Konkurs na opiekuna dziennego w Ośrodku

Transkrypt

Konkurs na opiekuna dziennego w Ośrodku
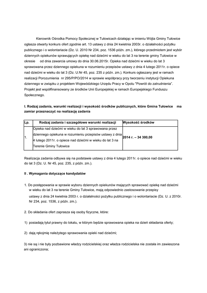
Kierownik Ośrodka Pomocy Społecznej w Tułowicach działając w imieniu Wójta Gminy Tułowice
ogłasza otwarty konkurs ofert zgodnie art. 13 ustawy z dnia 24 kwietnia 2003r. o działalności pożytku
publicznego i o wolontariacie (Dz. U. 2010 Nr 234, poz. 1536 późn. zm.), którego przedmiotem jest wybór
dziennych opiekunów sprawujących opiekę nad dziećmi w wieku do lat 3 na terenie gminy Tułowice w
okresie
od dnia zawarcia umowy do dnia 30.06.2015r. Opieka nad dziećmi w wieku do lat 3
sprawowana przez dziennego opiekuna w rozumieniu przepisów ustawy z dnia 4 lutego 2011r. o opiece
nad dziećmi w wieku do lat 3 (Dz. U.Nr 45, poz. 235 z późn. zm.). Konkurs ogłaszany jest w ramach
realizacji Porozumienia nr 295/P/PO/2014 w sprawie współpracy przy tworzeniu instytucji Opiekuna
dziennego w związku z projektem Wojewódzkiego Urzędu Pracy w Opolu "Powrót do zatrudnienia”.
Projekt jest współfinansowany ze środków Unii Europejskiej w ramach Europejskiego Funduszu
Społecznego.
I. Rodzaj zadania, warunki realizacji i wysokość środków publicznych, które Gmina Tułowice
zamiar przeznaczyć na realizację zadania
Lp.
Rodzaj zadania i szczegółowe warunki realizacji
ma
Wysokość środków
Opieka nad dziećmi w wieku do lat 3 sprawowana przez
1.
dziennego opiekuna w rozumieniu przepisów ustawy z dnia
4 lutego 2011r. o opiece nad dziećmi w wieku do lat 3 na
2014 r. – 34 300,00
Terenie Gminy Tułowice
Realizacja zadania odbywa się na podstawie ustawy z dnia 4 lutego 2011r. o opiece nad dziećmi w wieku
do lat 3 (Dz. U. Nr 45, poz. 235, z późn. zm.).
II . Wymagania dotyczące kandydatów
1. Do postępowania w sprawie wyboru dziennych opiekunów mających sprawować opiekę nad dziećmi
w wieku do lat 3 na terenie Gminy Tułowice, mają odpowiednio zastosowanie przepisy
ustawy z dnia 24 kwietnia 2003 r. o działalności pożytku publicznego i o wolontariacie (Dz. U. z 2010r.
Nr 234, poz. 1536, z późn. zm.).
2. Do składania ofert zaprasza się osoby fizyczne, które:
1) posiadają tytuł prawny do lokalu, w którym będzie sprawowana opieka na dzień składania oferty;
2) dają rękojmię należytego sprawowania opieki nad dziećmi;
3) nie są i nie były pozbawione władzy rodzicielskiej oraz władza rodzicielska nie została im zawieszona
ani ograniczona;
4) wypełniają obowiązek alimentacyjny, w przypadku gdy taki obowiązek został nałożony na podstawie
tytułu wykonawczego pochodzącego lub zatwierdzonego przez sąd;
5) nie są skazane prawomocnym wyrokiem za przestępstwo umyślne;
6) posiadają warunki lokalowe zapewniające bezpieczną opiekę nad dziećmi;
7) odbyły:
a)
160-godzinne szkolenie, o którym mowa w art. 39 ust. 1 pkt 6 lit. a ustawy z dnia 4 lutego 2011r.
