pobierz

Transkrypt

pobierz
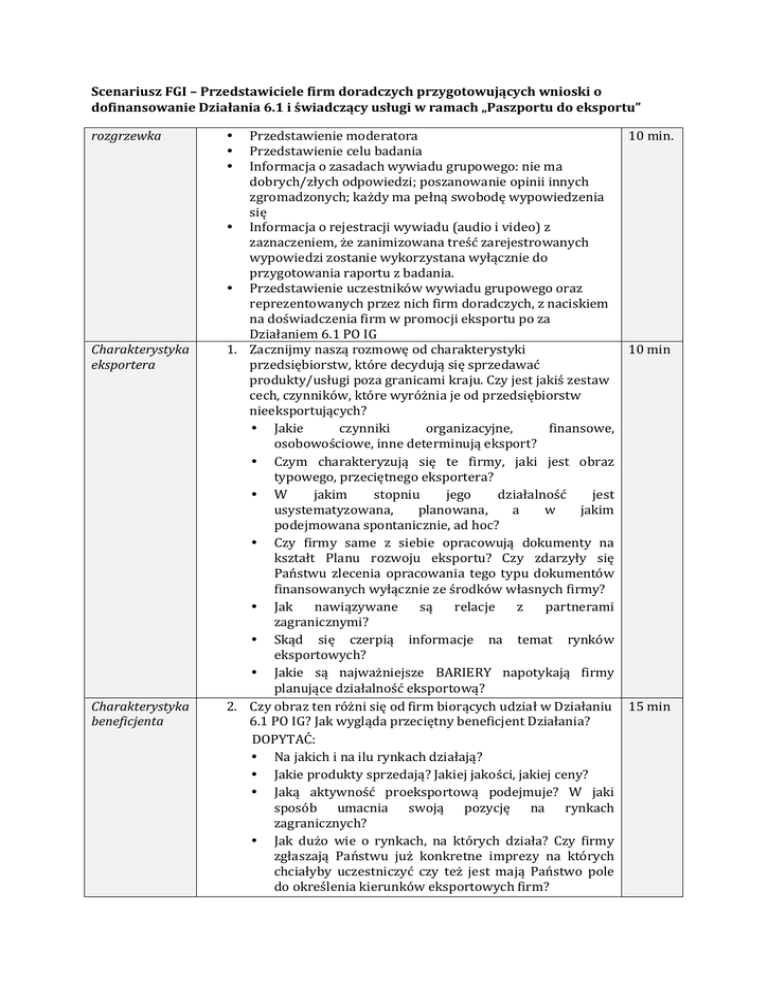
Scenariusz FGI – Przedstawiciele firm doradczych przygotowujących wnioski o
dofinansowanie Działania 6.1 i świadczący usługi w ramach „Paszportu do eksportu”
rozgrzewka
Charakterystyka
eksportera
Charakterystyka
beneficjenta
Przedstawienie moderatora
10 min.
Przedstawienie celu badania
Informacja o zasadach wywiadu grupowego: nie ma
dobrych/złych odpowiedzi; poszanowanie opinii innych
zgromadzonych; każdy ma pełną swobodę wypowiedzenia
się
 Informacja o rejestracji wywiadu (audio i video) z
zaznaczeniem, że zanimizowana treść zarejestrowanych
wypowiedzi zostanie wykorzystana wyłącznie do
przygotowania raportu z badania.
 Przedstawienie uczestników wywiadu grupowego oraz
reprezentowanych przez nich firm doradczych, z naciskiem
na doświadczenia firm w promocji eksportu po za
Działaniem 6.1 PO IG
1. Zacznijmy naszą rozmowę od charakterystyki
10 min
przedsiębiorstw, które decydują się sprzedawać
produkty/usługi poza granicami kraju. Czy jest jakiś zestaw
cech, czynników, które wyróżnia je od przedsiębiorstw
nieeksportujących?
 Jakie
czynniki
organizacyjne,
finansowe,
osobowościowe, inne determinują eksport?
 Czym charakteryzują się te firmy, jaki jest obraz
typowego, przeciętnego eksportera?
 W
jakim
stopniu
jego
działalność
jest
usystematyzowana,
planowana,
a
w
jakim
podejmowana spontanicznie, ad hoc?
