Lgota Wielka - radomszczanska

Transkrypt

Lgota Wielka - radomszczanska
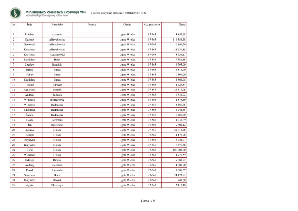
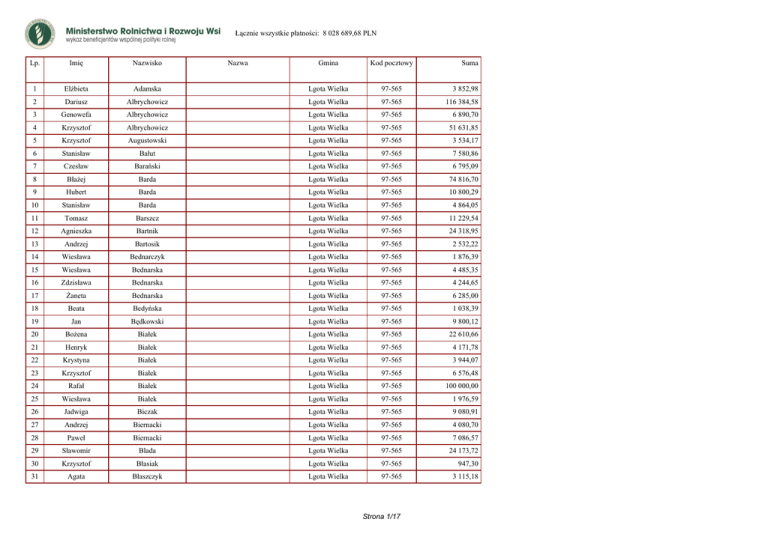
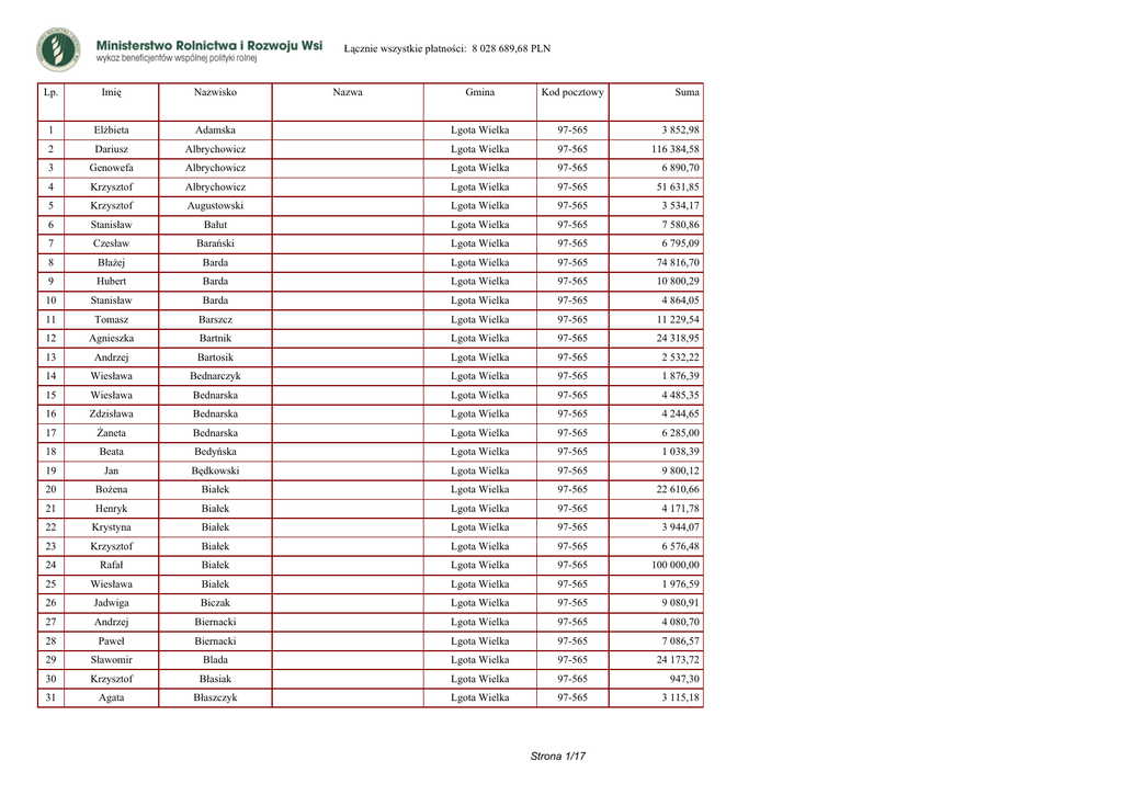
Łącznie wszystkie płatności: 8 028 689,68 PLN
Lp.
