Variolink® II Variolink® II

Transkrypt

Variolink® II Variolink® II
Variolink® II
•
Variolink® II
Działania niepożądane
Ogólne działania niepożądane materiału Variolink II
dotychczas nie są poznane. W rzadkich przypadkach
mogą wystąpić objawy nadwrażliwości.
W głębokich ubytkach materiał Variolink II może wywołać podrażnienie miazgi, o ile nie zostanie ona zabezpieczona materiałem podkładowym.
Instrukcja stosowania
Opis materiału
Cement adhezyjny na bazie materiałów złożonych, o
podwójnym mechanizmie polimeryzacji, przeznaczony
do cementowania uzupełnień protetycznych, wykonanych z materiałów ceramicznych i złożonych.
Cement adhezyjny na bazie materiałów złożonych,
przeznaczony do cementowania uzupełnień protetycznych, wykonanych z materiałów ceramicznych i złożonych.
Materiał Variolink II może być również stosowany jako
materiał wyłącznie światłoutwardzalny (np. w przypadku cementowaniu licówek). Należy wtedy użyć jedynie
materiału Variolink II Base.
Skład materiału Variolink II został opracowany zgodnie z zasadami „zaawansowanej technologii materiałów złożonych” zastosowanej po raz pierwszy przy
produkcji materiału Tetric Ceram. Szczególny rodzaj
wypełniaczy, stosowanych w tej technologii, nadaje
materiałowi Variolink II wyjątkowe właściwości fizyczne, dużą wytrzymałość na ścieranie, doskonałą widoczność w promieniach rentgenowskich i wyróżniające właściwości optyczne. Ponadto z materiału w sposób ciągły uwalniają się jony fluorkowe.
Materiał Variolink II dostępny jest w sześciu podstawowych kolorach, dwóch kolorach katalizatora, (oraz
w trzech różnych konsystencjach). Istnieje zatem możliwość wyboru najbardziej właściwej postaci materiału
Variolink II, w zależności od sytuacji klinicznej.
Kolory
Variolink II Base jest dostępny w następujących kolorach:
Chromascop
.
Variolink II Base:
Bleach XL
Transparentny
Biały
Biały opakerowy
Żółty (uniwersalny)
Brązowy
Variolink Catalyst
duża/ mała lepkość
Żółty uniwersalny
Transparentny
Variolink Catalyst
(Ultra) o lepkości
przystosowanej do
pracy z ultradźwiękami
Nadwrażliwość pacjenta na jakikolwiek składnik
materiału Variolink II.
010
T
110
210
340
A-D
A1
A3
A4
Interakcje
Substancje fenolowe (np. eugenol) hamują polimeryzację materiału Variolink II. Dlatego należy unikać
stosowania materiałów zawierających te związki.
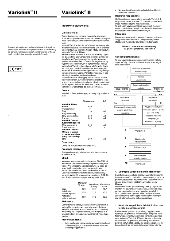
Schemat cementowania adhezyjnego
za pomocą materiału Variolink II
Sposób postępowania
W celu uzyskania szczegółowych informacji, należy
zapoznać się z instrukcjami stosowania poszczególnych materiałów.
1
tymczasowego
2
Kontrola
uzupełnienia
3
Zapewnienie idealnej
suchości
Uzupełnienie
Tkanki zęba
4a
4b
Wypłukanie,
Wypłukanie,
osuszenie
osuszenie
Przygotowanie uzupełnienia
Przygotowanie ubytku:
zgodnie z instrukcją
wytrawienie szkliwa i zębiny
5a
5b
(np. Total Etch),
producenta
Nałożenie materiału
łączącego (np.
Excite DSC, Syntac).
A3
-
210
T
A3
210
6
Variolink II
7
Osadzenie
uzupełnienia
8
Polimeryzacja
9
Opracowanie
i wypolerowanie
Czas pracy
Około 3,5 minuty w temperaturze 37°C.
Proporcje mieszania
Pastę podstawową należy mieszać z katalizatorem
w stosunku 1:1.
Skład
Monomer matrycy organicznej zawiera: Bis-GMA, dimetakrylan uretanu i dimetakrylan glikolu trójetylenowego. Wypełniaczami nieorganicznymi są: szkło barowe, trójfluorek iterbu, szkło barowo-glinowofluorokrzemowe i mieszanina tlenków sferycznych.
Dodatkowe składniki to: katalizatory, stabilizatory i
barwniki. Wielkość cząsteczek wypełniacza 0,04-3,0
µm. Średnia wielkość cząsteczek wynosi 0.7µm.
Monomer
% wag.
Baza
Katalizator
o małej lepkości
Katalizator
o dużej lepkości
Usunięcie uzupełnienia
26,3
Wypełniacz Wypełniacz
% wag.
% obj.