 Czy firmy same z siebie opracowują dokumenty na
kształt Planu rozwoju eksportu? Czy zdarzyły się
Państwu zlecenia opracowania tego typu dokumentów
finansowanych wyłącznie ze środków własnych firmy?
 Jak
nawiązywane
są
relacje
z
partnerami
zagranicznymi?
 Skąd się czerpią informacje na temat rynków
eksportowych?
 Jakie są najważniejsze BARIERY napotykają firmy
planujące działalność eksportową?
2. Czy obraz ten różni się od firm biorących udział w Działaniu 15 min
6.1 PO IG? Jak wygląda przeciętny beneficjent Działania?
DOPYTAĆ:
 Na jakich i na ilu rynkach działają?
 Jakie produkty sprzedają? Jakiej jakości, jakiej ceny?
 Jaką aktywność proeksportową podejmuje? W jaki
sposób umacnia swoją pozycję na rynkach
zagranicznych?
 Jak dużo wie o rynkach, na których działa? Czy firmy
zgłaszają Państwu już konkretne imprezy na których
chciałyby uczestniczyć czy też jest mają Państwo pole
do określenia kierunków eksportowych firm?



Jak ogólnie rzecz biorąc oceniają Państwo promocję
paszportu do eksportu? Czy beneficjenci sami się do
Państwa zgłaszają? Czy też Państwo namawiają
potencjalnych eksporterów do udziału w Działaniu?
 Kto pisze wniosek o dofinansowanie? Na jakich
zasadach się to odbywa? Dostają Państwo zapłatę po
zaakceptowaniu wniosku (czy rozliczeniu I etapu)? Czy
cena napisania wniosku zawarta jest w cenie
opracowania PRE?
 Czy Państwo towarzyszą beneficjentom również na
etapie wdrożenia planów? Na czym polega Państwa
udział (jedynie rozliczają Państwo projekt, organizują
Państwo misje, udział w targach)? Istnieje wymóg
zachowania zasady konkurencyjności, czy ona nie
stanowi
bariery
w Państwa
współpracy
z
beneficjentami? Jak Państwo obchodzą ten problem?
Jakie są najważniejsze BARIERY napotykają firmy 30 min
prowadzące działalność eksportową w ramach paszportu
do eksportu?
 Czy bariery są różne dla różnych typów podmiotów?
Jakie problemy napotykają mikro, małe i średnie
przedsiębiorstwa?
 Czy różnią się na etapach realizacji projektu? Jakie to
bariery?
Wiele firm nie wdraża opracowanych przez Państwa PRE, z
czego to wynika? [DOPYTUJEMY O PRZYKŁADY
KONKRETNYCH POWODÓW REZYGNACJI]
 Czynników zewnętrznych
 Zbytniego formalizmu ze strony RIF/PARP
 Innych czynników?
 Jakości i sposobu opracowywania PRE?
Skupmy się na Planach rozwoju eksportu:
 Czy generalnie dokument ten jest niezbędny, żeby
rozpocząć działalność eksportową?
 Jak Państwo opracowują PRE dla firm? Jak przebiega
ten proces? Czy angażują Państwo pracowników firm? Z
jakich źródeł Państwo korzystają? Jeżeli mają Państwo
dwie firmy z tej samej branży, czy PRE jakoś znacząco
się od siebie różnią?
 Jakie problemy pojawiają się we współpracy z firmą?
Czy oni angażują się w proces opracowywania PRE?
 Czy zdarzył się Państwo przypadek, że nie
rekomendowali Państwo działalności eksportowej? Jak
przyjął to zarząd firmy?
 Jakie są Państwa doświadczenia we współpracy z RIF
przy akceptacji PRE?
 Jakiego typu firmy decydują się na realizację II etapu?
Czy różnią się one od pozostałych beneficjentów
Działania?
W tym roku nastąpiły zmiany w Działaniu 6.1, nie ma już
podziału na dwa etapy. Jak oceniają Państwo te zmiany? Czy

Napotykane
bariery
3.
4.
5.
6.
Nowe
propozycje
zmian
rekomendacje
zmiany sprawiają, że wsparcie to jest bardziej atrakcyjne
dla potencjalnych eksporterów? Czy wpłynęły one na
funkcjonowanie Państwa firm, mniej firm zgłasza się z
prośbą o opracowanie planu?