Imię
1
Elżbieta
2
Dariusz
3
Genowefa
4
Krzysztof
5
6
Nazwisko
Nazwa
Gmina
Kod pocztowy
Suma
Adamska
Lgota Wielka
97-565
3 852,98
Albrychowicz
Lgota Wielka
97-565
116 384,58
Albrychowicz
Lgota Wielka
97-565
6 890,70
Albrychowicz
Lgota Wielka
97-565
51 631,85
Krzysztof
Augustowski
Lgota Wielka
97-565
3 534,17
Stanisław
Bałut
Lgota Wielka
97-565
7 580,86
7
Czesław
Barański
Lgota Wielka
97-565
6 795,09
8
Błażej
Barda
Lgota Wielka
97-565
74 816,70
9
Hubert
Barda
Lgota Wielka
97-565
10 800,29
10
Stanisław
Barda
Lgota Wielka
97-565
4 864,05
11
Tomasz
Barszcz
Lgota Wielka
97-565
11 229,54
12
Agnieszka
Bartnik
Lgota Wielka
97-565
24 318,95
13
Andrzej
Bartosik
Lgota Wielka
97-565
2 532,22
14
Wiesława
Bednarczyk
Lgota Wielka
97-565
1 876,39
15
Wiesława
Bednarska
Lgota Wielka
97-565
4 485,35
16
Zdzisława
Bednarska
Lgota Wielka
97-565
4 244,65
17
Żaneta
Bednarska
Lgota Wielka
97-565
6 285,00
18
Beata
Bedyńska
Lgota Wielka
97-565
1 038,39
19
Jan
Będkowski
Lgota Wielka
97-565
9 800,12
20
Bożena
Białek
Lgota Wielka
97-565
22 610,66
21
Henryk
Białek
Lgota Wielka
97-565
4 171,78
22
Krystyna
Białek
Lgota Wielka
97-565
3 944,07
23
Krzysztof
Białek
Lgota Wielka
97-565
6 576,48
24
Rafał
Białek
Lgota Wielka
97-565
100 000,00
25
Wiesława
Białek
Lgota Wielka
97-565
1 976,59
26
Jadwiga
Biczak
Lgota Wielka
97-565
9 080,91
27
Andrzej
Biernacki
Lgota Wielka
97-565
4 080,70
28
Paweł
Biernacki
Lgota Wielka
97-565
7 086,57
29
Sławomir
Blada
Lgota Wielka
97-565
24 173,72
30
Krzysztof
Błasiak
Lgota Wielka
97-565
947,30
31
Agata
Błaszczyk
Lgota Wielka
97-565
3 115,18
Strona 1/17
32
Elżbieta
Błaszczyk
Lgota Wielka
97-565
5 403,79
33
34
Weronika
Błędniak
Lgota Wielka
97-565
3 333,78
Marek
Błędowski
Lgota Wielka
97-565
1 430,07
35
Czesław
Borowiecki
Lgota Wielka
97-565
12 564,65
36
Zofia
Boruta
Lgota Wielka
97-565
3 183,90
37
Barbara
Botór
Lgota Wielka
97-565
6 473,53
38
Bogusława
Broniszewska
Lgota Wielka
97-565
23 613,45
39
Paweł
Broniszewski
Lgota Wielka
97-565
9 538,86
40
Rafał
Broniszewski
Lgota Wielka
97-565
7 068,35
41
Joanna
Bugajska
Lgota Wielka
97-565
5 146,42
42
Zdzisław
Bugajski
Lgota Wielka
97-565
12 458,58
43
Edward
Bujacz
Lgota Wielka
97-565
27 002,04
44
Julita
Bujacz
Lgota Wielka
97-565
21 170,24
45
Karol
Bujacz
Lgota Wielka
97-565
11 355,40
46
Katarzyna
Bujacz
Lgota Wielka
97-565
4 460,40
47
Zenon
Bujacz
Lgota Wielka
97-565
16 857,33
48
Łukasz
Cebula
Lgota Wielka
97-565
147 004,59
49
ELŻBIETA
CEBULA
Lgota Wielka
97-565
10 076,90
50
Halina
Cegieła
Lgota Wielka
97-565
3 106,07
51
Stanisław
Chałaczkiewicz
Lgota Wielka
97-565
10 069,82
52
Eugeniusz
Chaładaj
Lgota Wielka
97-565
7 487,35
53
Anna
Chądzyńska
Lgota Wielka
97-565
1 502,94
54
Witold
Chądzyński
Lgota Wielka
97-565
15 320,96
55
Jolanta
Chmielewska
Lgota Wielka
97-565
5 456,11
56
Agnieszka
Chobot
Lgota Wielka
97-565
3 105,97
57
Paweł
Chobot
Lgota Wielka
97-565
407 715,17
58
Zdzisława
Chodakowska
Lgota Wielka
97-565
2 851,02
59
Paweł
Chojka
Lgota Wielka
97-565
14 870,53
60
Sławomir
Chojka
Lgota Wielka
97-565
1 156,80
61
Agnieszka
Chrząszcz
Lgota Wielka
97-565
8 070,31
62
Marianna
Chrząszcz
Lgota Wielka
97-565
12 309,21
63
Krzysztof
Chwilczyński
Lgota Wielka
97-565
7 387,16
64
Mieczysław
Chwilczyński
Lgota Wielka
97-565
106 362,65
65
Stefan
Cichoń
Lgota Wielka
97-565
1 812,63
66
Urszula
Ciepluch
Lgota Wielka
97-565
5 884,22
Strona 2/17
67
Andrzej
Cierpisz
Lgota Wielka
97-565
17 627,59
68
Elżbieta
Cierpisz
Lgota Wielka
97-565
6 357,87
69
Renata
Cierpisz
Lgota Wielka
97-565
7 368,94
70
Izabela
Cieśla
Lgota Wielka
97-565
2 368,26
71
Krzysztof
Cieśla
Lgota Wielka
97-565
19 930,16
72
Bogusława
Cieślak
Lgota Wielka
97-565
3 934,96
73
Grzegorz
Cieślak
Lgota Wielka
97-565
10 520,72
74
Jan
Cieślak
Lgota Wielka
97-565
7 507,42
75
Tomasz
Cieślak
Lgota Wielka
97-565
4 271,98
76
Joanna
Cisowska - Łatacz
Lgota Wielka
97-565
24 139,31
77
Bernard
Cisowski
Lgota Wielka
97-565
27 002,04
78
Kazimierz
Ciupa
Lgota Wielka
97-565
3 720,59
79
Anna
Dąbrowska
Lgota Wielka
97-565
15 578,16
80
Grzegorz
Dąbrowski
Lgota Wielka
97-565
910,87
81
Michał
Dąbrowski
