SALA A SALA B - xlviii dni chłodnictwa

Transkrypt

SALA A SALA B - xlviii dni chłodnictwa
PROGRAM KONFERENCJI DZIEŃ 1 – 24 listopada 2015 r.
SALA B
SALA A
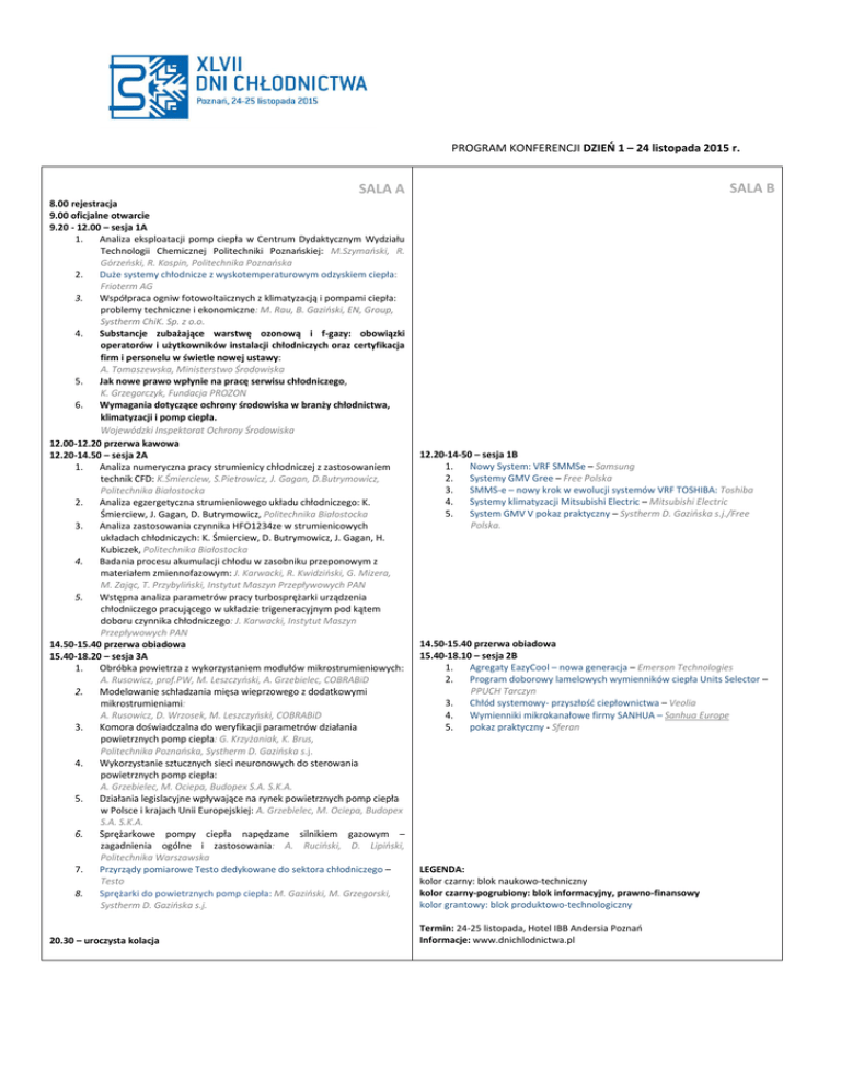
8.00 rejestracja
9.00 oficjalne otwarcie
9.20 - 12.00 – sesja 1A
1.
Analiza eksploatacji pomp ciepła w Centrum Dydaktycznym Wydziału
Technologii Chemicznej Politechniki Poznańskiej: M.Szymański, R.
Górzeński, R. Kospin, Politechnika Poznańska
2.
Duże systemy chłodnicze z wyskotemperaturowym odzyskiem ciepła:
Frioterm AG
3.
Współpraca ogniw fotowoltaicznych z klimatyzacją i pompami ciepła:
problemy techniczne i ekonomiczne: M. Rau, B. Gaziński, EN, Group,
Systherm ChiK. Sp. z o.o.
4.
Substancje zubażające warstwę ozonową i f-gazy: obowiązki
operatorów i użytkowników instalacji chłodniczych oraz certyfikacja
firm i personelu w świetle nowej ustawy:
A. Tomaszewska, Ministerstwo Środowiska
5.
Jak nowe prawo wpłynie na pracę serwisu chłodniczego,
K. Grzegorczyk, Fundacja PROZON
6.
