Wniosek o wydanie zezwolenia na opróżniane

Transkrypt

Wniosek o wydanie zezwolenia na opróżniane
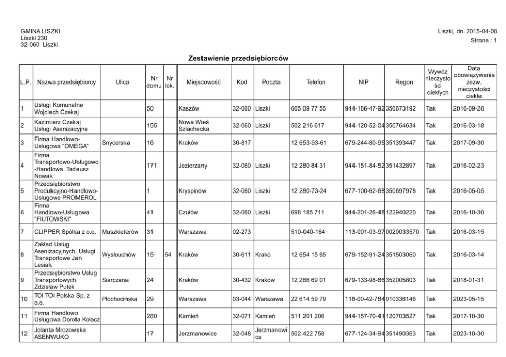
GMINA LISZKI
Liszki 230
32-060 Liszki
Liszki, dn. 2015-04-08
Strona : 1
Zestawienie przedsiębiorców
L.P.
Nazwa przedsiębiorcy
Ulica
Nr
Nr
domu lok.
Miejscowość
Kod
Poczta
Telefon
NIP
Regon
Data
Wywóz
obowiązywania
nieczysto
zezw.
ści
nieczystości
ciekłych
ciekłe
1
Usługi Komunalne
Wojciech Czekaj
50
Kaszów
32-060 Liszki
665 09 77 55
944-186-47-92 356673192
Tak
2016-09-28
2
Kazimierz Czekaj
Usługi Asenizacyjne
155
Nowa Wieś
Szlachecka
32-060 Liszki
502 216 617
944-120-52-04 350764634
Tak
2016-03-18
3
Firma HandlowoUsługowa "OMEGA"
16
Kraków
30-817
12 653-93-61
679-244-80-95 351393447
Tak
2017-09-30
171
Jeziorzany
32-060 Liszki
12 280 84 31
944-151-84-52 351432897
Tak
2016-02-23
1
Kryspinów
32-060 Liszki
12 280-73-24
677-100-62-68 350697978
Tak
2016-05-05
41
Czułów
32-060 Liszki
698 185 711
944-201-26-48 122940220
Tak
2016-10-30
31
Warszawa
02-273
510-040-164
113-001-03-97 0020033570
Tak
2016-03-15
Kraków
30-611 Krakó
12 654 15 65
679-152-91-24 351503060
Tak
2016-03-14
24
Kraków
30-432 Kraków
12 266 69 01
679-133-98-66 352005803
Tak
2018-01-31
29
Warszawa
03-044 Warszawa
22 614 59 79
118-00-42-784 010336146
Tak
2023-05-15
511 201 206
944-157-70-41 120703527
Tak
2017-10-30
Jerzmanowi
502 422 758
ce
677-124-34-94 351490363
Tak
2023-10-30
4
5
6
7
8
9
Snycerska
Firma
Transportowo-Usługowo
-Handlowa Tadeusz
Nowak
Przedsiębiorstwo
Produkcyjno-HandlowoUsługowe PROMEROL
Firma
Handlowo-Usługowa
"FIUTOWSKI"
CLIPPER Spólka z o.o. Muszkieterów
Zakład Usług
Asenizacyjnych Usługi
Wysłouchów
Transportowe Jan
Lesiak
Przedsiębiorstwo Usług
Transportowych
Siarczana
Zdzisław Putek
15
54
10
TOI TOI Polska Sp. z
o.o.
11
Firma Handlowo
Usługowa Dorota Kołacz
280
Kamień
32-071 Kamień
12
Jolanta Mrozowska
ASENWUKO
17
Jerzmanowice
32-048
Płochocińska
Strona : 2
Zestawienie przedsiębiorców
13
Jacek Haber FHU
Suma rekordów :13
325
Kaszów
32-060 Liszki
606 722 680
944-137-87-78 351516683
Tak
2015-12-31