pobierz pdf

Transkrypt

pobierz pdf
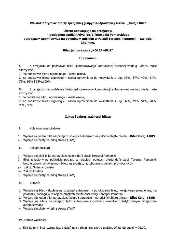
Warunki taryfowe oferty specjalnej grupy transportowej Arriva „Kolej+Bus”
Oferta obowiązuje na przejazdy:
- pociągiem spółki Arriva do/z Terespola Pomorskiego
- autobusem spółki Arriva na dowolnym odcinku w relacji Terespol Pomorski – Świecie –
Chełmno.
Bilet jednorazowy „KOLEJ +BUS”
Uprawnieni
I.
Z przejazdu na podstawie biletu jednorazowego komunikacji łączonej według oferty może
skorzystać:
1. na podstawie biletu normalnego - każda osoba,
2. na podstawie biletu ulgowego – osoba uprawniona do korzystania z ulg: 33%, 37%, 49%, 51%,
78%, 93% i 95%,100%
II.
Z przejazdu na podstawie biletu jednorazowego komunikacji autobusowej według oferty może
skorzystać:
1. na podstawie biletu normalnego - każda osoba,
2. na podstawie biletu ulgowego – osoba uprawniona do korzystania z ulg: 37%, 49%, 51%, 78%,
93%, 95%
Zakup i zakres ważności biletu
I.
Kolejowa kasa biletowa
1. Wydaje się jeden bilet na przejazd koleją i autobusem na odcinki objęte ofertą – Bilet Kolej +BUS
2. Wydaje się bilety w jedną stronę (TAM)
II.
Pokład pociągu
1. Wydaje się bilet tylko na przejazd koleją do/z stacji Terespol Pomorski
2. Bilet zakupiony na pokładzie pociągu w relacjach objętych ofertą do/z stacji Terespol Pomorski,
będzie uprawniał do zakupu biletu na przejazd autobusem w cenach promocyjnych:
a) 1 zł do Świecia n/Wisłą
b) 2 zł do Chełma
3. Wydaje się bilety w jedną stronę (TAM)
III.
Autobus
1. Wydaje się bilet - dopłatę na przejazd autobusem - po okazaniu biletu kolejowego zakupionego na
pokładzie pociągu w relacjach objętych ofertą do/z stacji Terespol Pomorski
2. Wydaje się jeden bilet na przejazd koleją i autobusem na odcinki objęte ofertą – Bilet Kolej +BUS
3. Wydaje się bilety na przejazd tylko autobusem (zgodnie z cennikiem dedykowanym przejazdom
autobusowym)
4. Wydaje się bilety w jedną stronę (TAM)
IV. Termin ważności
1. Bilet Kolej + BUS ważny jest 1 dzień gdzie dzień liczy się od godziny 00.01 do godziny 24.00.
2. Bilet zakupiony w autobusie dla relacji tylko i wyłącznie autobusowej ważny jest na dany kurs
autobusu
3. Na podstawie biletu sprzedanego w ofercie można odbyć przejazd pociągiem w terminie ważności
biletu, nawet wówczas gdy nie będzie możliwe skorzystanie z przejazdów środkami komunikacji
autobusowej;
V. Usługi dodatkowe
1. Do biletu na odcinku kolejowym podróżny może nabyć bilet zgodnie z cenami zryczałtowanymi, na
przewóz bagażu ręcznego, roweru lub psa
2. Bilety na bagaż i psa w komunikacji autobusowej można nabyć zgodnie z zasadami obowiązującymi
w ArrivaBus. W komunikacji autobusowej nie ma możliwości przewożenia rowerów.
Warunki stosowania
I. Osoba odbywająca przejazd w pociągu i autobusie na podstawie ulgowego biletu jednorazowego
Kolej+Bus zobowiązana jest posiadać ważny dokument poświadczający uprawnienie do korzystania z
danej ulgi zarówno w pociągu jak i autobusie.
II. Nie podlegają zwrotowi należności uiszczone z powodu nie okazani w pociągu biletu choćby później
podróżny bilet ten okazał.
III. Bilet zniszczony uznaje się za nieważny i nie zwraca się zapłaconej należności
IV. Zasady dotyczące nakładania opłat dodatkowych za jazdę komunikacją kolejową i autobusową bez
ważnego biletu lub dokumentu uprawniającego do ulgi oraz ich anulowania, regulują przepisy
obowiązujące odpowiednio w spółce Arriva RP i Arriva BUS.
V. Rozkład jazdy kursów autobusów i kolejowych ArrivaBus dedykowanych dla oferty „Kolej+Bus”
dostępne są na stronie www.arriva.pl
Opłaty
Ceny biletów normalny, ulgowych oraz opłaty zryczałtowane wykazane są w tabelach nr 1-10,
Zmiana umowy przewozu
I. Na przejazd poza relację ograniczoną ofertą należy nabyć nowy bilet zgodnie z indywidualnymi
uprawnieniami, na zasadach określonych w Taryfie przewozowej i regulaminie przewozu Arriva RP
II. Zwrot należności za częściowo lub całkowicie niewykorzystany bilet Kolej + Bus, odbywa się zgodnie
z Regulaminem przewozu Arriva RP w drodze reklamacji przesłanej na adres biura Arriva RP w
Toruniu.