Wymagania dotyczące ochrony środowiska w branży chłodnictwa,
klimatyzacji i pomp ciepła.
Wojewódzki Inspektorat Ochrony Środowiska
12.00-12.20 przerwa kawowa
12.20-14.50 – sesja 2A
1.
Analiza numeryczna pracy strumienicy chłodniczej z zastosowaniem
technik CFD: K.Śmierciew, S.Pietrowicz, J. Gagan, D.Butrymowicz,
Politechnika Białostocka
2.
Analiza egzergetyczna strumieniowego układu chłodniczego: K.
Śmierciew, J. Gagan, D. Butrymowicz, Politechnika Białostocka
3.
Analiza zastosowania czynnika HFO1234ze w strumienicowych
układach chłodniczych: K. Śmierciew, D. Butrymowicz, J. Gagan, H.
Kubiczek, Politechnika Białostocka
4.
Badania procesu akumulacji chłodu w zasobniku przeponowym z
materiałem zmiennofazowym: J. Karwacki, R. Kwidziński, G. Mizera,
M. Zając, T. Przybyliński, Instytut Maszyn Przepływowych PAN
5.
Wstępna analiza parametrów pracy turbosprężarki urządzenia
chłodniczego pracującego w układzie trigeneracyjnym pod kątem
doboru czynnika chłodniczego: J. Karwacki, Instytut Maszyn
Przepływowych PAN
14.50-15.40 przerwa obiadowa
15.40-18.20 – sesja 3A
1.
Obróbka powietrza z wykorzystaniem modułów mikrostrumieniowych:
A. Rusowicz, prof.PW, M. Leszczyński, A. Grzebielec, COBRABiD
2.
Modelowanie schładzania mięsa wieprzowego z dodatkowymi
mikrostrumieniami:
A. Rusowicz, D. Wrzosek, M. Leszczyński, COBRABiD
3.
Komora doświadczalna do weryfikacji parametrów działania
powietrznych pomp ciepła: G. Krzyżaniak, K. Brus,
Politechnika Poznańska, Systherm D. Gazińska s.j.
4.
Wykorzystanie sztucznych sieci neuronowych do sterowania
powietrznych pomp ciepła:
A. Grzebielec, M. Ociepa, Budopex S.A. S.K.A.
5.
Działania legislacyjne wpływające na rynek powietrznych pomp ciepła
w Polsce i krajach Unii Europejskiej: A. Grzebielec, M. Ociepa, Budopex
S.A. S.K.A.
6.
Sprężarkowe pompy ciepła napędzane silnikiem gazowym –
zagadnienia ogólne i zastosowania: A. Ruciński, D. Lipiński,
Politechnika Warszawska
7.
Przyrządy pomiarowe Testo dedykowane do sektora chłodniczego –
Testo
8.
Sprężarki do powietrznych pomp ciepła: M. Gaziński, M. Grzegorski,
Systherm D. Gazińska s.j.
20.30 – uroczysta kolacja
12.20-14-50 – sesja 1B
1.
Nowy System: VRF SMMSe – Samsung
2.
Systemy GMV Gree – Free Polska
3.
SMMS-e – nowy krok w ewolucji systemów VRF TOSHIBA: Toshiba
4.
Systemy klimatyzacji Mitsubishi Electric – Mitsubishi Electric
5.
System GMV V pokaz praktyczny – Systherm D. Gazińska s.j./Free
Polska.
14.50-15.40 przerwa obiadowa
15.40-18.10 – sesja 2B
1.
Agregaty EazyCool – nowa generacja – Emerson Technologies
2.
Program doborowy lamelowych wymienników ciepła Units Selector –
PPUCH Tarczyn
3.
Chłód systemowy- przyszłość ciepłownictwa – Veolia
4.
Wymienniki mikrokanałowe firmy SANHUA – Sanhua Europe
5.
pokaz praktyczny - Sferan
LEGENDA:
kolor czarny: blok naukowo-techniczny
kolor czarny-pogrubiony: blok informacyjny, prawno-finansowy
kolor grantowy: blok produktowo-technologiczny
Termin: 24-25 listopada, Hotel IBB Andersia Poznań
Informacje: www.dnichlodnictwa.pl
PROGRAM KONFERENCJI DZIEŃ 2 – 25 listopada 2015 r.
SALA A
8.40-11.40
1.
Badania modelowego układu chłodniczego w aspekcie ograniczania
śladu węglowego: U. Stęplewska, Instytut Biotechnologii Przemysłu
Rolno-Spożywczego, Łódź
2.