Lgota Wielka
97-565
1 257,11
82
Przemysław
Dąbrówka
Lgota Wielka
97-565
65 623,96
83
Sławomir
Dąbrówka
Lgota Wielka
97-565
4 727,42
84
Jarosław
Długosz
Lgota Wielka
97-565
1 767,09
85
Marian
Drab
Lgota Wielka
97-565
15 578,16
86
Rafał
Drogosz
Lgota Wielka
97-565
3 561,50
87
Stanisław
Drogosz
Lgota Wielka
97-565
14 108,17
88
Wiesław
Dróżdż
Lgota Wielka
97-565
1 083,94
89
Kazimierz
Dryja
Lgota Wielka
97-565
8 252,48
90
Piotr
Dudek
Lgota Wielka
97-565
2 258,96
91
Adam
Durka
Lgota Wielka
97-565
7 724,18
92
Cezary
Dyguda
Lgota Wielka
97-565
951,86
93
Zofia
Dyguda
Lgota Wielka
97-565
8 313,00
94
Jan
Dziadkiewicz
Lgota Wielka
97-565
6 712,11
95
Leokadia
Dzierżawa
Lgota Wielka
97-565
3 547,23
96
Beata
Dziuboń
Lgota Wielka
97-565
5 720,26
97
Anna
Dźbik
Lgota Wielka
97-565
1 603,13
98
Tomasz
Famulski
Lgota Wielka
97-565
8 829,19
99
Anna
Frach
Lgota Wielka
97-565
3 051,41
100
Jacek
Frankowski
Lgota Wielka
97-565
1 184,13
101
Tomasz
Frankowski
Lgota Wielka
97-565
1 211,46
Strona 3/17
102
Zofia
Frydrychowska
Lgota Wielka
97-565
2 291,00
103
Rafał
Frydrychowski
Lgota Wielka
97-565
9 606,15
104
Marzanna
Gadzińska
Lgota Wielka
97-565
4 089,81
105
Artur
Gajda
Lgota Wielka
97-565
100 000,00
106
Bogumiła
Gajda
Lgota Wielka
97-565
1 484,72
107
Jacek
Gajda
Lgota Wielka
97-565
13 583,05
108
Roman
Gajda
Lgota Wielka
97-565
4 463,26
109
Czesław
Gajewski
Lgota Wielka
97-565
4 435,94
110
Małgorzata
Gałkowska
Lgota Wielka
97-565
3 716,35
111
Zdzisław
Gałkowski
Lgota Wielka
97-565
1 229,67
112
Dorota
Gałwa
Lgota Wielka
97-565
1 557,59
113
Norbert
Gałwa
Lgota Wielka
97-565
1 348,09
114
Aleksander
Gbur
Lgota Wielka
97-565
4 927,81
115
Krzysztof
Gierakowski
Lgota Wielka
97-565
4 481,48
116
Janina
Giermata
Lgota Wielka
97-565
8 370,70
117
Aneta
Gliźniewicz
Lgota Wielka
97-565
2 723,50
118
Marian
Gonera
Lgota Wielka
97-565
2 614,20
119
Ilona
Gorząd
Lgota Wielka
97-565
1 612,24
120
Aleksandra
Górecka
Lgota Wielka
97-565
3 297,35
121
Teresa
Górecka
Lgota Wielka
97-565
4 845,83
122
Andrzej
Górecki
Lgota Wielka
97-565
5 829,57
123
Marek
Górecki
Lgota Wielka
97-565
11 994,67
124
Rafał
Górecki
Lgota Wielka
97-565
7 277,85
125
Stanisław
Górecki
Lgota Wielka
97-565
5 374,13
126
Maria
Grabowska
Lgota Wielka
97-565
5 577,71
127
Justyna
Grzeszna
Lgota Wielka
97-565
4 836,72
128
Eugeniusz
Grzybek
Lgota Wielka
97-565
4 391,14
129
Radosław
Grzybek
Lgota Wielka
97-565
28 311,92
130
Włodzimierz
Grzybek
Lgota Wielka
97-565
2 231,63
131
Zofia
Jabłońska
Lgota Wielka
97-565
6 111,94
132
Mariusz
Jabłoński
Lgota Wielka
97-565
6 257,68
133
Ryszard
Jach
Lgota Wielka
97-565
3 998,72
134
Józefa
Jagusiak
Lgota Wielka
97-565
12 549,73
135
Antoni
Jakubowski
Lgota Wielka
97-565
1 329,87
136
Mirosław
Janczura
Lgota Wielka
97-565
7 195,87
Strona 4/17
137
Tomasz
Jankowski
Lgota Wielka
97-565
6 057,29
138
Stanisław
Janus
Lgota Wielka
97-565
31 367,67
139
Zdzisław
Janus
Lgota Wielka
97-565
3 546,70
140
Dariusz
Jaros
Lgota Wielka
97-565
3 324,68
141
Grzegorz
Jaros
Lgota Wielka
97-565
4 264,78
142
Marek
Jarzębski
Lgota Wielka
97-565
2 532,22
143
Aleksander
Jasek
Lgota Wielka
97-565
1 238,78
144
Eugeniusz
Jaworski
Lgota Wielka
97-565
4 080,70
145
Jan
Jędrzejczyk
Lgota Wielka
97-565
8 667,36
146
Stanisław
Jędrzejek
Lgota Wielka
97-565
1 642,49
147
Aleksandra
Jurczyk
Lgota Wielka
97-565
4 317,29
148
Monika
Jurczyk
Lgota Wielka
97-565
10 728,59
149
Zofia
Jurczyk
Lgota Wielka
97-565
24 888,70
150
Sylwester
Kaczmarczyk
Lgota Wielka
97-565
3 980,50
151
Anita
Kaczmarek
Lgota Wielka
97-565
2 787,26
152
Radosław
Kaczmarek
Lgota Wielka
97-565
1 001,96
153
Stanisław
Kaczmarek
Lgota Wielka
97-565
34 280,12
154
Wiesław
Kaczmarek
Lgota Wielka
97-565
1 994,81
155
Kamilla
Kanafa
Lgota Wielka
97-565
1 603,13
156
Janusz
Kapuściński
Lgota Wielka
97-565
5 842,18
157
Jerzy
Kapuściński
Lgota Wielka
97-565
3 880,31
158
Mieczysław
Kapuściński
Lgota Wielka
97-565
21 809,40
159
Roman
Kapuściński
Lgota Wielka
97-565
8 793,22
160
Marian
Karbownik
Lgota Wielka
97-565
5 046,22
161
Zbigniew
Karbownik
Lgota Wielka
97-565
1 849,07
162
Jadwiga
Kępa
Lgota Wielka
97-565
