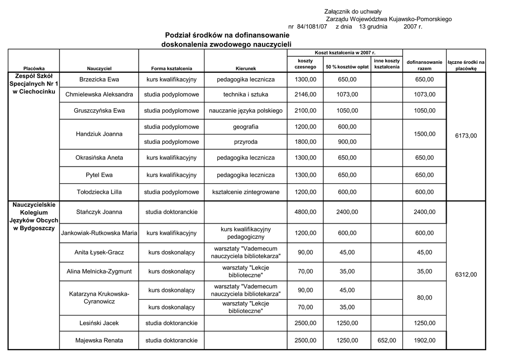
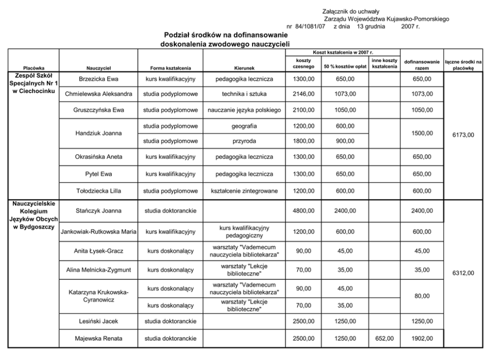
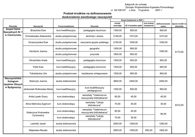
zał.do uch.84-1081

Transkrypt

zał.do uch.84-1081
Załącznik do uchwały
Zarządu Województwa Kujawsko-Pomorskiego
nr 84/1081/07 z dnia 13 grudnia
2007 r.2007 r.
Podział środków na dofinansowanie
doskonalenia zwodowego nauczycieli
Koszt kształcenia w 2007 r.
Placówka
Zespół Szkół
Specjalnych Nr 1
w Ciechocinku
Nauczyciel
Forma kształcenia
Kierunek
koszty
czesnego
Brzezicka Ewa
kurs kwalifikacyjny
pedagogika lecznicza
1300,00
650,00
650,00
Chmielewska Aleksandra
studia podyplomowe
technika i sztuka
2146,00
1073,00
1073,00
Gruszczyńska Ewa
studia podyplomowe
nauczanie języka polskiego
2100,00
1050,00
1050,00
studia podyplomowe
geografia
1200,00
600,00
studia podyplomowe
przyroda
1800,00
900,00
Okrasińska Aneta
kurs kwalifikacyjny
pedagogika lecznicza
1300,00
650,00
650,00
Pytel Ewa
kurs kwalifikacyjny
pedagogika lecznicza
1300,00
650,00
650,00
Tołodziecka Lilla
studia podyplomowe
kształcenie zintegrowane
1200,00
600,00
600,00
Stańczyk Joanna
studia doktoranckie
4800,00
2400,00
2400,00
Jankowiak-Rutkowska Maria
kurs kwalifikacyjny
kurs kwalifikacyjny
pedagogiczny
1200,00
600,00
600,00
Anita Łysek-Gracz
kurs doskonalący
warsztaty "Vademecum
nauczyciela bibliotekarza"
90,00
45,00
45,00
Alina Melnicka-Zygmunt
kurs doskonalący
warsztaty "Lekcje
biblioteczne"
70,00
35,00
35,00
kurs doskonalący
warsztaty "Vademecum
nauczyciela bibliotekarza"
90,00
45,00
kurs doskonalący
warsztaty "Lekcje
biblioteczne"
70,00
35,00
50 % kosztów opłat
inne koszty
kształcenia
Handziuk Joanna
Nauczycielskie
Kolegium
Języków Obcych
w Bydgoszczy
Katarzyna KrukowskaCyranowicz
dofinansowanie
razem
1500,00
80,00
Lesiński Jacek
studia doktoranckie
2500,00
1250,00
Majewska Renata
studia doktoranckie
2500,00
1250,00
1250,00
652,00
1902,00
łączne środki na
placówkę
6173,00
6312,00
Zespół Szkół
Społecznych w
Toruniu
Nauczycielskie
Kolegium
Języków Obcych
w Toruniu
Szkoła
Policealna
Medyczna w
Toruniu
Dzikowska Barbara
kurs kwalifikacyjny
Mikiewicz Artur
kurs kwalifikacyjny
pedagogiczny
1350,00
675,00
675,00
studia doktoranckie
3000,00
1500,00
1500,00
śylińska Marzena
studia doktoranckie
4755,00
2377,50
2377,50
Atanasoska Tatjana
kurs doskonalący
kurs języka polskiego dla
obcokrajowców
580,00
290,00
290,00
Borcz Maria
kurs doskonalący
biblioterapia jako sposób
przeciwdziałania agresji
120,00
60,00
60,00
Wiśniewska ElŜbieta
kurs doskonalący
biblioterapia jako sposób
przeciwdziałania agresji
120,00
60,00
60,00
De Louw Robert
studia doktoranckie
388,25
194,12
Chrzanowska GraŜyna
studia magisterskie
pedagogika
1500,00
750,00
750,00
Rojko Józef
licencjat
zdrowie publiczne
6000,00
3000,00
3000,00
Gliwiński Andrzej
studia podyplomowe
materiałoznastwo
dentystyczne z techniką i
technologią dentystyczną
2000,00
1000,00
1000,00
Popa Jacek
studia podyplomowe
materiałoznastwo
dentystyczne z techniką i
technologią dentystyczną
2000,00
1000,00
1000,00
kurs kwalifikacyjny