Wybrane problemy oceny projektowej efektywności energetycznej
wysokotemperaturowych powietrznych pomp ciepła: T. Bohdal, H.
Charun, W. Kuczyński, M. Sikora, Politechnika Koszalińska
3.
Dobór czynnika roboczego dla sprężarkowej, wysokotemperaturowej
powietrznej pompy ciepła: H. Charun, T. Bohdal, W. Kuczyński, M.
Sikora, Politechnika Koszalińska
4.
Studium możliwości wykorzystania powietrznych kolektorów
słonecznych do współpracy z powietrznymi pompami ciepła: K.
Dutkowski, P. Piątkowski, M. Sikora, Politechnika Koszalińska
5.
Analiza porównawcza oporów przepływu chłodniczych mieszanin
zeotropowych w minikanałach: T. Bohdal, K. Widomska, M. Sikora,
Politechnika Koszalińska
6.
Model propagacji niestabilności temperaturowych podczas skraplania
czynnika chłodniczego r404a w minikanałach rurowych: H. Charun,
T.Bohdal, W. Kuczyński, Politechnika Koszalińska
7.
Analiza numeryczna zastosowania modułu eżektorowego w
instalacjach chłodniczych supermarketów na naturalny czynnik R744,
J. Smołka, M.Palacz, Michał Haida, J.Bodys, A.Fic, Z.Buliński, A.Nowak,
K.Banasiak, A.Hafner, Politechnika Śląska
8.
Analiza eksperymentalna układu sprężania pary wyposażonego w
eżektorowy moduł odzyskiwania pracy na naturalny czynnik R744,
M.Haida, K.Banasiak, J.Smołka, A.Hafner, Politechnika Śląska
11.40-12.00 przerwa kawowa
12.00-15.00
1.
Wsparcie WFOŚiGW w zakresie OZE i ochrony środowiska.
Wojewódzki Fundusz Ochrony Środowiska i Gospodarki Wodnej w
Poznaniu
2.
Dotacje z ZUS na BHP na rozwój, modyfikację i usprawnienie stanu
technicznego maszyn, urządzeń oraz systemów i środków
ochronnych. Zakład Ubezpieczeń Społecznych
3.
Certyfikacja personelu i firm w zakresie OZE ze szczególnym
uwzględnieniem pomp ciepła. Urząd Dozoru Technicznego
4.
Analiza porównawcza wybranych ziębników w obiegu pompy ciepła /
Nowy kierunek studiów "chłodnictwo i klimatyzacja":
T. Łokietek, Zachodniopomorski Uniwersytet Technologiczny w
Szczecinie,
5.
Odzysk ciepła w systemach VRF FUJITSU – kiedy warto stosować:
Klimatherm
6.
Nowe wyzwania – agregaty chłodnicze BLUE BOX serii LGW z
ekologicznym czynnikiem HFO typu R1234ze: Swegon
7.
Techniczne uwarunkowania budowy amoniakalnych,
energooszczędnych, przemysłowych instalacji chłodniczych: Coldex
15.00-15.45 przerwa obiadowa+
15.45-17.45
1.
Ostberg - wentylatory kanałowe, dachowe oraz centrale wentylacyne:
Ostberg
2.
Zastosowanie silników EC w urządzeniach wentylacyjnych: Rosenberg
3.
temat w przygotowaniu: LG
4.
temat w przygotowaniu: Juwent
17.45 - Gala wręczenia nagród Plebiscytu Produkt, Firma i Reklama Roku HVACR
2015
SALA B
8.40-11.40
1.
2.
3.
4.
5.
6.
Nowe rozwiązania w urządzeniach do klimatyzacji górniczej produkcji
WUCh „PZL-Dębica” S.A.: PZL Dębica
Metody równoważenia hydraulicznego układów chłodniczych i
klimatyzacyjnych: Honeywell
Modernizacja wentylatorów wymienników ciepła: Zhiel Abegg
Rozwój technologii regulacyjnych zaworów kulowych na potrzeby
chłodnictwa – Belimo
pokaz praktyczny: Rosenberg
pokaz praktyczny: Blaupunkt
LEGENDA:
kolor czarny: blok naukowo-techniczny
kolor czarny-pogrubiony: blok informacyjny, prawno-finansowy
kolor grantowy: blok produktowo-technologiczny
Termin: 24-25 listopada, Hotel IBB Andersia Poznań
Informacje: www.dnichlodnictwa.pl