18 111,50
163
Arkadiusz
Kierlik
Lgota Wielka
97-565
2 368,26
164
Halina
Kierlik
Lgota Wielka
97-565
11 616,12
165
Helena
Kierlik
Lgota Wielka
97-565
3 590,55
166
Arkadiusz
Kil
Lgota Wielka
97-565
983,74
167
Marianna
Kisiel
Lgota Wielka
97-565
1 712,44
168
Grażyna
Kisiołek
Lgota Wielka
97-565
2 085,89
169
Marek
Kisiołek
Lgota Wielka
97-565
1 858,17
170
Tadeusz
Kisiołek
Lgota Wielka
97-565
21 809,40
171
Grzegorz
Klimczyk
Lgota Wielka
97-565
11 418,33
Strona 5/17
172
Tadeusz
Klimczyk
Lgota Wielka
97-565
2 031,24
173
Adriana
Knopik
Lgota Wielka
97-565
6 267,72
174
Janina
Knopik
Lgota Wielka
97-565
11 616,12
175
Beata
Kobyłecka
Lgota Wielka
97-565
3 060,52
176
Marzena
Kochańska
Lgota Wielka
97-565
2 477,57
177
Tadeusz
Komar
Lgota Wielka
97-565
2 960,33
178
Teresa
Komor
Lgota Wielka
97-565
3 506,85
179
Ewelina
Komór
Lgota Wielka
97-565
6 840,63
180
Małgorzata
Kopeć
Lgota Wielka
97-565
4 900,48
181
Andrzej
Koper
Lgota Wielka
97-565
9 367,21
182
Wioletta
Kopka
Lgota Wielka
97-565
3 889,41
183
Jerzy
Korczowski
Lgota Wielka
97-565
10 465,38
184
Zbigniew
Kostrzewa
Lgota Wielka
97-565
2 003,91
185
Katarzyna
Kotlarek
Lgota Wielka
97-565
9 351,97
186
Helena
Kotlewska
Lgota Wielka
97-565
3 578,35
187
Maria
Kotlewska
Lgota Wielka
97-565
52 800,00
188
Edyta
Kotlewska-Lota
Lgota Wielka
97-565
10 339,52
189
Jan
Kotlewski
Lgota Wielka
97-565
28 080,16
190
Jerzy
Kotlewski
Lgota Wielka
97-565
53 575,34
191
Anna
Kowalczyk
Lgota Wielka
97-565
14 504,63
192
Grzegorz
Kowalczyk
Lgota Wielka
97-565
7 514,68
193
Jerzy
Kowalczyk
Lgota Wielka
97-565
13 675,62
194
Marek
Kowalczyk
Lgota Wielka
97-565
5 920,66
195
Robert
Kowalczyk
Lgota Wielka
97-565
2 750,83
196
Agnieszka
Kowalska
Lgota Wielka
97-565
2 951,22
197
Anna
Kowalska
Lgota Wielka
97-565
6 266,79
198
Ewa
Kowalska
Lgota Wielka
97-565
1 047,50
199
Andrzej
Kowalski
Lgota Wielka
97-525
52 023,60
200
Jan
Kowalski
Lgota Wielka
97-565
31 311,13
201
Marian
Kowalski
Lgota Wielka
97-565
1 694,22
202
Mirosław
Kowalski
Lgota Wielka
97-565
5 073,55
203
Piotr
Kowalski
Lgota Wielka
97-565
35 398,07
204
Robert
Kowalski
Lgota Wielka
97-565
2 058,57
205
Stanisław
Kowalski
Lgota Wielka
97-565
2 714,39
206
Wiesław
Kowalski
Lgota Wielka
97-565
15 023,82
Strona 6/17
207
Andrzej
Kozica
Lgota Wielka
97-565
3 069,63
208
Jan
Kozica
Lgota Wielka
97-565
15 578,16
209
Danuta
Koźlik
Lgota Wielka
97-565
1 994,81
210
Barbara
Krakowska
Lgota Wielka
97-565
2 756,59
211
Kazimierz
Krakowski
Lgota Wielka
97-565
23 635,86
212
Stanisław
Krakowski
Lgota Wielka
97-565
18 668,96
213
Grażyna
Krawczyk
Lgota Wielka
97-565
4 681,87
214
Wiesława
Krawczyk
Lgota Wielka
97-565
5 064,44
215
Karol
Krent
Lgota Wielka
97-565
6 494,50
216
Jolanta
Krupska
Lgota Wielka
97-565
2 249,85
217
Leszek
Krupski
Lgota Wielka
97-565
1 767,09
218
Sławomir
Krupski
Lgota Wielka
97-565
7 285,00
219
Teresa
Kruszyńska
Lgota Wielka
97-565
18 111,50
220
Eugeniusz
Kruszyński
Lgota Wielka
97-565
3 934,96
221
Elżbieta
Ktacz
Lgota Wielka
97-565
4 745,63
222
Jan
Kubanik
Lgota Wielka
97-565
12 448,98
223
Michał
Kubanik
Lgota Wielka
97-565
2 081,25
224
Włodzimierz
Kubanik
Lgota Wielka
97-565
1 985,70
225
Zuzanna
Kubica
Lgota Wielka
97-565
2 741,72
226
Karol
Kubicki
Lgota Wielka
97-565
5 829,31
227
Adam
Kucharski
Lgota Wielka
97-565
3 597,94
228
Jerzy
Kucharski
Lgota Wielka
97-565
3 689,02
229
Józef
Kucharski
Lgota Wielka
97-565
7 824,63
230
Halina
Kulińska
Lgota Wielka
97-565
24 048,87
231
Andrzej
Kuliś
Lgota Wielka
97-565
5 592,74
232
Krzysztof
Kuliś
Lgota Wielka
97-565
7 769,72
233
Piotr
Kuliś
Lgota Wielka
97-565
21 809,40
234
Iwona
Kulka
Lgota Wielka
97-565
2 322,72
235
Roman
Kulka
Lgota Wielka
97-565
7 569,33
236
Tadeusz
Kurowski
Lgota Wielka
97-565
1 393,63
237
Bogdan
Kurzyk
Lgota Wielka
97-565
2 364,02
238
Ireneusz
Kuśmierek
Lgota Wielka
97-565
236 657,10
239
Jolanta
Kuziemska
Lgota Wielka
97-565
1 411,85
240
Kazimiera
Lara
Lgota Wielka
97-565
2 349,74
241
Elżbieta
Lasoń
Lgota Wielka
97-565
3 644,96
Strona 7/17
242
Józef
Lasoń
Lgota Wielka
97-565
243
244
4 727,42
Małgorzata
Ledwan
Lgota Wielka
97-565
4 335,27
