Excel – zaawansowany 1. Rodzaje odwołań 2. Tworzenie obszarów

Transkrypt

Excel – zaawansowany 1. Rodzaje odwołań 2. Tworzenie obszarów
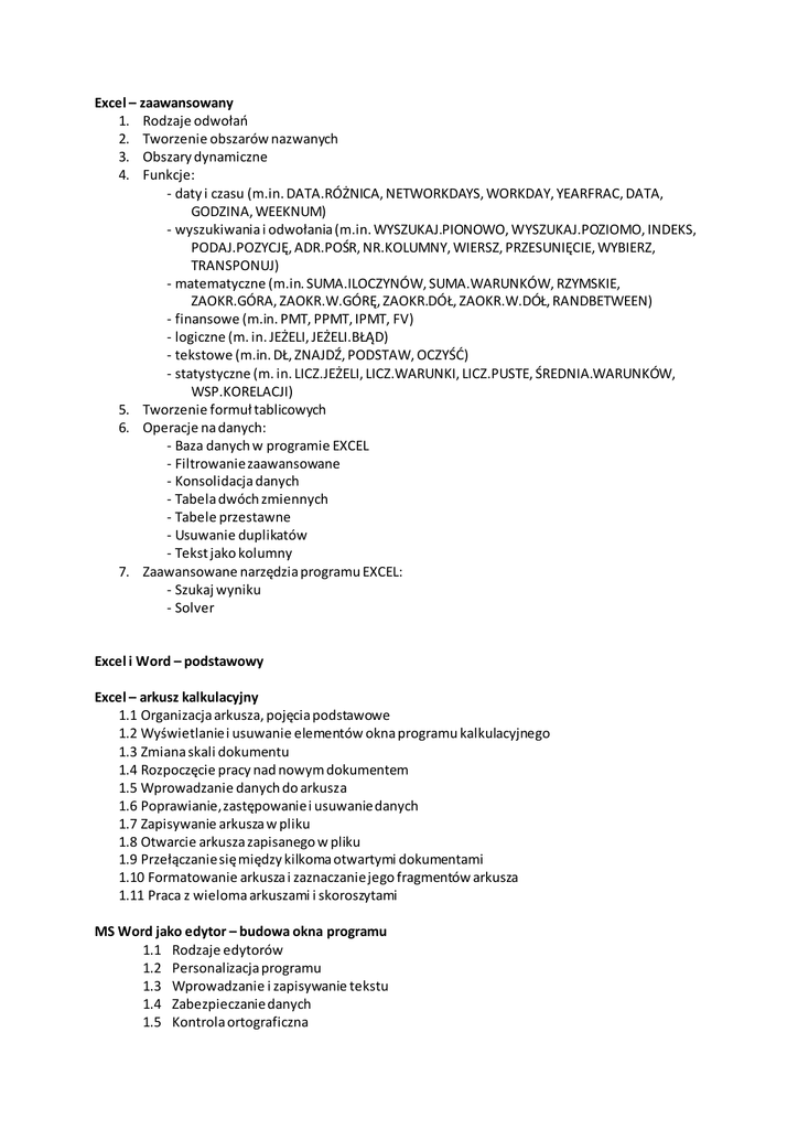
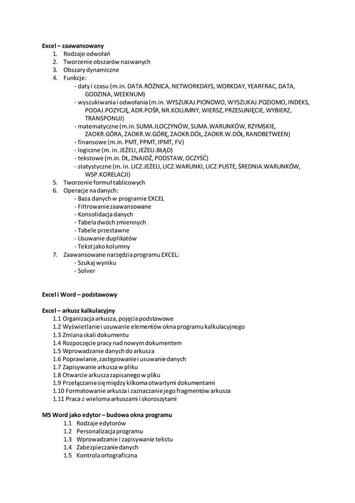
Excel – zaawansowany
1. Rodzaje odwołań
2. Tworzenie obszarów nazwanych
3. Obszary dynamiczne
4. Funkcje:
- daty i czasu (m.in. DATA.RÓŻNICA, NETWORKDAYS, WORKDAY, YEARFRAC, DATA,
GODZINA, WEEKNUM)
- wyszukiwania i odwołania (m.in. WYSZUKAJ.PIONOWO, WYSZUKAJ.POZIOMO, INDEKS,
PODAJ.POZYCJĘ, ADR.POŚR, NR.KOLUMNY, WIERSZ, PRZESUNIĘCIE, WYBIERZ,
TRANSPONUJ)
- matematyczne (m.in. SUMA.ILOCZYNÓW, SUMA.WARUNKÓW, RZYMSKIE,
ZAOKR.GÓRA, ZAOKR.W.GÓRĘ, ZAOKR.DÓŁ, ZAOKR.W.DÓŁ, RANDBETWEEN)
- finansowe (m.in. PMT, PPMT, IPMT, FV)
- logiczne (m. in. JEŻELI, JEŻELI.BŁĄD)
- tekstowe (m.in. DŁ, ZNAJDŹ, PODSTAW, OCZYŚĆ)
- statystyczne (m. in. LICZ.JEŻELI, LICZ.WARUNKI, LICZ.PUSTE, ŚREDNIA.WARUNKÓW,
WSP.KORELACJI)
5. Tworzenie formuł tablicowych
6. Operacje na danych:
- Baza danych w programie EXCEL
- Filtrowanie zaawansowane
- Konsolidacja danych
- Tabela dwóch zmiennych
- Tabele przestawne
- Usuwanie duplikatów
- Tekst jako kolumny
7. Zaawansowane narzędzia programu EXCEL:
- Szukaj wyniku
- Solver
Excel i Word – podstawowy
Excel – arkusz kalkulacyjny
1.1 Organizacja arkusza, pojęcia podstawowe
1.2 Wyświetlanie i usuwanie elementów okna programu kalkulacyjnego
1.3 Zmiana skali dokumentu
1.4 Rozpoczęcie pracy nad nowym dokumentem
1.5 Wprowadzanie danych do arkusza
1.6 Poprawianie, zastępowanie i usuwanie danych
1.7 Zapisywanie arkusza w pliku
1.8 Otwarcie arkusza zapisanego w pliku
1.9 Przełączanie się między kilkoma otwartymi dokumentami
1.10 Formatowanie arkusza i zaznaczanie jego fragmentów arkusza
