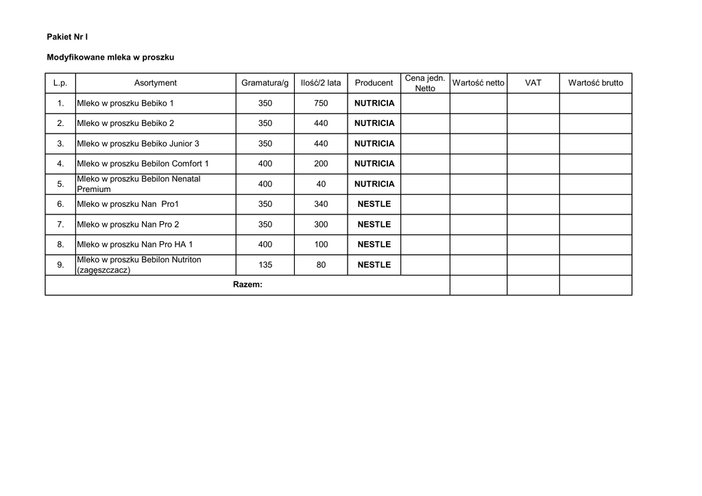
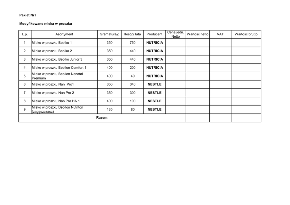
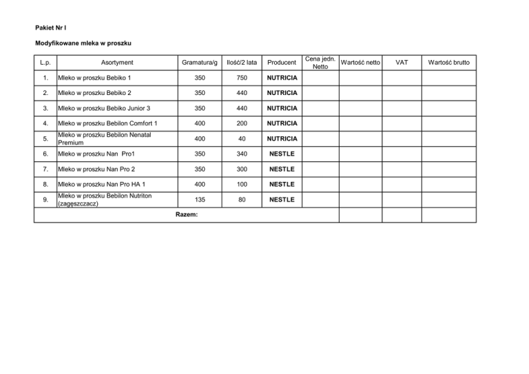
Pakiet Nr I
Modyfikowane mleka w proszku
L.p.
Asortyment
Gramatura/g
Ilość/2 lata
Producent
1.
Mleko w proszku Bebiko 1
350
750
NUTRICIA
2.
Mleko w proszku Bebiko 2
350
440
NUTRICIA
3.
Mleko w proszku Bebiko Junior 3
350
440
NUTRICIA
4.
Mleko w proszku Bebilon Comfort 1
400
200
NUTRICIA
5.
Mleko w proszku Bebilon Nenatal
Premium
400
40
NUTRICIA
6.
Mleko w proszku Nan Pro1
350
340
NESTLE
7.
Mleko w proszku Nan Pro 2
350
300
NESTLE
8.
Mleko w proszku Nan Pro HA 1
400
100
NESTLE
9.
Mleko w proszku Bebilon Nutriton
(zagęszczacz)
135
80
NESTLE
Razem:
Cena jedn.
Wartość netto
Netto
VAT
Wartość brutto
Pakiet II
Mleka modyfikowane przeznaczone dla niemowląt od urodzenia w płynie
L.p.
Asortyment
Enfamil Premium LIPIL DHA
op.a 6 szt.
Bebilon Nenatal Premium RTF
2.
op.a 24szt.
HiPP Pre Bio Combiotik
3.
op.a 24 szt.
Bebilon 1 RTF Profutura op.a 24
4.
szt.
Bebilon HMF – saszetka
5.
op.a 50 saszetek
Razem:
1.
poj. op. Ilość/szt. 2 lata
Producent
59 ml
504
MEAD JOHNSON
70 ml
2848
NUTRICIA
90 ml
2736
HIPP GMBH
70 ml
2880
NUTRICIA
2,2 g
6
NUTRICIA
Cena jedn.
netto
X
X
Producent
Cena jedn.
Netto
Wartość netto
VAT
Wartość brutto
X
Pakiet Nr III
Produkty odżywcze dla dzieci
L.p.
1.
2.
Asortyment
Produkt zbożowy bezglutenowy
dla niemowląt z alergią na białko
mleka krowiego i białko sojowe
od 5-go m-ca życia – Sinlac
Nutridrinnk – wanilia,
truskawka, czekolada, naturalny
Poj.op. Ilość/szt. 2 lata
500 g
80
NESTLE
200 ml
200
NUTRICIA
Razem:
Wartość netto
VAT
Wartość brutto
Pakiet IV
Produkty uzupełniające dietę dziecka
Ilość/szt.
2 lata
Producent
1. Kleik ryżowy a '160g
800
NESTLE
2. Kleik kukurydziany a' 160g
70
NESTLE
3. Kaszka ryżowa - malina a 180g
340
NESTLE
4. Kaszka ryżowa - banan a' 180g
300
NESTLE
5. Kaszka mleczno-ryżowa - banan a'230g
340
NESTLE
6. Kaszka mleczno-ryżowa - malina a' 230g
440
NESTLE
7. Kaszka mleczno-ryżowa - morela a' 230g
440
NESTLE
Razem:
X
X
L.p.
Asortyment
Cena jedn. Netto
X
Wartość netto
VAT
Wartość brutto