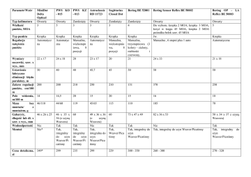
Tabela porównawcza

Transkrypt

Tabela porównawcza
Parametr/Wzór
MiniDot
Delta
Optical
Otwarty
3
PWS KO
- 015
PWS KZ
- 013
Astroclassic
RD 11723
Sagittarius
Closed Dot
Bering BE 52001
Bering Sensor Reflex BE 50002
Bering OP – LA
Reflex BE 50003
Otwarty
5
Zamknięty
3
Otwarty
3
Zamknięty
3
Zamknięty
4
Otwarty
5
Typ punktu
Regulacja
natężenia
punktu
Kropka
Automatycz
na
Kropka
Automatyc
zna
Kropka
Manualna,
wielostopn
iowa,
8
pozycji
Kropka
Automatycz
na
Kropka
Manualna,
wielostopnio
wa,
8
pozycji
Wymiary
soczewki, szer. x
wys., mm
Ustawienie
fabryczne
eliminacji błędu
paralaksy, m
Zakres regulacji
punktu, cm/100
m
Pole widzenia,
m/100 m
Masa
bez
montażu/
z
montażem, g
Gabaryty,
długość lub dł. x
szer. x wys., mm
Wodoodporność
Montaż
22 x 17
24 x 18
20
23 x 17
20
Kropka
Manualna,
trzystopniowa (3
kolory – zielony,
niebieski
i
czerwony,
21
Otwarty
Do wyboru: kropka 2 MOA, kropka 3 MOA,
krzyż w kręgu 45 MOA, kropka 2 MOA
pośrodku belek szer. 45 MOA
Jw.
Manualna , 6 stopni plus 1 auto
24 x 33
21 x 18
50
40
40
45,7
45
50
50
50
200
200
210
250
210
131
370
250
14
14,5
20
15
20
15
16
10
46/110
44/60
119
45/65
115
110
105
70
46 x 26 x 25
46 x 35 x
36 (z szyną
Weavera)
Tak
Tak,
integralny
do
szyn
Weaver/Pi
catinny
60
60
73 x 47 x 49
82 x 36 x 53
50 x 34 x 37 z szyną
Weavera)
Tak
Tak,
integralny
do
szyn
Weaver/Pi
catinny
49 x 36 x 36
(z
szyną
Weavera)
Nie
Tak,
integralna do
szyn
Weaver/Pica
tinny
Tak
Tak,
Weaver/Pica
tinny
Tak
Tak, integralny do
szyn
Weaver/Picatinny
Nie
Tak, integralny do szyn Weaver/Picatinny
Tak
Tak, integralny do
szyn
Weaver/Picatinny
Cena detaliczna,
zł
349*
299
235
299
229
300 - 350
260 - 300
270 - 320
Typ kolimatora
Wielkość
punktu, MOA
Nie
Nie*
Kropka
Automatyczna