kurs kwalifikacyjny
pedagogiczny
1200,00
600,00
studia podyplomowe
materiałoznastwo
dentystyczne z techniką i
technologią dentystyczną
3000,00
1500,00
studia podyplomowe
materiałoznastwo
dentystyczne z techniką i
technologią dentystyczną
2000,00
1000,00
Grams Lucyna
śuberek Andrzej
675,00
5523,85
1042,23
1236,35
2100,00
1000,00
8850,00
Specjalny
Ośrodek
SzkolnoWychowawczy
nr 1 w
Bydgoszczy
Musiał Danuta
studia podyplomowe
rehabilitacja wzroku słabo
widzących
610,00
305,00
Bąkowska Joanna
studia podyplomowe
arteterapia
2400,00
1200,00
1200,00
Steinmetz-Gackowska
Małgorzata
studia podyplomowe
arteterapia
2400,00
1200,00
1200,00
Kulpeksza Paweł
studia podyplomowe
trener koszykówki
1200,00
600,00
600,00
Nehring Katarzyna
studia podyplomowe
kształcenie zintegrowane
3300,00
1650,00
1650,00
Borowicz -Lech Liliana
studia podyplomowe
kształcenie zintegrowane
2700,00
1350,00
1350,00
Wilczewski Andrzej
studia podyplomowe
informatyka
1200,00
600,00
600,00
Pasiak Ewa
studia magisterskie
pedagogika opiekuńczowychowawcza
1600,00
800,00
800,00
Szulc Joanna
studia magisterskie
pedagogika opiekuńczowychowawcza
1600,00
800,00
800,00
Zajda Dorota
kurs kwalifikacyjny
oligofrenopedagogika
1350,00
675,00
675,00
kurs kwalifikacyjny
oligofrenopedagogika
420,00
210,00
kurs kwalifikacyjny
surdopedagogika
1080,00
540,00
kurs kwalifikacyjny
oligofrenopedagogika
1300,00
650,00
kurs kwalifikacyjny
surdopedagogika
1080,00
540,00
kurs kwalifikacyjny
pedagogika opiekuńczowychowawcza
900,00
450,00
Frąszczak Ewa
397,00
750,00
Holka Monika
1190,00
Kajko Ewa
Krupierko Oliwia
92,00
17142,00
600,00
kurs kwalifikacyjny
organizacja i zarządzanie
oświatą
300,00
150,00
kurs kwalifikacyjny
pedagogika opiekuńczowychowawcza
1200,00
600,00
kurs kwalifikacyjny
surdopedagogika
1080,00
540,00
Matczyńska Małgorzata
600,00
790,00
kurs kwalifikacyjny
oligofrenopedagogika
500,00
250,00
Rybka Jolanta
kurs kwalifikacyjny
surdopedagogika
1080,00
540,00
540,00
Chojnacka Monika
kurs kwalifikacyjny
surdopedagogika
1200,00
600,00
600,00
Rudomska Hanna
kurs kwalifikacyjny
surdopedagogika
1200,00
600,00
600,00
Wiecki Zbigniew
kurs kwalifikacyjny
oligofrenopedagogika
1300,00
650,00
650,00
Woniakowska Kinga
kurs kwalifikacyjny
oligofrenopedagogika
300,00
150,00
150,00
Golas Łukasz
kurs kwalifikacyjny
oligofrenopedagogika
250,00
125,00
125,00
Zieleniewska Dorota
kurs kwalifikacyjny
surdopedagogika
300,00
150,00
150,00
Jaroch Jarosław
kurs kwalifikacyjny
tyflopedagogika
1250,00
625,00
625,00
Kranc Justyna
kurs kwalifikacyjny
pedagogika opiekuńczowychowawcza
300,00
150,00
150,00
Gerlach Katarzyna
kurs kwalifikacyjny
tyflopedagogika
300,00
150,00
150,00
kurs doskonalący
kurs komputerowy
200,00
100,00
kurs doskonalący
kurs komputerowy
200,00
100,00
studia podyplomowe
matematyka
1200,00
600,00
600,00
studia magisterskie
edukacja technicznoinformatyczna
3800,00
1900,00
1 900,00
Kowalska Wiesława
kurs kwalifikacyjny
terapia pedagogiczna
1400,00
700,00
700,00
Kacner Agata
studia podyplomowe
psychoterapia
6300,00
