Ktokolwiek widział, ktokolwiek wie

Transkrypt

Ktokolwiek widział, ktokolwiek wie
Płońszczak - Gazeta lokalna - Płońsk, Raciąż, Baboszewo, Czerwińsk, Dzierzążnia, Joniec, Naruszewo
Ktokolwiek widział, ktokolwiek wie&
Zaginęła nastolatka
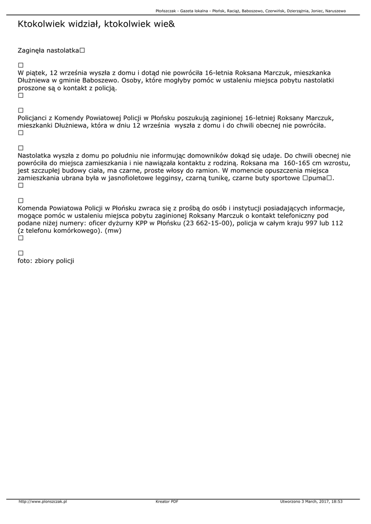
W piątek, 12 września wyszła z domu i dotąd nie powróciła 16-letnia Roksana Marczuk, mieszkanka
Dłużniewa w gminie Baboszewo. Osoby, które mogłyby pomóc w ustaleniu miejsca pobytu nastolatki
proszone są o kontakt z policją.
Policjanci z Komendy Powiatowej Policji w Płońsku poszukują zaginionej 16-letniej Roksany Marczuk,
mieszkanki Dłużniewa, która w dniu 12 września wyszła z domu i do chwili obecnej nie powróciła.
Nastolatka wyszła z domu po południu nie informując domowników dokąd się udaje. Do chwili obecnej nie
powróciła do miejsca zamieszkania i nie nawiązała kontaktu z rodziną. Roksana ma 160-165 cm wzrostu,
jest szczupłej budowy ciała, ma czarne, proste włosy do ramion. W momencie opuszczenia miejsca
zamieszkania ubrana była w jasnofioletowe legginsy, czarną tunikę, czarne buty sportowe puma.
Komenda Powiatowa Policji w Płońsku zwraca się z prośbą do osób i instytucji posiadających informacje,
mogące pomóc w ustaleniu miejsca pobytu zaginionej Roksany Marczuk o kontakt telefoniczny pod
podane niżej numery: oficer dyżurny KPP w Płońsku (23 662-15-00), policja w całym kraju 997 lub 112
(z telefonu komórkowego). (mw)
foto: zbiory policji
http://www.plonszczak.pl
Kreator PDF
Utworzono 3 March, 2017, 18:53