o opiece nad dziećmi w wieku do lat 3 albo
b)
40-godzinne szkolenie uzupełniające, o którym mowa w art. 39 ust. 1 pkt 6 lit. b ustawy z dnia
4 lutego 2011r. o opiece nad dziećmi w wieku do lat 3 w tym z zakresu udzielania dziecku pierwszej
pomocy, jeżeli posiadają kwalifikacje pielęgniarki, położnej, opiekunki dziecięcej, nauczyciela
wychowania przedszkolnego, nauczyciela edukacji wczesnoszkolnej lub pedagoga opiekuńczowychowawczego;
8) do odbycia szkolenia, o którym mowa w ust. 7 nie jest zobowiązana osoba, która pracowała
z dziećmi w wieku do lat 3 przez okres co najmniej 12 miesięcy bezpośrednio przed podjęciem
zatrudnienia jako dzienny opiekun
3.
W celu weryfikacji spełnienia warunków u kandydata na dziennego opiekuna może być
przeprowadzony wywiad środowiskowy o którym mowa w art. 39 ust. 3 ustawy z dnia
4 lutego 2011r. o opiece nad dziećmi w wieku do lat 3
4. Weryfikacja oraz ocena spełniania warunków lokalowych, w których będzie sprawowana opieka
u kandydata na dziennego opiekuna zostanie dokonana przez upoważnionych pracowników Ośrodka
Pomocy Społecznej.
III. Termin realizacji zadania
Zadanie będzie realizowane w terminie od dnia 01.06.2014r. do dnia 31.05.2015r.
IV. Warunki realizacji zadania
1. Do zadań dziennego opiekuna należy w szczególności:
a) zapewnienie dzieciom opieki w warunkach bytowych zbliżonych do warunków domowych;
b) zagwarantowanie dzieciom właściwej opieki pielęgnacyjnej oraz edukacyjnej, z uwzględnieniem
indywidualnych potrzeb dzieci;
c)
prowadzenie zajęć opiekuńczo-wychowawczych i edukacyjnych uwzględniających rozwój
psychomotoryczny dzieci, właściwych do wieku dziecka.
2. Dzienny opiekun sprawuje opiekę nad dziećmi od 4 miesiąca życia do 3 roku życia zgodnie z zapisami
ustawy z dnia 4 lutego 2011r. o opiece nad dziećmi w wieku do lat 3.
3. Opieka sprawowana będzie maksymalnie 9 h dziennie w systemie pracy zmianowej dostosowanej
do potrzeb rodziców (uczestników projektu).
4. Dzienny opiekun podlega obowiązkowi ubezpieczenia od odpowiedzialności cywilnej za szkody
wyrządzone przy sprawowaniu opieki. Umowę ubezpieczenia dziennego opiekuna od
odpowiedzialności cywilnej oraz opłacania i finansowania składki na to ubezpieczenie zawiera
Kierownik Ośrodka Pomocy Społecznej w Tułowicach.
5. Dzienny opiekun podlega obowiązkowemu badaniu sanitarno-epidemiologicznemu. Kandydat musi
posiadać aktualną książeczkę sanitarno epidemiologiczną ważną przez okres nie krótszy niż 6 m-cy
od dnia złożenia oferty oraz zaświadczenie od lekarza podstawowej opieki zdrowotnej o zdolności do
podjęcia pracy w charakterze dziennego opiekuna.
6. W ramach konkursu planuje się finansowanie usługi dziennego opiekuna, zgodnie z uchwałą Rady
Gminy Tułowice (aktualną na dzień zawarcia umowy o świadczeniu usług z Dziennym Opiekunem)
w sprawie ustalenia maksymalnego wynagrodzenia dziennego opiekuna, zasad jego ustalania oraz
wysokości opłaty za pobyt dziecka u dziennego opiekuna oraz maksymalnej wysokości opłaty za
wyżywienie. Wynagrodzenie dziennego opiekuna płatne jest za rzeczywiście przepracowane godziny
opieki nad dziećmi w wieku do lat 3.
7. Dzienny opiekun zatrudniany jest przez Kierownika Ośrodka Pomocy Społecznej działającego w
imieniu Wójta Gminy Tułowice na podstawie umowy o świadczenie usług, do której zgodnie z
przepisami Kodeksu cywilnego stosuje się przepisy dotyczące zlecenia.