3150,00
3 150,00
Gierlasińska Małgorzata
studia podyplomowe
odzieŜownictwo
2600,00
1300,00
Łusiewicz Jacek
studia magisterskie
filologia angielska
4510,00
2255,00
studia podyplomowe
pedagogika opiekuńczowychowawcza
1200,00
600,00
studia podyplomowe
oligofrenopedagogika
1200,00
600,00
kurs kwalifikacyjny
oligofrenopedagogika
750,00
375,00
Fojucik Ewa
Specjalny
Ośrodek
SzkolnoWychowawczy
w Toruniu
Błaszkiewicz-Gruszka
Natalia
Jankowska-Kacprzak
Mieczysława
200,00
Popowska Małgorzata
Pawluczuk Anna
690,96
1 990,96
2 255,00
1 200,00
375,00
Specjalny
Ośrodek
SzkolnoWychowawczy
nr 2 w
Bydgoszczy
Prochowska Ewa
kurs kwalifikacyjny
oligofrenopedagogika
1400,00
700,00
700,00
Kiesińska Anna
studia podyplomowe
psychoterapia
4400,00
2200,00
2 200,00
Rychlicka Małgorzata
studia podyplomowe
hotelarstwo i turystyka
2300,00
1150,00
1 150,00
Radaszewska Aneta
studia podyplomowe
arteterapia
2400,00
1200,00
167,58
1 367,58
Suda Marzanna
studia podyplomowe
język polski i wiedza o
kulturze
1780,00
890,00
233,60
1 123,60
Domagała Agnieszka
studia podyplomowe
hotelarstwo i turystyka
1600,00
800,00
Wydrych Agnieszka
studia podyplomowe
odzieŜownictwo
2600,00
1300,00
Wrońska Magdalena
studia podyplomowe
przedsiębiorczość
1200,00
600,00
600,00
Kaczmarzyk Magdalena
studia licencjackie
filologia angielska z
technologią informacyjną
2000,00
1000,00
1 000,00
Dziduch Agnieszka
kurs kwalifikacyjny
oligofrenopedagogika
1700,00
850,00
850,00
Bieniek Krystyna
kurs doskonalący
kurs języka migowego
180,00
90,00
90,00
Czerwiec Hanna
studia magisterskie
pedagogika
950,00
475,00
475,00
kurs kwalifikacyjny
kurs pedagogicznometodyczny z języka
angielskiego
500,00
250,00
studia licencjackie
filologia angielska
1690,00
845,00
kurs kwalifikacyjny
oligofrenopedagogika
500,00
250,00
kurs kwalifikacyjny
pedagogika opiekuńczowychowawcza
1200,00
600,00
kurs doskonalący
kurs języka migowego
180,00
90,00
Karczewska Hanna
studia licencjackie
język angielski
1050,00
525,00
525,00
Kaczmarek Maciej
kurs kwalifikacyjny
pedagogika opiekuńczowychowawcza
1200,00
600,00
600,00
Kędziora Karolina
studia podyplomowe
surdopedagogika
1500,00
750,00
750,00
Floryszczyk Małgorzata
Janusz Dobrosława
Jaskuła Mieczysław
800,00
723,67
2 023,67
1095,00
250,00
690,00
23985,81
Kolano Joanna
studia podyplomowe
Ŝywienie człowieka oraz
gospodarstwo domowe
1500,00
750,00
750,00
Koźlinka-Stasiewska
Katarzyna
kurs doskonalący
kurs II stopnia biofeedback
900,00
450,00
450,00
Kwasek Anna
studia podyplomowe
surdologopedia
2000,00
1000,00
1000,00
Ludwig Katarzyna
studia podyplomowe
Ŝywienie człowieka oraz
gospodarstwo domowe
1500,00
750,00
750,00
Obremska Iwona
studia podyplomowe
surdologopedia
2000,00
1000,00
1000,00
kurs doskonalący
kurs dotyczący mediacji
rodzinnych
1550,00
775,00
kurs doskonalący
trening w zakresie kinezjologii
edukacyjnej
505,00
252,50
Ormiński Tomasz
kurs kwalifikacyjny
pedagogika opiekuńczowychowawcza
1200,00
600,00
600,00
Pawelec Łukasz
studia podyplomowe
surdopedagogika
1200,00
600,00
600,00