7. Jakie inne zmiany powinny być jeszcze wprowadzony, aby 20 min
zwiększyć użyteczność tego wsparcia:
Jakie konsekwencje pociągają za sobą te zmiany? Czy są
uzasadnione z punktu widzenia potrzeb firm, z którymi
Państwo współpracują?
a. zwiększenie wysokości współfinansowania z 50%
do 80%;
b. zwiększenie
limitu
pomocy
dla
jednego
przedsiębiorcy z 200 000 zł do 320 000 zł;
c. poszerzenie grupy docelowej Działania poprzez
podwyższenie progu udziału eksportu w całkowitej
sprzedaży w roku poprzedzającym rok złożenia
wniosku z 30% do 50%; umożliwienie firmom
turystycznym korzystania z działania 6.1
d. rozszerzenie katalogu wydatków kwalifikujących się
do objęcia wsparciem;
e. dopuszczenie możliwości rezygnacji z wymogu PRE
w odniesieniu do danego rynku docelowego
przypadku firm, które wykażą się prowadzeniem
działalności handlowej na tym rynku (np. w okresie
2 lat);
Moderator: Załóżmy, że Ministerstwo Gospodarki poprosiło
30 min
Państwa o zaprojektowanie wsparcia proeksportowego dla MSP na
lata 2014-2020. Celem jest maksymalna skuteczność wsparcia
mierzona wzrostem eksportu, przy jednoczesnej wygodzie dla
beneficjentów. Środki na interwencję są ograniczone dlatego muszą
Państwo zdecydować do kogo i na co powinny być przeznaczone
środki.
8. Uczestnicy wspólnie ustalają kolejne elementy instrumentu
wsparcia:
a. Do jakich firm powinno być skierowane wsparcie?
Jakie firmy skorzystają na wsparciu w największym
stopniu? (wielkość, branża, udział eksportu)
b. Jakiego typu wsparcie powinno być oferowane?
Jeżeli wśród propozycji pojawia się wsparcie
doradcze:Jakie firmy doradcze powinny świadczyć
tego typu wsparcie? Czy powinny posiadać one
jakieś doświadczenie/ certyfikaty/ być zrzeszone?
c. Na jakich zasadach powinno być ono udzielane?
Firmy same aplikują o wsparcie czy też to firmy
doradcze świadczą wsparcie dla kilkunastu firm?
d. Listę
dopuszczalnych
wydatków
(kosztów
kwalifikowanych) – tylko dziesięć kategorii
wydatków, które dodatkowo porządkują wg stopnia
ważności. Kategorie wydatków są wydrukowane na
kartonikach, które w odpowiedniej kolejności
układają uczestnicy.
e. Wysokość
i
intensywność
wsparcia,
z
uwzględnieniem ograniczeń w budżecie.
f.
Procedury wyboru wniosków, reguły rozliczania
projektu.
g. Harmonogram wdrażania instrumentu wsparcia.
h. Sposób promocji interwencji
Podsumowując proszę powiedzieć, jak powinno wyglądać wsparcie
proeksportowe w nowej perspektywie programowej, aby sprzyjać
maksymalizacji efektów Działania – użyteczności, skuteczności,
trwałości i efektywności Działania? Dopytać co jeszcze?
Dziękuję za rozmowę
Mam prośbę o dopytanie doradców jeszcze o dwie kwestie:
1) Czy spotkali się z doradztwem świadczonym w ramach Krajowego Systemu Usług dla MSP,
nadzorowanego przez PARP(może zetknęli się KSU pośrednio, poprzez opinie swoich klientów)? Jakie
są ich opinie względem oferty KSU i standardu (jakości) świadczonych usług (w porównaniu do usług
świadczonych przez nich samych)? Czy tego typu podmioty mogą byd dobrymi doradcami dla
eksporterów / potencjalnych eksporterów? Dlaczego?
2) Co sądzą o instrumentach zwrotnych (pożyczki, pożyczki + poręczenia) na rozwój działalności
eksportowej MSP (w tym np. na zakup usług doradczych i pokrycie kosztów udziału w imprezach z
udziałem zagranicznych partnerów – czyli podobny zakres przedmiotowy jak obecnie Działanie 6.1 PO
IG)? Czy mają szansę powodzenia (popyt, skutecznośd)? Czy ewentualne instrumenty mieszane
(kredyt z dotacją np. w formie premii za wyniki w eksporcie) mogłyby się sprawdzid? Dlaczego?