zasady tworzenia i działania hufców

Transkrypt

zasady tworzenia i działania hufców
Strzelce Krajeńskie, 23 marca 2016 r.
Związek Harcerstwa Polskiego
Komendant Hufca
Strzelce Krajeńskie ZHP
Rozkaz L. 6/16
1. Zarządzenia i informacje
1.1. Zarządzenia
1.1.1. Zatwierdzam porozumienie o współpracy hufca z nowopowstającym związkiem drużyn na
terenie miasta Strzelce Krajeńskie.
1.2. Informacje
1.2.1 Informuję o nadaniu niezależności finansowo-gospodarczej związkowi drużyn na terenie miasta
Strzelce Krajeńskie, zgodnie z pkt. 38 instrukcji działania związku drużyn oraz zapisami porozumienia
o współpracy zawartego 20.03.2016.
2. Hufiec
2.1. Zwolnienia w komendzie hufca
2.1.1. Zwalniam HO Michała Plebaniak oraz dh. Weronikę Galant z funkcji administratorów ewidencji
harcerskiej hufca z dniem 18 marca 2016 r.
Dziękuję Druhnie i Druhowi za duże zaangażowanie we wspieraniu rozwoju naszego hufca i życzę
satysfakcji w dalszej służbie.
2.2. Mianowania w komendzie hufca
2.2.1. Mianuję pwd. Bartosza Guścina administratorem ewidencji harcerskiej hufca, a phm. Mariusza
Groblica edytorem ewidencji w zakresie edycji danych instruktorskich z dniem 18.03.16.
2.2.2. Mianuję z dniem 18.03.2016 phm. Mariusza Groblicę na członka Hufcowej Komisji Stopni
Instruktorskich i powierzam mu funkcję sekretarza tej komisji.
4. Kręgi
4.2. Powołania i rozwiązania kręgów
4.2.1. Powołuję Strzelecki Krąg Instruktorski „Baszta” przy Związku Drużyn Strzelce Kraj. ZHP.
4.2.2 Powołuję Strzelecki Krąg Seniorów ZHP „Bastion” przy Związku Drużyn Strzelce Kraj. ZHP.
4.3. Zwolnienia i mianowania w kręgach
4.3.1. Zatwierdzam wybór i mianuje phm. Grażynę Niwińską-Sotkiewicz na funkcję przewodniczącej
Kręgu Instruktorskiego „Baszta” działającego przy Związku Drużyn Strzelce Kraj. ZHP.
4.3.2. Zatwierdzam wybór i mianuje phm. Danutę Serafin na funkcję przewodniczącej Kręgu
Seniorów ZHP „Bastion” działającego przy Związku Drużyn Strzelce Kraj. ZHP.
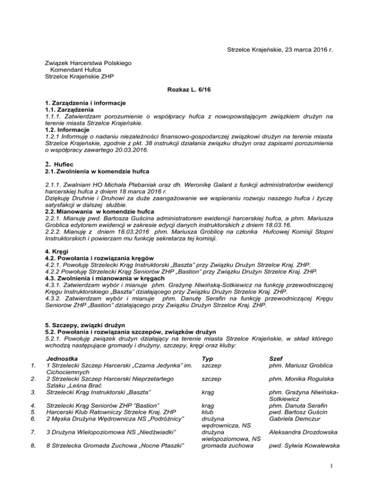
5. Szczepy, związki drużyn
5.2. Powołania i rozwiązania szczepów, związków drużyn
5.2.1. Powołuję związek drużyn działający na terenie miasta Strzelce Krajeńskie, w skład którego
wchodzą następujące gromady i drużyny, szczepy, kręgi oraz kluby:
Typ
szczep
Szef
phm. Mariusz Groblica
szczep
phm. Monika Rogulska
3.
Jednostka
1 Strzelecki Szczep Harcerski „Czarna Jedynka” im.
Cichociemnych
2 Strzelecki Szczep Harcerski Nieprzetartego
Szlaku „Leśna Brać
Strzelecki Krąg Instruktorski „Baszta”
krąg
4.
5.
6.
Strzelecki Krąg Seniorów ZHP ”Bastion”
Harcerski Klub Ratowniczy Strzelce Kraj. ZHP
2 Męska Drużyna Wędrownicza NS „Podróżnicy”
7.
3 Drużyna Wielopoziomowa NS „Niedźwiadki”
8.
8 Strzelecka Gromada Zuchowa „Nocne Ptaszki”
krąg
klub
drużyna
wędrownicza, NS
drużyna
wielopoziomowa, NS
gromada zuchowa
phm. Grażyna NiwińskaSotkiewicz
phm. Danuta Serafin
pwd. Bartosz Guścin
Gabriela Demczur
1.
2.
Aleksandra Drozdowska
pwd. Sylwia Kowalewska
1
9.
10
.
11
.
12
.
13
.
14
.
8 Strzelecka Drużyna Harcerska „Dakota”
8 Strzelecka Drużyna Harcerska „Eskadra”
drużyna harcerska
drużyna harcerska
HO Kamil Wójcicki
pwd. Marcin Proszowski
8 Strzelecka Drużyna Starszoharcerska „Desant”
drużyna
starszoharcerska
drużyna
wędrownicza
drużyna
wędrownicza, NS
drużyna
starszoharcerska,
NS
odkr. Maurycy Proszowski
8 Strzelecka Drużyna Wędrownicza „Paradrop”
15 Żeńska Drużyna Wędrownicza NS „Podrożniczki”
21 Drużyna Starszoharcerska NS
trop. Liwia Maleńczak
phm. Monika Rogulska
odkr. Damian Silicki
5.3. Zwolnienia i mianowania w szczepach i związkach drużyn
5.3.1. Mianuję komendę Związku Drużyn Strzelce Krajeńskie ZHP w składzie:
- phm. Mariusz Groblica – komendant związku drużyn
- phm. Monika Rogulska – zastępca komendanta związku drużyn
- pwd. Sylwia Kowalewska – skarbnik związku drużyn
Jednocześnie informuję, że w dniu 16.04.2016 zjazd związku drużyn wybierze swoją komendę
na okres pełnej kadencji.
7. Mianowania instruktorów
7.1. Zamknięcia próby na stopień przewodniczki/przewodnika
7.1.1. Na wniosek Komisji Stopni Instruktorskich z dnia 18.03.2016 zamykam próbę, przyznaję
stopień przewodnika i dopuszczam do złożenia Zobowiązania Instruktorskiego druha Mikołaja
Mikołajewskiego.
9. Przydział służbowy
9.1 Uzyskanie przydziału służbowego przez członka zwyczajnego ZHP
9.1.1 Przydział służbowy do hufca otrzymuje:
- phm. Wanda Warmuz
- phm. Helena Mosiewicz
- hm. Iza Hrabska
- dh. Emilia Sarbiewska
- dh. Ewa Konieczyńska-Świrepo
- dh. Mateusz Wandzilak
13. Inne
13.1. Powołuję, przy Związku Drużyn Strzelce Krajeńskie ZHP, Harcerski Klub Ratowniczy Strzelce
Krajeńskie ZHP oraz mianuję:
- pwd. Bartosza Guścina – na funkcję prezesa klubu
Jednocześnie informuję, że szefem wyszkolenia w ramach pracy klubu jest dh. Ewa KonieczyńskaŚwirepo (pielęgniarka systemu ratownictwa medycznego).
Czuwaj!
/-/ phm. Jacek Różański
2