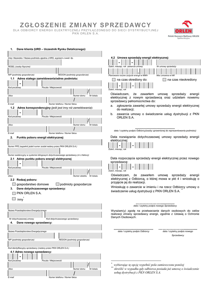
zgłoszenie zmiany sprzedawcy

Transkrypt

zgłoszenie zmiany sprzedawcy
Z G Ł O S Z E N I E Z M I AN Y S P R Z E D AW C Y
DLA ODBIORCY ENERGII ELEKTRYCZNEJ PRZYŁ CZONEGO DO SIECI DYSTRYBUCYJNEJ
PKN ORLEN S.A.
1.
Dane klienta (URD – Uczestnik Rynku Detalicznego):
4.2 Umowa sprzeda y energii elektrycznej:
Imi i Nazwisko / Nazwa podmiotu zgodna z KRS, wypisem z ewid. Itp.
NIP (podmioty gospodarcze)
1.1
Planowane roczne zu ycie energii w MWh
na czas okre lony do:
-
-
Poczta / Miejscowo
Numer domu
Nr lokalu
/
E-mail
1.2
Numer telefonu / Numer faksu
Adres korespondencyjny (je li jest inny ni zameldowania):
Kod pocztowy
Poczta / Miejscowo
/
Ulica
Numer domu
2.
na czas nieokre lony
-
O wiadczam,
e zawarłem umow
sprzeda y energii
elektrycznej z nowym sprzedawc oraz udzielam nowemu
sprzedawcy pełnomocnictwa do:
a. zgłoszenia zawartej umowy sprzeda y energii elektrycznej
do realizacji;
b. zawarcia umowy o wiadczenie usług dystrybucji z PKN
ORLEN S.A.
Nr lokalu
..................................
/
E-mail
Moc umowna w kW
Dzie , miesi c, rok
/
Ulica
Nr umowy sprzeda y
,
REGON (podmioty gospodarcze)
Adres stałego zameldowania/adres podmiotu:
Kod pocztowy
-
Dzie , miesi c, rok zawarcia umowy
PESEL (osoby fizyczne)
data / czytelny podpis Odbiorcy(osoby uprawnionej do reprezentowania podmiotu)
Numer telefonu / Numer faksu
Data rozwi zania dotychczasowej umowy sprzeda y energii
elektrycznej:
Punktu poboru energii elektrycznej:
-
Numer PPE (wypełni je eli numer został nadany przez PKN ORLEN S.A.)
-
Dzie , miesi c, rok
Numer ewidencyjny w systemie bilingowym dotychczasowego sprzedawcy (nr z faktury)
Data rozpocz cia sprzeda y energii elektrycznej przez nowego
sprzedawc :
2.1 Adres punktu poboru energii elektrycznej
Kod pocztowy
-
Poczta / Miejscowo
/
Ulica
Numer obiektu
Nr lokalu
2.2 Rodzaj poboru:
gospodarstwo domowe
3.
-
Dzie , miesi c, rok
podmioty gospodarcze
Dane dotychczasowego sprzedawcy:
PKN ORLEN S.A.
O wiadczam,
e zawarłem umow
sprzeda y energii
elektrycznej z Odbiorc , o której mowa w pkt 4 i wnioskuj o
przyj cie jej do realizacji.
Wnioskuj o zawarcie w imieniu i na rzecz Odbiorcy umowy o
**
wiadczenie usług dystrybucji z PKN ORLEN S.A.
*
inny
………………............
data / czytelny podpis nowego Sprzedawcy
Wyra am(y) zgod na przetwarzanie danych osobowych do celów
realizacji zmiany sprzedawcy energii, zgodnie z Ustaw o Ochronie
Danych Osobowych.
Nazwa Przedsi biorstwa Energetycznego
Nr dotychczasowej umowy
-4.
Kod dotychczasowego sprzedawcy
Dane nowego sprzedawcy:
..................................
data / czytelny podpis Odbiorcy
Nazwa Przedsi biorstwa Energetycznego
………………............
data / czytelny podpis nowego
Sprzedawcy
NIP (podmioty gospodarcze)
REGON (podmioty gospodarcze)
Kod identyfikacyjny sprzedawcy (nadany przez PKN ORLEN S.A.)
4.1 Adres nowego sprzedawcy:
Kod pocztowy
Poczta / Miejscowo
*
/
Ulica
E-mail
Numer domu
/
Numer telefonu / Numer faksu
Nr lokalu
**
wybieraj c t opcj wypełni pola zamieszczone poni ej
skre li w wypadku gdy odbiorca posiada ju umow o wiadczenie
usług dystrybucji z PKN ORLEN S.A.