Dariusz
Lewandowski
Lgota Wielka
97-565
14 061,41
245
Małgorzata
Lipińska
Lgota Wielka
97-565
5 711,15
246
Włodzimierz
Lipiński
Lgota Wielka
97-565
4 171,78
247
Janina
Lisiecka
Lgota Wielka
97-565
12 777,75
248
Jarosław
Lisiecki
Lgota Wielka
97-565
42 168,00
249
Przemysław
Lisiecki
Lgota Wielka
97-565
11 652,07
250
Wojciech
Lisiecki
Lgota Wielka
97-565
25 757,51
251
Katarzyna
Łabowska
Lgota Wielka
97-565
1 785,31
252
Michał
Łakomy
Lgota Wielka
97-565
11 193,58
253
Robert
Łakomy
Lgota Wielka
97-565
21 172,57
254
Anna
Łuszczyn
Lgota Wielka
97-565
12 424,11
255
Henryk
Łuszczyn
Lgota Wielka
97-565
4 290,20
256
Pelagia
Łuszczyn
Lgota Wielka
97-565
7 004,59
257
Piotr
Łuszczyn
Lgota Wielka
97-565
14 331,11
258
Teresa
Łuszczyn
Lgota Wielka
97-565
7 681,05
259
Andrzej
Łyczkowski
Lgota Wielka
97-565
2 677,96
260
Grażyna
Machudera
Lgota Wielka
97-565
1 384,13
261
Józef
Majka
Lgota Wielka
97-565
3 843,87
262
Stanisław
Majka
Lgota Wielka
97-565
35 581,00
263
Zofia
Małek
Lgota Wielka
97-565
2 778,15
264
Joanna
Marczyńska
Lgota Wielka
97-565
3 406,65
265
Aleksander
Marszał
Lgota Wielka
97-565
4 627,22
266
Leszek
Marszał
Lgota Wielka
97-565
6 175,70
267
Łukasz
Marszał
Lgota Wielka
97-565
23 468,79
268
Sławomir
Marszał
Lgota Wielka
97-565
7 359,83
269
Wojciech
Marszałek
Lgota Wielka
97-565
4 383,73
270
Ilona
Merder
Lgota Wielka
97-565
2 181,37
271
Karol
Merder
Lgota Wielka
97-565
5 700,06
272
Zdzisław
Merder
Lgota Wielka
97-565
1 339,35
273
Ireneusz
Miarka
Lgota Wielka
97-565
2 067,67
274
Sławomir
Michalczak
Lgota Wielka
97-565
2 195,20
275
Andrzej
Michałek
Lgota Wielka
97-565
6 366,98
276
Agnieszka
Mikołajczyk
Lgota Wielka
97-565
1 794,41
Strona 8/17
277
Marian
Miller
Lgota Wielka
97-565
5 028,00
278
279
Tomasz
Miller
Lgota Wielka
97-565
10 753,06
Zofia
Miłoch
Lgota Wielka
97-565
3 206,26
280
Michał
Minecki
Lgota Wielka
97-565
24 129,24
281
Radosław
Minecki
Lgota Wielka
97-565
3 959,31
282
Zbigniew
Minecki
Lgota Wielka
97-565
3 810,96
283
Stanisław
Moskot
Lgota Wielka
97-565
3 789,22
284
Zbigniew
Mularczyk
Lgota Wielka
97-565
3 461,31
285
Bożena
Musiał
Lgota Wielka
97-565
1 776,20
286
Bożena
Muskała- Olczak
Lgota Wielka
97-565
2 623,31
287
Alfred
Nagaduś
Lgota Wielka
97-565
8 541,50
288
Marcin
Nagaduś
Lgota Wielka
97-565
3 607,05
289
Adam
Nagodziński
Lgota Wielka
97-565
117 853,35
290
Alojzy
Nawrocki
Lgota Wielka
97-565
2 499,57
291
Jarosław
Nawrocki
Lgota Wielka
97-565
22 681,55
292
Marek
Nawrot
Lgota Wielka
97-565
3 014,98
293
Jolanta
Nejman
Lgota Wielka
97-565
2 787,26
294
Piotr
Niedbała
Lgota Wielka
97-565
1 548,48
295
Anna
Nita
Lgota Wielka
97-565
5 911,54
296
Grzegorz
Nita
Lgota Wielka
97-565
2 820,09
297
Jacek
Nita
Lgota Wielka
97-565
1 858,17
298
Piotr
Nita
Lgota Wielka
97-565
8 966,65
299
Przemysław
Nita
Lgota Wielka
97-565
9 701,22
300
Ryszard
Nita
Lgota Wielka
97-565
22 735,85
301
Teresa
Nita
Lgota Wielka
97-565
3 852,98
302
Tomasz
Nita
Lgota Wielka
97-565
4 499,70
303
Zdzisław
Nita
Lgota Wielka
97-565
8 739,89
304
Alicja
Nowak
Lgota Wielka
97-565
5 829,57
305
Janusz
Nowak
Lgota Wielka
97-565
19 203,74
306
Renata
Nowakowska
Lgota Wielka
97-565
6 569,10
307
Beata
Ociepa
Lgota Wielka
97-565
1 275,22
308
Jacek
Ogłoza
Lgota Wielka
97-565
13 957,29
309
Krystyna
Ogłoza
Lgota Wielka
97-565
21 528,45
310
Jacek
Olejnik
Lgota Wielka
97-565
919,98
311
Katarzyna
Osiewak
Lgota Wielka
97-565
2 095,00
Strona 9/17
312
Radosław
Osiewak
Lgota Wielka
97-565
7 441,81
313
Barbara
Osińska
Lgota Wielka
97-565
12 289,14
314
Bogumiła
Ostrowska
Lgota Wielka
97-565
6 321,44
315
Ewa
Palacz
Lgota Wielka
97-565
3 771,00
316
Mariusz
Paradziński
Lgota Wielka
97-565
8 115,85
317
Henryka
Parowicz
Lgota Wielka
97-565
3 634,37
318
Robert
Parowicz
Lgota Wielka
97-565
1 156,80
319
Marek
Pasak
Lgota Wielka
97-565
7 623,98
320
Zofia
Pasak
Lgota Wielka
97-565
1 411,85
321
Paweł
Patek
Lgota Wielka
97-565
8 586,45
322
Grzegorz
Pawełoszek
Lgota Wielka
97-565
2 732,61
323
Marianna
Pazera
Lgota Wielka
97-565
5 957,09
324
Zbigniew
Piechota
Lgota Wielka
97-565
5 720,26
325
Arkadiusz
Piechowicz
Lgota Wielka
97-565