1.11 Praca z wieloma arkuszami i skoroszytami
MS Word jako edytor – budowa okna programu
1.1 Rodzaje edytorów
1.2 Personalizacja programu
1.3 Wprowadzanie i zapisywanie tekstu
1.4 Zabezpieczanie danych
1.5 Kontrola ortograficzna
1.6 Dodawanie grafiki, znaki specjalne w tekście
1.7 Tabulatory i tabele w tekście
1.8 Kreator listów, listy wyliczane i numerowane
1.9 Tekst w formie artystycznej
1.10 Korzystanie i tworzenie stylów, technika „przenieś i upuść”
Power Point – podstawowy
1. Podstawy pracy z programem PowerPoint
1.1 Ogólna charakterystyka aplikacji
1.2 Pojęcia podstawowe
1.3 Różne kształty wskaźnika myszy
1.4 Wyświetlanie i usuwanie elementów okna
1.5 Korzystanie z pomocy
2. Tematy podstawowe
2.1 Rozpoczęcie pracy z programem PowerPoint
2.1.1 Wybór układu elementów na slajdzie
2.1.2 Organizacja okna programu PowerPoint 2010
2.1.3 Grafika typu „Autokształt"
2.1.4 Dobór tła slajdu
2.1.5 Dołączanie i formatowanie „Autokształtu”
2.1.6 Dołączanie i formatowanie tekstu na „Autokształcie”
2.2 Zapisywanie grafiki w pliku
2.2.1 Zapisywanie prezentacji pod inną nazwą
2.2.2 Zapisywanie prezentacji w innym formacie
2.2.3 Zamykanie prezentacji
2.2.4 Grafika z ozdobnym napisem WordArt i rysunkiem ClipArt
2.2.5 Wstawianie i formatowanie napisu WordArt
2.2.6 Cofanie wykonanej czynności
2.2.7 Wstawianie rysunku ClipArt
2.2.8 Grafika z rysunkami ClipArt i polem tekstowym
2.2.9 Dołączanie do rysunku efektu cienia
2.2.10 Powielanie rysunku
2.2.11 Zmiana oryginalnych kolorów rysunku
2.2.12 Tworzenie grupy z kilku rysunków i zaznaczanie grafiki
2.2.13 Dołączanie i formatowanie pola tekstowego
2.2.14 Wstawianie rysunku z pliku
2.2.15 Wzajemne rozmieszczanie obiektów na slajdzie
2.2.16 Użycie prowadnic i siatki