8. Dzienny opiekun, realizując zadanie, zobowiązany jest do stosowania przepisów prawa, w
szczególności przepisów o ochronie danych osobowych.
V. Termin i warunki składania ofert
1. Oferty należy składać wyłącznie na drukach, zgodnych z rozporządzeniem Ministra Pracy i
Polityki Społecznej z dnia 15 grudnia 2010 roku w sprawie wzoru ofert i ramowego wzoru umowy
dotyczących realizacji zadania publicznego oraz wzoru sprawozdania z wykonania
tego zadania (Dz. U. z 2011 r. Nr 6, poz. 25). Formularz oferty wraz z załącznikami dostępny jest
na stronie internetowej www.bip.tulowice.pl w zakładce „Nabory na stanowiska”.
2. Oferty należy składać w Ośrodku Pomocy Społecznej w Tułowicach (I piętro), w terminie do dnia
27.05.2014 roku do godz. 12
00
lub przesyłać na adres: Ośrodek Pomocy Społecznej
ul. Świerczewskiego 8, 49-130 Tułowice (decyduje data wpływu do Ośrodka).
Oferta, która wpłynie po ww. terminie nie będzie objęta procedurą konkursową
1. Oferty należy składać w zamkniętej kopercie, w miejscu i czasie określonym w ogłoszeniu.
Koperta powinna być opisana z oznaczeniem nazwy i adresu osoby składającej ofertę oraz
nazwy zadania określonego w ogłoszeniu o konkursie.
2. Przed złożeniem oferty wyznaczeni pracownicy Ośrodka Pomocy Społecznej udzielają wyjaśnień
oraz odpowiadają na pytania oferenta dotyczące zadania konkursowego oraz wymogów
00
formalnych (Tułowice, ul. Świerczewskiego 8, od poniedziałku do piątku w godz. 8 -15
00
lub pod
nr tel. 77 4600 673).
VI. Wymagana dokumentacja
Dokumenty podstawowe:
1. Prawidłowo wypełniony formularz oferty podpisany przez kandydata na dziennego opiekuna.
2. Kserokopia dowodu osobistego.
3. Oświadczenie o posiadaniu warunków lokalowych zapewniających bezpieczną opiekę nad
dziećmi - dotyczy lokalu, w którym będzie sprawowana opieka.
4. Dokument poświadczający tytuł prawny do lokalu, w którym będzie sprawowana opieka na dzień
składania oferty.
5. Oświadczenie, w którym kandydat na dziennego opiekuna stwierdza, że władza rodzicielska
nie została mu odebrana, nie została mu zawieszona ani ograniczona.
6. Oświadczenie o wypełnianiu obowiązku alimentacyjnego, w przypadku gdy taki obowiązek został
nałożony na podstawie tytułu wykonawczego pochodzącego lub zatwierdzonego przez sąd.
7. Zaświadczenie o niekaralności za przestępstwo umyślne.
8. Dokument/y potwierdzające kwalifikację kandydata na dziennego opiekuna zgodnie
z art. 39 ust. 1 pkt. 6 ustawy o opiece nad dzieckiem w wieku do lat 3.
9. Oświadczenie, dziennego opiekuna dające rękojmię należytego sprawowania opieki nad dziećmi.
10. Kserokopię książeczki sanitarno – epidemiologicznej ważną przez okres nie krótszy niż 6 m-cy
od dnia złożenia oferty.
11. Zaświadczenie lekarza podstawowej opieki zdrowotnej do pracy w charakterze dziennego
opiekuna wystawione nie wcześniej niż jeden miesiąc przed upływem terminu do złożenia oferty.
12. Oświadczenie, że kandydat wyraża zgodę na przetwarzanie danych osobowych zgodnie z
ustawą z dnia 29 sierpnia 1997r. o ochronie danych osobowych (Dz.U. z 2002r. Nr 101 poz. 926 z
późn. zm.) w celach przeprowadzania konkursu na dziennego opiekuna.
Do oferty mogą być dołączone inne załączniki, w tym opinie o oferencie.
Złożenie oferty bez wszystkich wymaganych, prawidłowo wypełnionych i podpisanych,
załączników spowoduje ODRZUCENIE oferty z przyczyn formalnych.
