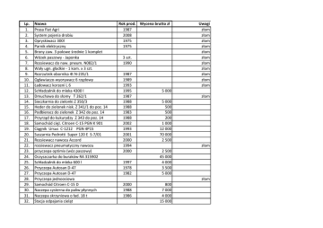
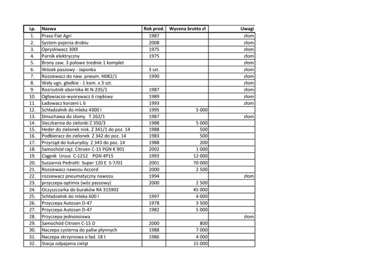
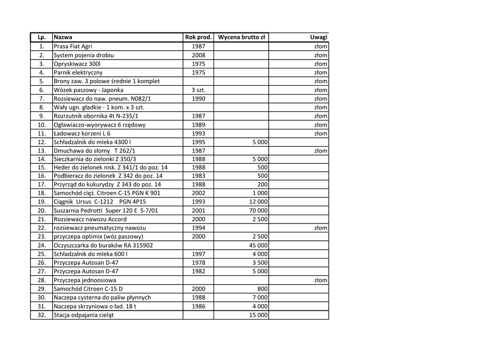
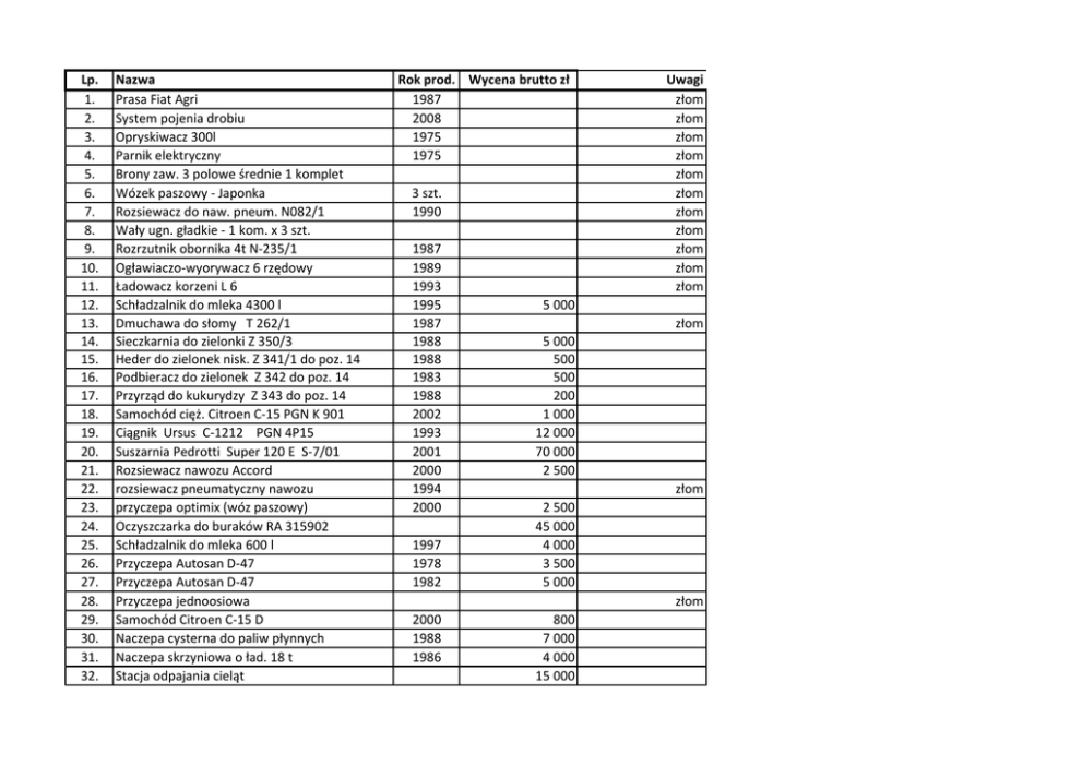
Lp. Nazwa Rok prod. Wycena brutto zł 1. Prasa Fiat Agri 1987 złom

Transkrypt

Lp. Nazwa Rok prod. Wycena brutto zł 1. Prasa Fiat Agri 1987 złom
Lp.
1.
2.
3.
4.
5.
6.
7.
8.
9.
10.
11.
12.
13.
14.
15.
16.
17.
18.
19.
20.
21.
22.
23.
24.
25.
26.
27.
28.
29.
30.
31.
32.
Nazwa
Prasa Fiat Agri
System pojenia drobiu
Opryskiwacz 300l
Parnik elektryczny
Brony zaw. 3 polowe średnie 1 komplet
Wózek paszowy - Japonka
Rozsiewacz do naw. pneum. N082/1
Wały ugn. gładkie - 1 kom. x 3 szt.
Rozrzutnik obornika 4t N-235/1
Ogławiaczo-wyorywacz 6 rzędowy
Ładowacz korzeni L 6
Schładzalnik do mleka 4300 l
Dmuchawa do słomy T 262/1
Sieczkarnia do zielonki Z 350/3
Heder do zielonek nisk. Z 341/1 do poz. 14
Podbieracz do zielonek Z 342 do poz. 14
Przyrząd do kukurydzy Z 343 do poz. 14
Samochód cięż. Citroen C-15 PGN K 901
Ciągnik Ursus C-1212 PGN 4P15
Suszarnia Pedrotti Super 120 E S-7/01
Rozsiewacz nawozu Accord
rozsiewacz pneumatyczny nawozu
przyczepa optimix (wóz paszowy)
Oczyszczarka do buraków RA 315902
Schładzalnik do mleka 600 l
Przyczepa Autosan D-47
Przyczepa Autosan D-47
Przyczepa jednoosiowa
Samochód Citroen C-15 D
Naczepa cysterna do paliw płynnych
Naczepa skrzyniowa o ład. 18 t
Stacja odpajania cieląt
Rok prod. Wycena brutto zł
1987
2008
1975
1975
3 szt.
1990
1987
1989
1993
1995
1987
1988
1988
1983
1988
2002
1993
2001
2000
1994
2000
1997
1978
1982
Uwagi
złom
złom
złom
złom
złom
złom
złom
złom
złom
złom
złom
5 000
złom
5 000
500
500
200
1 000
12 000
70 000
2 500
złom
2 500
45 000
4 000
3 500
5 000
złom
2000
1988
1986
800
7 000
4 000
15 000
33.
Agregat uprawowy
złom