3 258,71
326
Renata
Piechowska
Lgota Wielka
97-565
2 978,54
327
Krzysztof
Piechowski
Lgota Wielka
97-565
17 732,02
328
Marcin
Pietrzak
Lgota Wielka
97-565
5 802,24
329
Józef
Pijewski
Lgota Wielka
97-565
5 650,50
330
Elżbieta
Pioruńska
Lgota Wielka
97-565
3 084,33
331
Aneta
Piotrowska
Lgota Wielka
97-565
29 937,91
332
Arkadiusz
Piotrowski
Lgota Wielka
97-565
992,85
333
Piotr
Piotrowski
Lgota Wielka
97-565
8 532,33
334
Kazimierz
Poborczyk
Lgota Wielka
97-565
24 792,12
335
Paweł
Poborczyk
Lgota Wielka
97-565
6 549,16
336
Radosław
Poborczyk
Lgota Wielka
97-565
5 793,13
337
Henryk
Pokora
Lgota Wielka
97-565
1 402,74
338
Stanisław
Polak-Grudziński
Lgota Wielka
97-565
37 892,79
339
Jolanta
Popiołek
Lgota Wielka
97-565
938,20
340
Małgorzata
Popiołek
Lgota Wielka
97-565
2 796,37
341
Mirosław
Popiołek
Lgota Wielka
97-565
2 251,99
342
Teresa
Popiołek
Lgota Wielka
97-565
6 582,71
343
Urszula
Popiołek
Lgota Wielka
97-565
1 366,31
344
Zygmunt
Poszwiński
Lgota Wielka
97-565
1 612,24
345
Robert
Potocki
Lgota Wielka
97-565
16 440,20
346
Stanisław
Potocki
Lgota Wielka
97-565
2 623,31
Strona 10/17
347
Tomasz
Potocki
Lgota Wielka
97-565
7 123,00
348
Dorota
Powroźnik
Lgota Wielka
97-565
2 350,04
349
Tomasz
Powroźnik
Lgota Wielka
97-565
1 612,24
350
Czesław
Półrola
Lgota Wielka
97-565
20 134,53
351
Andrzej
Prochoń
Lgota Wielka
97-565
16 228,03
352
Józef
Prochoń
Lgota Wielka
97-565
5 320,05
353
Marek
Prochoń
Lgota Wielka
97-565
1 384,52
354
Piotr
Prochoń
Lgota Wielka
97-565
9 098,89
355
Zbigniew
Prochoń
Lgota Wielka
97-565
3 488,63
356
Ewa
Prudło
Lgota Wielka
97-565
9 340,22
357
Kamil
Przybylski
Lgota Wielka
97-565
1 165,91
358
Sławomir
Puch
Lgota Wielka
97-565
3 124,28
359
Urszula
Putyra
Lgota Wielka
97-565
2 577,76
360
Eugenia
Rak
Lgota Wielka
97-565
16 262,55
361
Jakub
Rak
Lgota Wielka
97-565
1 830,85
362
Rafał
Rak
Lgota Wielka
97-565
6 394,31
363
Bogusław
Raniszewski
Lgota Wielka
97-565
1 639,57
364
Robert
Ratajczak
Lgota Wielka
97-565
2 849,20
365
Tomasz
Rawicki
Lgota Wielka
97-565
4 572,57
366
Zbigniew
Rawicki
Lgota Wielka
97-565
10 519,32
367
Hieronim
Rechenek
Lgota Wielka
97-565
6 430,74
368
Jan
Rechenek
Lgota Wielka
97-565
5 583,63
369
Janusz
Rechenek
Lgota Wielka
97-565
2 905,68
370
Józef
Rek
Lgota Wielka
97-565
3 233,59
371
Karol
Reszka
Lgota Wielka
97-565
2 586,87
372
Jerzy
Retyk
Lgota Wielka
97-565
2 778,15
373
Mieczysław
Retyk
Lgota Wielka
97-565
7 259,63
374
Roman
Retyk
Lgota Wielka
97-565
22 487,70
375
Irena
Rochowska
Lgota Wielka
97-565
52 083,76
376
Krystyna
Rochowska
Lgota Wielka
97-565
2 468,46
377
Ireneusz
Roczek
Lgota Wielka
97-565
4 171,78
378
Krzysztof
Rogulski
Lgota Wielka
97-565
6 102,83
379
Grzegorz
Rozpędowski
Lgota Wielka
97-565
100 000,00
380
Zbigniew
Rozpędowski
Lgota Wielka
97-565
25 694,58
381
Ewa
Rudzka
Lgota Wielka
97-565
6 121,05
Strona 11/17
382
Andrzej
Rudzki
Lgota Wielka
97-565
383
Henryk
Rybak
Lgota Wielka
97-565
1 612,24
384
Józef
Rybak
Lgota Wielka
97-565
11 991,20
385
Rafał
Rybak
Lgota Wielka
97-565
4 117,13
386
Anna
Semerat
Lgota Wielka
97-565
7 396,26
387
Lidia
Siedlecka
Lgota Wielka
97-565
12 404,83
388
Leszek
Siedlecki
Lgota Wielka
97-565
15 693,44
389
Arkadiusz
Siewier
Lgota Wielka
97-565
3 014,98
390
Bożena
Siewier
Lgota Wielka
97-565
2 413,81
391
Zbigniew
Siewier
Lgota Wielka
97-565
5 483,44
392
Dariusz
Siwczyk
Lgota Wielka
97-565
100 000,00
393
Henryk
Siwczyk
Lgota Wielka
97-565
32 931,60
394
Jerzy
Siwczyk
Lgota Wielka
97-565
29 673,32
395
Jerzy
Siwczyk
Lgota Wielka
97-565
1 669,70
396
Krzysztof
Siwczyk
Lgota Wielka
97-565
2 577,76
397
Mariusz
Siwczyk
Lgota Wielka
97-565
3 224,48
398
Teresa
Siwczyk
Lgota Wielka
97-565
2 104,11
399
Wiesław
Siwczyk
Lgota Wielka
97-565
1 678,81
400
Zdzisława
Siwczyk
Lgota Wielka
97-565
40 941,77
401
Antoni
Siwik
Lgota Wielka
97-565
5 610,96
402
Janusz
Skalmierski
Lgota Wielka
97-565
3 224,48
403
Agata
Skupińska
Lgota Wielka
97-565
9 961,94
404
Emilia
Skupińska
Lgota Wielka
97-565
2 277,18
405
Dariusz
Skupiński
Lgota Wielka
97-565
4 053,37
406
Dawid
Skupiński
Lgota Wielka
97-565
1 220,57
407
Jerzy
Skupiński
