1 szt. 1 Myjka ciśnieniowa Ciśnienie robocze: w zakresie 10

Transkrypt

1 szt. 1 Myjka ciśnieniowa Ciśnienie robocze: w zakresie 10
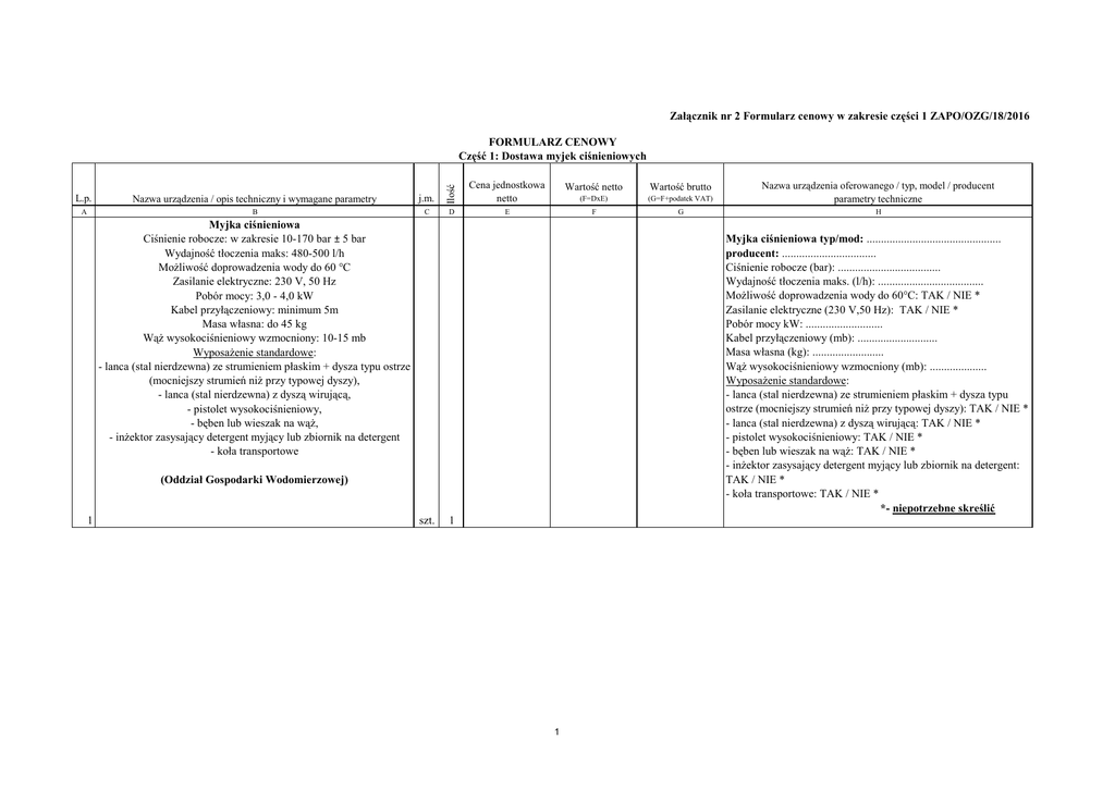
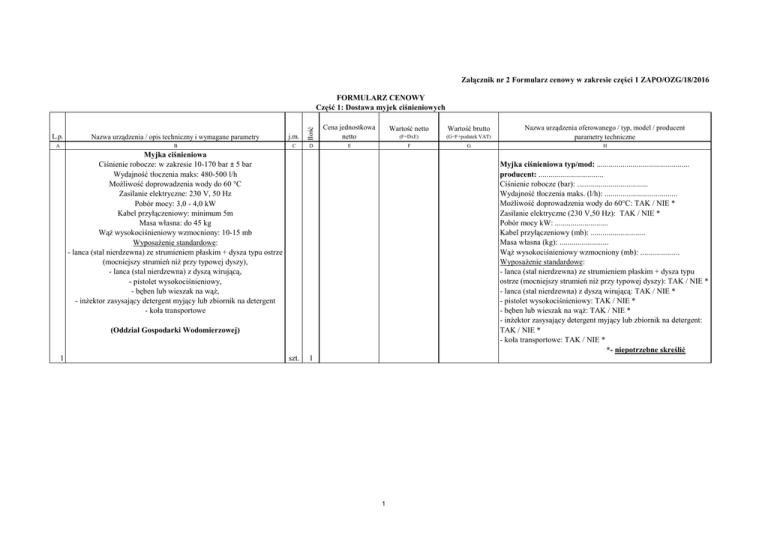
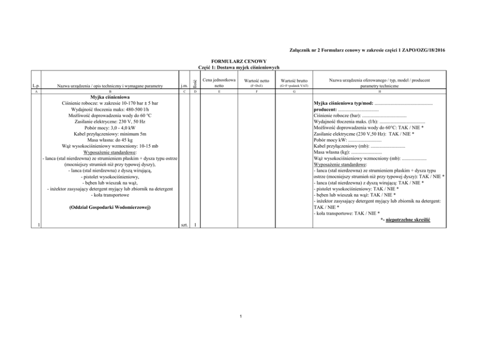
Załącznik nr 2 Formularz cenowy w zakresie części 1 ZAPO/OZG/18/2016
L.p.
