Zmiana SIWZ - PWSZ Płock

Transkrypt

Zmiana SIWZ - PWSZ Płock
DA/MK/-232-45/12
Płock,dn.16.11.2012r.
Wykonawcy
Dotyczy:
Dotyczy: postępowania
postępowania
oprogramowaniem.
przetargowego
przetargowego
na:
Dostawę
Dostawę
części
komputerowych
wraz
z
Zamawiający – Państwowa Wyższa Szkoła Zawodowa w Płocku na podstawie art. 38 ust. 4
ustawy z dnia 29 stycznia 2004 r. Prawo zamówień publicznych informuje o zmianie treści
Specyfikacji Istotnych Warunków Zamówienia w następujący sposób:
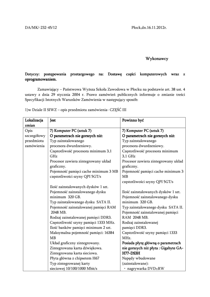
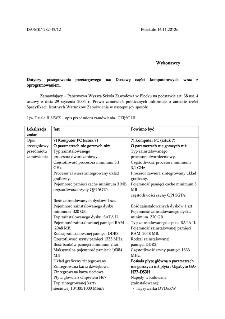
1)w Dziale II SIWZ – opis przedmiotu zamówienia- CZĘŚĆ III
Lokalizacja
zmian
Opis
szczegółowy
przedmiotu
zamówienia
Jest
Powinno być
7) Komputer PC (sztuk 7)
O parametrach nie gorszych niż:
Typ zainstalowanego
procesora dwurdzeniowy.
Częstotliwość procesora minimum 3,1
GHz
Procesor zawiera zintegrowany układ
graficzny.
Pojemność pamięci cache minimum 3 MB
częstotliwości szyny QPI 5GT/s
7) Komputer PC (sztuk 7)
O parametrach nie gorszych niż:
Typ zainstalowanego
procesora dwurdzeniowy.
Częstotliwość procesora minimum
3,1 GHz
Procesor zawiera zintegrowany układ
graficzny.
Pojemność pamięci cache minimum 3
MB
częstotliwości szyny QPI 5GT/s
Ilość zainstalowanych dysków 1 szt.
Pojemność zainstalowanego dysku
minimum 320 GB.
Typ zainstalowanego dysku SATA II.
Pojemność zainstalowanej pamięci RAM
2048 MB.
Rodzaj zainstalowanej pamięci DDR3.
Częstotliwość szyny pamięci 1333 MHz.
Ilość banków pamięci minimum 2 szt.
Maksymalna pojemność pamięci: 16384
MB
Układ graficzny zintegrowany.
Zintegrowana karta dźwiękowa.
Zintegrowana karta sieciowa.
Płyta główna z chipsetem H67
Typ zintegrowanej karty
sieciowej 10/100/1000 Mbit/s
Ilość zainstalowanych dysków 1 szt.
Pojemność zainstalowanego dysku
minimum 320 GB.
Typ zainstalowanego dysku SATA II.
Pojemność zainstalowanej pamięci
RAM 2048 MB.
Rodzaj zainstalowanej
pamięci DDR3.
Częstotliwość szyny pamięci 1333
MHz.
Posiada płytę główną o parametrach
nie gorszych niż płyta : Gigabyte GAGAH77H77-DS3H
Napędy wbudowane
(zainstalowane):
• nagrywarka DVD±RW
Złącza PCI-E (liczba slotów)
• PCI-Express x16 (2 sztuki)
•
PCI-Express x1 (2 sztuki)
Porty zewnętrzne:
• 2x PS/2
•
Audio
•
1x RJ45
•
1x VGA
•
14x USB
•
1x DVI-D
• napęd dyskietek FDD (opcjonalnie)
Moc zasilacza minimum 450 Wat
System operacyjny Microsoft
Windows 7 Professional PL
Port USB umieszczony w połowie
panelu przedniego obudowy.
Dołączone wyposażenie •
klawiatura • mysz
Napędy wbudowane (zainstalowane):
• nagrywarka DVD±RW
• napęd dyskietek FDD (opcjonalnie)
Moc zasilacza minimum 450 Wat
System operacyjny Microsoft Windows 7
Professional PL
Port USB umieszczony w połowie panelu
przedniego obudowy.
Dołączone wyposażenie • klawiatura •
mysz
2)w Rozdziale X pkt 7 SIWZ oraz Rozdziale XI pkt 1,2 poprzez zmianę daty składania i otwarcia
ofert z 20 listopada 2012r. na 22 listopada 2012r.