Lgota Wielka
97-565
1 849,07
408
Karol
Skupiński
Lgota Wielka
97-565
5 974,02
409
Mariusz
Skupiński
Lgota Wielka
97-565
3 534,18
410
Czesław
Skura
Lgota Wielka
97-565
2 769,04
411
Janusz
Smolarek
Lgota Wielka
97-565
4 037,71
412
Włodzimierz
Smolarek
Lgota Wielka
97-565
2 058,57
413
Andrzej
Smużniak
Lgota Wielka
97-565
5 565,42
414
Paweł
Smużniak
Lgota Wielka
97-565
3 780,11
415
Andrzej
Sobociński
Lgota Wielka
97-565
8 623,48
416
Marianna
Soboń
Lgota Wielka
97-565
27 002,04
Strona 12/17
3 783,08
417
Sylwester
Soboń
Lgota Wielka
97-565
2 887,46
418
Stanisław
Soforek
Lgota Wielka
97-565
3 242,70
419
Elżbieta
Sojda
Lgota Wielka
97-565
2 468,46
420
Wiktor
Solarz
Lgota Wielka
97-565
2 632,41
421
Bernadetta
Soska
Lgota Wielka
97-565
3 579,72
422
Józef
Soska
Lgota Wielka
97-565
4 016,89
423
Andrzej
Sosnowicz
Lgota Wielka
97-565
11 463,28
424
Jan
Sosnowicz
Lgota Wielka
97-565
6 139,26
425
Andrzej
Staniszewski
Lgota Wielka
97-565
2 550,44
426
Bogumiła
Stawiak
Lgota Wielka
97-565
983,74
427
Regina
Stawiak
Lgota Wielka
97-565
2 295,39
428
Zbigniew
Stawiak
Lgota Wielka
97-565
4 199,11
429
Jerzy
Stawski
Lgota Wielka
97-565
2 254,62
430
Jolanta
Stefanek
Lgota Wielka
97-565
4 053,37
431
Joanna
Stefańczyk
Lgota Wielka
97-565
7 123,00
432
Henryk
Stępień
Lgota Wielka
97-565
10 006,89
433
Jarosław
Stępień
Lgota Wielka
97-565
1 430,07
434
Maria
Stępień
Lgota Wielka
97-565
9 686,07
435
Krzysztof
Stolarczyk
Lgota Wielka
97-565
17 033,34
436
Maciej
Stolarczyk
Lgota Wielka
97-565
2 169,56
437
Radosław
Stolarczyk
Lgota Wielka
97-565
11 172,79
438
Włodzimierz
Stolarczyk
Lgota Wielka
97-565
15 578,16
439
Zdzisław
Stolarczyk
Lgota Wielka
97-565
2 486,68
440
Zbigniew
Strzelczyk
Lgota Wielka
97-565
6 394,31
441
Adrian
Sukiennik
Lgota Wielka
97-565
1 694,22
442
Bogusław
Sukiennik
Lgota Wielka
97-565
17 594,52
443
Katarzyna
Sukiennik
Lgota Wielka
97-565
5 447,00
444
Radosław
Sukiennik
Lgota Wielka
97-565
2 878,35
445
Tomasz
Sukiennik
Lgota Wielka
97-565
100 000,00
446
Włodzimierz
Sukiennik
Lgota Wielka
97-565
5 119,09
447
Elżbieta
Szafrańska
Lgota Wielka
97-565
3 679,91
448
Monika
Szalińska
Lgota Wielka
97-565
1 639,57
449
Stanisława
Szczegodzińska
Lgota Wielka
97-565
4 226,44
450
Ewa
Szczepaniak
Lgota Wielka
97-565
7 802,45
451
Mariusz
Szczepaniak
Lgota Wielka
97-565
6 559,50
Strona 13/17
452
Ewa
Szczęsna
Lgota Wielka
97-565
2 450,24
453
Maciej
Szczęsny
Lgota Wielka
97-565
2 413,81
454
Sławomir
Szczęsny
Lgota Wielka
97-565
9 345,91
455
Damian
Sztangreciak
Lgota Wielka
97-565
5 711,15
456
Kamil
Sztangreciak
Lgota Wielka
97-565
3 260,91
457
Marian
Szymczak
Lgota Wielka
97-565
27 831,64
458
Teresa
Szymczak
Lgota Wielka
97-565
100 000,00
459
Bogusław
Ślęzak
Lgota Wielka
97-565
1 639,57
460
Dariusz
Ślęzak
Lgota Wielka
97-565
4 281,09
461
Dariusz
Ślęzak
Lgota Wielka
97-565
3 780,11
462
Jerzy
Ślęzak
Lgota Wielka
97-565
17 351,79
463
Karol
Ślęzak
Lgota Wielka
97-565
1 093,04
464
Krzysztof
Ślęzak
Lgota Wielka
97-565
19 970,69
465
Marian
Ślęzak
Lgota Wielka
97-565
24 369,63
466
Marianna
Ślęzak
Lgota Wielka
97-565
3 789,22
467
Marzena
Ślęzak
Lgota Wielka
97-565
1 940,15
468
Ryszard
Ślęzak
Lgota Wielka
97-565
3 807,44
469
Stanisław
Ślęzak
Lgota Wielka
97-565
3 698,13
470
Stanisław
Ślęzak
Lgota Wielka
97-565
1 730,65
471
Wojciech
Ślęzak
Lgota Wielka
97-565
49 634,27
472
Iwona
Śliwakowska
Lgota Wielka
97-565
6 622,02
473
Zbigniew
Śliwakowski
Lgota Wielka
97-565
5 228,39
474
Dariusz
Śpiewak
Lgota Wielka
97-565
1 821,74
475
Wiesława
Śpiewak
Lgota Wielka
97-565
2 113,22
476
Jan
Świetlik
Lgota Wielka
97-565
6 713,11
477
Eugeniusz
Święcicki
Lgota Wielka
97-565
1 193,24
478
Grzegorz
Święcicki
Lgota Wielka
97-565
1 266,11
479
Anzelma
Taranek
Lgota Wielka
97-565
10 267,11
480
Bogusława
Tatara
Lgota Wielka
97-565
1 949,26
481
Gabriel
Tatara
Lgota Wielka
97-565
2 654,40
482
Jacek
Tatara
Lgota Wielka
97-565
4 717,17
483
Maria
Tatara
Lgota Wielka
97-565
1 976,59
484
Wioletta
Tatara
Lgota Wielka
97-565
3 634,37
485
Zbigniew
Tatara
Lgota Wielka
97-565
8 406,65
486
Łukasz
Tokarek
Lgota Wielka
97-565
8 978,13
Strona 14/17