Złożenie oferty nie jest równoznaczne z zapewnieniem zawarcia umowy z kandydatem na
dziennego opiekuna.
VII. Termin i tryb wyboru oferty
1. Otwarcie kopert z ofertami konkursowymi oraz dokonanie oceny formalnej złożonych ofert, zgodnie
z wymaganiami podanymi w dziale VI niniejszego ogłoszenia, nastąpi w obecności co najmniej dwóch
pracowników Ośrodka Pomocy Społecznej, upoważnionych przez Kierownika ośrodka.
2. Oferty, które nie spełnią wymogów formalnych nie będą dalej rozpatrywane.
3. W pierwszej części konkursu oferty będą oceniane pod względem formalnym. Oferty złożone po
terminie, sporządzone wadliwie bądź niekompletne zostaną odrzucone i zwrócone Oferentom.
Oferty, które nie będą posiadały adresu Oferenta zostaną komisyjnie zniszczone z czego zostanie
sporządzony protokół.
4. W drugiej części konkursu oferty poprawne pod względem formalnym zostaną ocenione pod
względem merytorycznym przez Komisję Konkursową powołaną przez Kierownika Ośrodka Pomocy
Społecznej w drodze Zarządzenia.
5. Częścią oceny merytorycznej będzie weryfikacja warunków lokalowych przez członków komisji
konkursowej powołanej przez Kierownika Ośrodka Pomocy Społecznej.
6. Kryteria stosowane podczas oceny merytorycznej oferty przez Komisję Konkursową oraz ich waga:
Kryteria
Punkty
Warunki lokalowe do realizacji zadania
0-10 pkt.
Doświadczenie w zakresie opieki nad dziećmi w wieku do lat 3
0-5 pkt.
Opinie
0-5 pkt.
Atrakcyjność oferty
0-10 pkt.
Dysponowanie wolontariuszem, o którym mowa w art. 38 ust. 2 w
2 pkt.
ustawie z dnia 4 lutego 2011r. o opiece nad dziećmi w wieku do lat 3
7.
Po ocenie merytorycznej złożonych ofert Komisja Konkursowa przedłoży rekomendacje co do
wyboru oferentów Kierownikowi Ośrodka Pomocy Społecznej, działającemu w imieniu Wójta Gminy
Tułowice.
8.
Rozstrzygnięcia konkursu ofert dokona w drodze Zarządzenia Kierownik Ośrodka Pomocy
Społecznej, działający w imieniu Wójta Gminy Tułowice.
9.
Wyniki otwartego konkursu ofert zostaną podane do wiadomości publicznej w Biuletynie Informacji
Publicznej www.bip.tulowice.pl oraz na tablicy ogłoszeń w siedzibie OPS.
10. Zarządzenie Kierownika Ośrodka Pomocy Społecznej, działającego w imieniu Wójta Gminy Tułowice
jest podstawą do zawarcia pisemnej umowy z oferentami, których oferta została wybrana.
11. Środki finansowe zostaną rozdzielone pomiędzy uprawnionych oferentów, których oferty będą
wyłonione w drodze konkursu. Możliwe jest zawarcie umowy z jednym oferentem albo z kilkoma
oferentami, albo nie zawarcie umowy z żadnym oferentem.
12. Od rozstrzygnięcia w sprawie wyboru oferty nie stosuje się trybu odwoławczego.
Kierownik Ośrodka Pomocy Społecznej, działający w imieniu Wójta Gminy Tułowice zastrzega
sobie prawo odstąpienia od rozstrzygnięcia, w części lub w całości, otwartego konkursu ofert bez
podania przyczyny.
VIII. Informacja o zrealizowanych przez Wójta Gminy Tułowice w roku ogłoszenia otwartego konkursu
ofert i zadaniach publicznych tego samego rodzaju i związanych z nimi kosztami:
Konkurs ofert na dziennego opiekuna sprawującego opiekę nad dziećmi w wieku do lat 3 w imieniu Wójta
Gminy Tułowice, ogłaszany jest po raz pierwszy.