Puciato Alicja
studia podyplomowe
neurologopedia
2000,00
1000,00
1000,00
studia licencjackie
język angielski
2580,00
1290,00
Oliwkiewicz-Fryckowska
Joanna
1027,50
Wiczyńska Ewa
Zespół Szkół Nr
33 Specjalnych
dla Dzieci i
MłodzieŜy
1665,00
kurs kwalifikacyjny
surdopedagogika
750,00
375,00
Wyrwicz Anna
kurs doskonalący
kurs języka migowego
280,00
140,00
140,00
Zamorowska Agnieszka
studia podyplomowe
przyroda, biologia oraz
ochrona środowiska
2000,00
1000,00
1000,00
śukowski Maciej
kurs kwalifikacyjny
instruktor sportu w zakresie
pływania
1250
625
625,00
Glaza Honarata
kurs kwalifikacyjny
pedagogika opiekuńczowychowawcza
600,00
300,00
300,00
15082,50
MłodzieŜy
Przewlekle
Chorej
Franków Wojciech
studia podyplomowe
informatyka
800,00
400,00
400,00
885,00
Okręgowy
Ośrodek
Dokształcania
Zawodowego w
Bydgoszczy
KujawskoPomorskie
Centrum
Edukacji
Nauczycieli w
Toruniu
KujawskoPomorskie
Centrum
Edukacji
Nauczycieli we
Włocławku
Michalak Joanna
kurs doskonalący
terapia taktylna
370,00
185,00
185,00
Brett Katarzyna
kurs kwalifikacyjny
terapia pedagogiczna
900,00
450,00
450,00
Kuś Krzysztof
kurs kwalifikacyjny
pedagogika opiekuńczowychowawcza
1200,00
600,00
600,00
Jurewicz Anna
kurs kwalifikacyjny
kurs Mistrz Praktyk
4150,00
2075,00
2075,00
Potręć Danuta
kurs kwalifikacyjny
kurs kwalifikacyjny dla
oświatowej kadry kierowniczej
700,00
350,00
350,00
Wierzbicka Marzenna
kurs kwalifikacyjny
oligofrenopedagogika
500,00
250,00
250,00
Bąk ElŜbieta
kurs kwalifikacyjny
pedagogika opiekuńczowychowawcza
400,00
200,00
200,00
Kozikowska Tamara
studia doktoranckie
10000,00
5000,00
4000,00
Misztal Jolanta
studia doktoranckie
2400,00
1200,00
1200,00
Safian Agata
kurs doskonalący
130,00
65,00
65,00
1050,00
Program autorski konstruowanie, realizacja i
ewaluacja
2675,00
5525,00
kurs doskonalący
praca z uczniem o
specyficznych potrzebach
edukacyjnych w bibliotece
szkolnej
60,00
30,00
30,00
Podemska Teresa
kurs doskonalący
praca z uczniem o
specyficznych potrzebach
edukacyjnych w bibliotece
szkolnej
60,00
30,00
30,00
Frelichowska Justyna
studia magisterskie
psychologia
5700,00
2850,00
2850,00
Walewicz GraŜyna
Pedagogiczna
Biblioteka
Wojewódzka w
Bydgoszczy
Szkoła
Policealna
MedycznoSpołeczna w
Inowrocławiu
4050,00
Szulc Tomasz
studia podyplomowe
informatyka
2400,00
1200,00
1200,00
Ruczkowska Barbara
kurs kwalifikacyjny
kurs kwalifikacyjnopedagogiczny
1200,00
600,00
600,00
1350,00
studia podyplomowe
podyplomowe studium
archiwistyki
1500,00
750,00
studia podyplomowe
informacja naukowa i
bibliotekoznawstwo
2600,00
1300,00
kurs doskonalący
kurs języka niemieckiego
2002,08
1001,04
kurs doskonalący
tworzenie stron www
120,00
60,00
Skowroński Andrzej
kurs doskonalący
kurs języka angielskiego
500,00
250,00
250,00
Milewska-Warta Izabella
kurs doskonalący
kurs języka angielskiego
500,00
250,00
250,00
Zawałkiewicz Aldona
kurs doskonalący
kurs języka angielskiego
500,00
250,00
250,00
Karpińska Magdalena
Biblioteka
Pedagogiczna w
Toruniu
Siemińska Anna
750,00
2361,04
3111,04
Razem:
102390,20