Projekt obejmuje opracowanie modelu systemowego aparatu

Transkrypt

Projekt obejmuje opracowanie modelu systemowego aparatu
Projekt obejmuje opracowanie modelu systemowego aparatu cyfrowego (części cyfrowej).
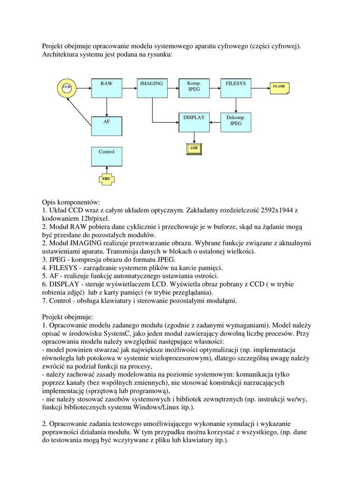
Architektura systemu jest podana na rysunku:
CCD
RAW
AF
IMAGING
Komp.
JPEG
FILESYS
DISPLAY
Dekomp.
JPEG
FLASH
LCD
Control
KBD
Opis komponentów:
1. Układ CCD wraz z całym układem optycznym. Zakładamy rozdzielczość 2592x1944 z
kodowaniem 12b/pixel.
2. Moduł RAW pobiera dane cyklicznie i przechowuje je w buforze, skąd na żądanie mogą
być przesłane do pozostałych modułów.
2. Moduł IMAGING realizuje przetwarzanie obrazu. Wybrane funkcje związane z aktualnymi
ustawieniami aparatu. Transmisja danych w blokach o ustalonej wielkości.
3. JPEG - kompresja obrazu do formatu JPEG.
4. FILESYS - zarządzanie systemem plików na karcie pamięci.
5. AF - realizuje funkcję automatycznego ustawiania ostrości.
6. DISPLAY - steruje wyświetlaczem LCD. Wyświetla obraz pobrany z CCD ( w trybie
robienia zdjęć) lub z karty pamięci (w trybie przeglądania).
7. Control - obsługa klawiatury i sterowanie pozostałymi modułąmi.
Projekt obejmuje:
1. Opracowanie modelu zadanego modułu (zgodnie z zadanymi wymaganiami). Model należy
opisać w środowisku SystemC, jako jeden moduł zawierający dowolną liczbę procesów. Przy
opracowaniu modelu należy uwzględnić następujące własności:
- model powinien stwarzać jak największe możliwości optymalizacji (np. implementacja
równoległa lub potokowa w systemie wieloprocesorowym), dlatego szczególną uwagę należy
zwrócić na podział funkcji na procesy,
- należy zachować zasady modelowania na poziomie systemowym: komunikacja tylko
poprzez kanały (bez wspólnych zmiennych), nie stosować konstrukcji narzucających
implementację (sprzętową lub programową),
- nie należy stosować zasobów systemowych i bibliotek zewnętrznych (np. instrukcji we/wy,
funkcji bibliotecznych systemu Windows/Linux itp.).
2. Opracowanie zadania testowego umożliwiającego wykonanie symulacji i wykazanie
poprawności działania modułu. W tym przypadku można korzystać z wszystkiego, (np. dane
do testowania mogą być wczytywane z pliku lub klawiatury itp.).