A
Nazwa urządzenia / opis techniczny i wymagane parametry
j.m.
B
C
Ilość
FORMULARZ CENOWY
Część 1: Dostawa myjek ciśnieniowych
Cena jednostkowa
netto
Wartość netto
Wartość brutto
(F=DxE)
(G=F+podatek VAT)
Nazwa urządzenia oferowanego / typ, model / producent
parametry techniczne
D
E
F
G
H
Myjka ciśnieniowa
Ciśnienie robocze: w zakresie 10-170 bar ± 5 bar
Wydajność tłoczenia maks: 480-500 l/h
Możliwość doprowadzenia wody do 60 °C
Zasilanie elektryczne: 230 V, 50 Hz
Pobór mocy: 3,0 - 4,0 kW
Kabel przyłączeniowy: minimum 5m
Masa własna: do 45 kg
Wąż wysokociśnieniowy wzmocniony: 10-15 mb
Wyposażenie standardowe:
- lanca (stal nierdzewna) ze strumieniem płaskim + dysza typu ostrze
(mocniejszy strumień niż przy typowej dyszy),
- lanca (stal nierdzewna) z dyszą wirującą,
- pistolet wysokociśnieniowy,
- bęben lub wieszak na wąż,
- inżektor zasysający detergent myjący lub zbiornik na detergent
- koła transportowe
Myjka ciśnieniowa typ/mod: ...............................................
producent: .................................
Ciśnienie robocze (bar): ....................................
Wydajność tłoczenia maks. (l/h): .....................................
Możliwość doprowadzenia wody do 60°C: TAK / NIE *
Zasilanie elektryczne (230 V,50 Hz): TAK / NIE *
Pobór mocy kW: ...........................
Kabel przyłączeniowy (mb): ............................
Masa własna (kg): .........................
Wąż wysokociśnieniowy wzmocniony (mb): ....................
Wyposażenie standardowe:
- lanca (stal nierdzewna) ze strumieniem płaskim + dysza typu
ostrze (mocniejszy strumień niż przy typowej dyszy): TAK / NIE *
- lanca (stal nierdzewna) z dyszą wirującą: TAK / NIE *
- pistolet wysokociśnieniowy: TAK / NIE *
- bęben lub wieszak na wąż: TAK / NIE *
- inżektor zasysający detergent myjący lub zbiornik na detergent:
TAK / NIE *
- koła transportowe: TAK / NIE *
*- niepotrzebne skreślić
(Oddział Gospodarki Wodomierzowej)
1
szt.
1
1
Myjka ciśnieniowa z podgrzewaniem wody
Ciśnienie robocze: w zakresie 150-180 bar ± 5 bar
Wydajność tłoczenia maks: 400-500 l/h
Maks. temperatura tłoczonej wody: 80-90 °C
Zasilanie elektryczne: (~) 1 - 230V 50Hz
Moc przyłącza: 2,7-3,5 kW
Kabel zasilający: minimum 4-5m
Ciężar: do 90 kg
Wąż wysokociśnieniowy: 10-15 mb
Wyposażenie:
- pistolet spryskujący
- lanca spryskująca obrotowa o długości 500-1000 mm
- koła transportowe
- filtr wody wejściowej
- bęben lub wieszak na wąż
- automatyczne obniżanie ciśnienia po wyłączeniu urządzenia
Myjka ciśnieniowa z podgrzewaniem wody
typ / model: .................................................
producent: ...................................................
Ciśnienie robocze (bar): .................................
Wydajność tłoczenia maks.(l/h): ....................
Maks. temperatura tłoczonej wody (°C): .................
Zasilanie elektryczne (~) 1 - 230V,50Hz: TAK / NIE *
Moc przyłącza (kW): ..................
Kabel zasilający (mb): .................
Ciężar (kg): ................
Wąż wysokociśnieniowy (mb): ..............
Wyposażenie:
- pistolet spryskujący: TAK / NIE *
- lanca spryskująca obrotowa o długości (mm): ..............
- koła transportowe: TAK / NIE *
- filtr wody wejściowej: TAK / NIE *
- bęben lub wieszak na wąż: TAK / NIE *
- automatyczne obniżanie ciśnienia po wyłączeniu urządzenia:
TAK / NIE *
*- niepotrzebne skreślić
(OSM Żory)
2
szt.
1
Adresy dostaw:
Oddział Gospodarki Wodomierzowej: ul. Parkowa 10; 41-500 Chorzów; tel: 32-241-08-64 (magazyn: Pani Banaś); e-mail: [email protected]
Kierownik oddziału: Pan Piotr Mazur
OSM Żory: ul. Szczejkowicka 4; 44-240 Żory; tel: 32-434-29-98 (magazyn: Pani Zielonka); e-mail: [email protected]
Kierownik oddziału: Pan Marek Gaszka
Miejscowość, data
Podpis wraz z pieczęcią upoważnionego przedstawiciela Wykonawcy
2