III. Nie podlega zwrotowi należność za bilet Kolej +Bus w przypadku braku możliwości przejazdu
komunikacją autobusową
IV. Przejście do pociągu uruchomionego przez innego przewoźnika nie jest dozwolone z wyjątkiem
pociągów podwykonywanych na rzecz spółki Arriva RP przez Spółkę Przewozy Regionalne,
V. W sprawach nieuregulowanych niniejszymi warunkami taryfowymi oferty, stosuje się odpowiednio
postanowienia Taryfy przewozowej Arriva RP i Regulaminu przewozu Arriva RP.
VI. Zakupienie biletu jest równoznaczne z zapoznaniem się podróżnego z treścią niniejszych warunków
taryfowych i ich akceptacją.
VII. Grupa transportowa Arriva zachowuje prawo do całkowitej likwidacji tej oferty przewozowej bez
podania przyczyny
Cenniki oferty „Kolej+Bus” – bilety jednorazowe
Tabela 1
Cennik biletów jednorazowych komunikacji łączonej do/z Świecia n/Wisłą.
Opłaty za
przejazd
pociągiem/jednora
zowy do Świecia
Terespol Pomorski
N
33%
37%
49%
51%
78%
93%
95%
Parlin
5,40 zł
3,62 zł
3,40 zł
2,75 zł
2,65 zł
1,19 zł
0,38 zł
0,27 zł
Pruszcz Pomorski
6,30 zł
4,22 zł
3,97 zł
3,21 zł
3,09 zł
1,39 zł
0,44 zł
0,32 zł
Kotomierz
8,60 zł
5,76 zł
5,42 zł
4,39 zł
4,21 zł
1,89 zł
0,60 zł
0,43 zł
Maksymilianowo
10,80 zł 7,24 zł
6,80 zł
5,51 zł
5,29 zł
2,38 zł
0,76 zł
0,54 zł
Rynkowo
11,60 zł 7,77 zł
7,31 zł
5,92 zł
5,68 zł
2,55 zł
0,81 zł
0,58 zł
Rynkowo Wiadukt
11,60 zł 7,77 zł
7,31 zł
5,92 zł
5,68 zł
2,55 zł
0,81 zł
0,58 zł
Bydgoszcz
11,00 zł 7,37 zł 6,93 zł 5,61 zł
̽stacje mające w nazwie Bydgoszcz dostępne w ofercie
5,39 zł
2,42 zł
0,77 zł
0,55 zł
̽
Tabela 2
Cennik biletów jednorazowych komunikacji łączonej do/z Chełmna.
Opłaty za przejazd
pociągiem/jednorazowy
do Chełmna
Terespol Pomorski
N
33%
37%
49%
51%
78%
93%
95%
Parlin
6,40 zł
4,29 zł
4,03 zł
3,26 zł
3,14 zł
1,41 zł
0,45 zł
0,32 zł
Pruszcz Pomorski
7,30 zł
4,89 zł
4,60 zł
3,72 zł
3,58 zł
1,61 zł
0,51 zł
0,37 zł
Kotomierz
9,60 zł
6,43 zł
6,05 zł
4,90 zł
4,70 zł
2,11 zł
0,67 zł
0,48 zł
Maksymilianowo
11,80 zł 7,91 zł
7,43 zł
6,02 zł
5,78 zł
2,60 zł
0,83 zł
0,59 zł
Rynkowo
12,60 zł 8,44 zł
7,94 zł
6,43 zł
6,17 zł
2,77 zł
0,88 zł
0,63 zł
Rynkowo Wiadukt
12,60 zł 8,44 zł
7,94 zł
6,43 zł
6,17 zł
2,77 zł
0,88 zł
0,63 zł
Bydgoszcz
12,00 zł 8,04 zł 7,56 zł
̽stacje mające w nazwie Bydgoszcz dostępne w ofercie
6,12 zł
5,88 zł
2,64 zł
0,84 zł
0,60 zł
̽
Tabela 3
Cennik dopłat zryczałtowanych do biletów jednorazowych sprzedanych z ograniczonych
relacją stacji do/z Terespola Pomorskiego.
Tabela 4
Cennik opłat za przejazd komunikacją autobusową wg taryfy normalnej.
Tabela 5
Cennik opłat za przejazd komunikacją autobusową z ulgą ustawową 37%.
Tabela 6
Cennik opłat za przejazd komunikacją autobusową z ulgą ustawową 49%.
Tabela 7
Cennik opłat za przejazd komunikacją autobusową z ulgą ustawową 51%.
Tabela 8
Cennik opłat za przejazd komunikacją autobusową z ulgą ustawową 78%.
Tabela 9
Cennik opłat za przejazd komunikacją autobusową z ulgą ustawową 93%.
Tabela 10
Cennik opłat za przejazd komunikacją autobusową z ulgą ustawową 95%.