Pobierz - Gimnazjum nr 81

Transkrypt

Pobierz - Gimnazjum nr 81
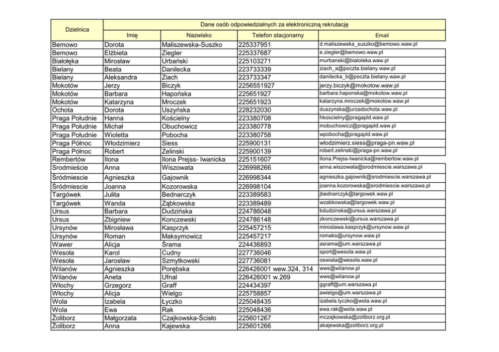
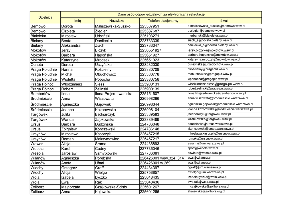
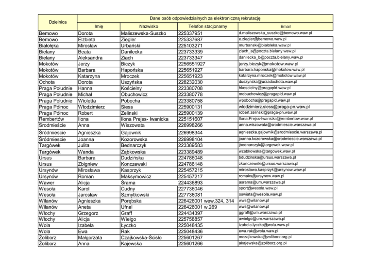
Dane osób odpowiedzialnych za elektroniczną rekrutację
Dzielnica
Imię
Nazwisko
Telefon stacjonarny
Email
Bemowo
Bemowo
Białołęka
Bielany
Bielany
Mokotów
Mokotów
Mokotów
Ochota
Praga Południe
Praga Południe
Praga Południe
Praga Północ
Praga Północ
Rembertów
Srodmieście
Dorota
Elżbieta
Mirosław
Beata
Aleksandra
Jerzy
Barbara
Katarzyna
Dorota
Hanna
Michał
Wioletta
Włodzimierz
Robert
Ilona
Anna
Maliszewska-Suszko
Ziegler
Urbański
Danilecka
Ziach
Biczyk
Hapońska
Mroczek
Uszyńska
Kościelny
Obuchowicz
Pobocha
Siess
Zelinski
Ilona Prejss- Iwanicka
Wiszowata
225337951
225337687
225103271
223733339
223733347
2256551927
225651927
225651923
228232030
223380708
223380778
223380758
225900131
225900139
225151607
226998266
[email protected]
Śródmiescie
Śródmiescie
Targówek
Targówek
Ursus
Ursus
Ursynów
Ursynów
Wawer
Wesoła
Wesoła
Wilanów
Wilanów
Włochy
Włochy
Wola
Wola
Żoliborz
Żoliborz
Agnieszka
Joanna
Julita
Wanda
Barbara
Zbigniew
Mirosława
Roman
Alicja
Karol
Jarosław
Agnieszka
Aneta
Grzegorz
Alicja
Izabela
Ewa
Małgorzata
Anna
Gajownik
Kozorowska
Bednarczyk
Ząbkowska
Dudzińska
Konczewski
Kasprzyk
Maksymowicz
Śrama
Cudny
Szmytkowski
Porębska
Ufnal
Graff
Wielgo
Łyczko
Rak
Czajkowska-Ścisło
Kajewska
226998344
226998104
223389583
223389489
224786048
224786148
225457215
225457217
224436893
227736046
227736081
226426001 wew.324, 314
226426001 w.269
224434397
225758857
225048435
225048436
225601267
225601266
[email protected]
[email protected]
[email protected]
[email protected]
[email protected]
[email protected]
[email protected]
[email protected]
[email protected]
[email protected]
[email protected]
[email protected]
[email protected]
[email protected]
[email protected]
[email protected]
[email protected]
[email protected]
[email protected]
[email protected]
[email protected]
[email protected]
[email protected]
[email protected]
[email protected]
[email protected]
[email protected]
[email protected]
[email protected]
[email protected]
[email protected]
[email protected]
[email protected]
[email protected]