487
Helena
Tulejska
Lgota Wielka
97-565
7 897,24
488
Arkadiusz
Utratny
Lgota Wielka
97-565
1 202,35
489
Agnieszka
Uznańska
Lgota Wielka
97-565
2 914,78
490
Bożena
Wachońska
Lgota Wielka
97-565
2 158,76
491
Dominika
Wadas
Lgota Wielka
97-565
4 190,00
492
Józef
Wadas
Lgota Wielka
97-565
4 408,61
493
Marta
Wadas
Lgota Wielka
97-565
5 437,89
494
Krzysztof
Waloch
Lgota Wielka
97-565
5 738,48
495
Michał
Waloch
Lgota Wielka
97-565
3 352,00
496
Karol
Wasiel
Lgota Wielka
97-565
2 659,74
497
Roman
Wasiel
Lgota Wielka
97-565
1 202,35
498
Jan
Wawrzyniak
Lgota Wielka
97-565
2 322,72
499
Bogusława
Wiatrak
Lgota Wielka
97-565
37 212,86
500
Waldemar
Wiatrak
Lgota Wielka
97-565
6 751,62
501
Zbigniew
Wiatrak
Lgota Wielka
97-565
49 478,21
502
Józef
Wiącek
Lgota Wielka
97-565
3 361,11
503
Marian
Wiącek
Lgota Wielka
97-565
2 623,31
504
Maria
Wilk
Lgota Wielka
97-565
9 197,78
505
Jerzy
Wilkoszewski
Lgota Wielka
97-565
7 537,08
506
Mirosław
Winkler
Lgota Wielka
97-565
10 421,12
507
Stanisław
Winkler
Lgota Wielka
97-565
49 200,36
508
Dariusz
Witczyk
Lgota Wielka
97-565
5 711,15
509
Beata
Włodarczyk
Lgota Wielka
97-565
2 495,78
510
Sylwia
Włodarczyk
Lgota Wielka
97-565
1 976,59
511
Barbara
Woch
Lgota Wielka
97-565
3 543,28
512
Czesław
Woch
Lgota Wielka
97-565
10 977,85
513
Józef
Woch
Lgota Wielka
97-565
8 334,87
514
Maria
Woch
Lgota Wielka
97-565
12 450,27
515
Ryszard
Woch
Lgota Wielka
97-565
5 273,94
516
Sławomir
Woch
Lgota Wielka
97-565
7 113,89
517
Zdzisława
Woch
Lgota Wielka
97-565
2 890,18
518
Katarzyna
Wojciechowska
Lgota Wielka
97-565
100 000,00
519
Klaudia
Wojciechowska
Lgota Wielka
97-565
37 317,39
520
Małgorzata
Wojciechowska
Lgota Wielka
97-565
21 153,50
521
Przemysław
Wojciechowski
Lgota Wielka
97-565
26 151,83
Strona 15/17
522
Tadeusz
Wojciechowski
Lgota Wielka
97-565
5 729,37
523
524
Regina
Wojcieszko
Lgota Wielka
97-565
2 095,00
Ewa
Wolniakowska
Lgota Wielka
97-565
1 846,69
525
Justyna
Woszczyk
Lgota Wielka
97-565
2 340,94
526
Mieczysław
Woszczyński
Lgota Wielka
97-565
10 977,85
527
Jacek
Woźniak
Lgota Wielka
97-565
2 495,78
528
Jacek
Woźniak
Lgota Wielka
97-565
2 331,83
529
Krystyna
Woźniak
Lgota Wielka
97-565
5 510,76
530
Mirosław
Woźniak
Lgota Wielka
97-565
6 467,18
531
Petronela
Woźniak
Lgota Wielka
97-565
1 821,74
532
Włodzimierz
Woźniak
Lgota Wielka
97-565
1 384,52
533
Aneta
Wójcik
Lgota Wielka
97-565
3 953,18
534
Jan
Wójcik
Lgota Wielka
97-565
7 693,61
535
Lucjan
Wójcik
Lgota Wielka
97-565
20 895,66
536
Wiesław
Wójcik
Lgota Wielka
97-565
1 221,86
537
Marian
Wroński
Lgota Wielka
97-565
4 391,14
538
Tadeusz
Wroński
Lgota Wielka
97-565
983,74
539
Tomasz
Wroński
Lgota Wielka
97-565
1 849,07
540
Wanda
Wróblewska
Lgota Wielka
97-565
2 313,61
541
Marek
Wróblewski
Lgota Wielka
97-565
6 376,09
542
Michał
Wystup
Lgota Wielka
97-565
5 292,15
543
Elżbieta
Zagaj
Lgota Wielka
97-565
1 867,28
544
Krzysztof
Zagaj
Lgota Wielka
97-565
7 396,26
545
Marlena
Zagórska
Lgota Wielka
97-565
3 042,31
546
Łukasz
Zagórski
Lgota Wielka
97-565
20 424,91
547
Krzysztof
Zajdel
Lgota Wielka
97-565
2 605,09
548
Zenona
Załóg
Lgota Wielka
97-565
3 443,09
549
Maciej
Zatorski
Lgota Wielka
97-565
17 819,27
550
Stanisław
Zatorski
Lgota Wielka
97-565
15 578,16
551
Zbigniew
Zatorski
Lgota Wielka
97-565
4 736,52
552
Iwona
Zawadzka
Lgota Wielka
97-565
4 918,70
553
Marlena
Zawadzka
Lgota Wielka
97-565
15 180,44
554
Andrzej
Zawadzki
Lgota Wielka
97-565
24 712,87
555
Tomasz
Zawadzki
Lgota Wielka
97-565
1 056,61
556
Paweł
Zborowski
Lgota Wielka
97-565
2 176,98
Strona 16/17
557
Bożena
Zbroja
Lgota Wielka
97-565
4 828,72
558
Paweł
Zbroja
Lgota Wielka
97-565
1 958,32
559
Urszula
Zielińska
Lgota Wielka
97-565
3 397,55
560
Marcin
Zieliński
Lgota Wielka
97-565
2 641,52
561
Jerzy
Zięba
Lgota Wielka
97-565
9 035,96
562
Piotr
Zięba
Lgota Wielka
97-565
4 600,83
563
Grażyna
Zmarzła
Lgota Wielka
97-565
26 038,48
564
Elżbieta
Zygmułka
Lgota Wielka
97-565
13 468,07
565
Zofia
Żebrowska
Lgota Wielka
97-565
3 270,02
566
Jerzy
Żurawski
Lgota Wielka
97-565
910,87
Lgota Wielka
97-565
1 644 872,25
567
Gmina Lgota Wielka
Strona 17/17