73,4
46,7
27,9
71,2
43,6
22,0
77,2
52,0
10
Fluoryzacja
1. Usunięcie uzupełnienia tymczasowego
Ewentualne pozostałości czasowego materiału cementującego usunąć z ubytku lub z opracowanego zęba za
pomocą szczoteczki do polerowania i pasty nie zawierającej oleju i fluoru. Następnie wypłukać wodą.
Uwaga:
Do cementowania tymczasowego należy używać cementów nie zawierających eugenolu, ponieważ może
on hamować polimeryzację materiału Variolink II.
W przypadku wykonywania wkładów lub nakładów,
zabezpieczenie tkanek zęba materiałem Systemp®.
inlay/Systemp®. onlay jest wystarczające.
Wskazania
Cementowanie adhezyjne uzupełnień wykonanych z
materiałów ceramicznych oraz złożonych (licówek,
wkładów, nakładów, koron i mostów bez podbudowy
metalowej, np. Targis®/Vectris®, IPS Empress ® 2
oraz odbudowy zrębu zęba), wykonanych metodą pośrednią.
Przeciwwskazania
•
Brak możliwości zapewnienia wymaganej suchości
pola operacyjnego oraz przestrzegania zalecanej
techniki postępowania.
2. Kontrola uzupełnienia i dobór koloru ma-
teriału do cementowania
Pomocna w uzyskaniu optymalnego wyglądu estetycznego uzupełnienia protetycznego jest przed ostatecznym zacementowaniem jego kontrola za pomocą
past próbnych Variolink II Try-In . W celu uniknięcia
uszkodzenia uzupełnienia, nie należy kontrolować
zwarcia na tym etapie pracy. W razie konieczności dokonać korekty za pomocą drobnoziarnistego wiertła
diamentowego przy średniej prędkości obrotów, wywierając delikatny nacisk.
Następnie powierzchnię uzupełnienia wypolerować.
3.
Odizolowanie pola zabiegowego
Technika adhezyjnego cementowania za pomocą materiałów złożonych wymaga zapewnienia bezwzględnej suchości pola operacyjnego. Dlatego zaleca się
stosowanie koferdamu.
Przygotowanie powierzchni
uzupełnienia
Uwaga:
W celu ułatwienia pracy lekarzowi, etapy pracy oznaczone w instrukcji stosowania punktami 4a i 5a mogą
być wykonane przez wykwalifikowaną asystentkę stomatologiczną
4a. Oczyszczenie
Pastę próbną spłukać wodą i uzupełnienie osuszyć
powietrzem bez wilgoci i oleju.
5a. Wstępne przygotowanie uzupełnienia
Następnie uzupełnienie protetyczne należy przygotować zgodnie z instrukcją producenta.
Przygotowanie ubytku/tkanek zęba
4b. Oczyszczenie
Ubytek lub opracowaną powierzchnię zęba oczyścić
strumieniem wody i osuszyć.
5b. Przygotowanie ubytku
Na przygotowaną powierzchnię szkliwa nałożyć 37%
kwas fosforowy w postaci żelu (np. Total Etch) i rozprowadzić go przy pomocy pędzelka lub końcówki
aplikacyjnej. Wytrawiacz pozostawić przez 15-30 sekund na powierzchni szkliwa i 10-15 sekund na powierzchni zębiny.
Następnie spłukać kwas silnym strumieniem wody
przez co najmniej 5 sekund i osuszyć , przy czym powierzchnia tkanek zęba powinna pozostać lekko wilgotna. Nadmiar wody usunąć można:
a) powietrzem z dmuchawki,
b) za pomocą końcówki ssaka przyłożonej bezpośrednio do powierzchni ubytku na 1-2 sekundy,
c) suchym aplikatorem lub gąbeczką.
- Nie przesuszać zębiny!
- Wytrawione szkliwo powinno mieć kolor kredowo-bia
ły. Jeśli tak nie jest, lub w przypadku gdy szkliwo
uległo zanieczyszczeniu śliną, czynność wytrawiania
należy powtórzyć.
- Następnie należy nałożyć materiał łączący ze
szkliwem i zębiną (patrz instrukcje stosowania mate
riałów łączących Excite DSC, Syntac).
Uwaga:
Założenie pasków do przestrzeni międzyzębowych
zapobiega przypadkowemu wytrawieniu sąsiednich
zębów i ułatwia usunięcie nadmiarów materiału
Variolink II. Paski należy unieruchomić przy pomocy
klinów międzyzębowych.
6. Przygotowanie materiału Variolink II
Na bloczku do mieszania starannie zmieszać szpatułką bazę z katalizatorem w odpowiednim kolorze oraz
odpowiedniej lepkości, w stosunku 1:1. Czas mieszania: 10 sekund, czas pracy materiałem Variolink II w
temperaturze 37°C wynosi około 3,5 minuty.
Uwagi
•
•
•
•
Variolink II jest materiałem zarówno światło- jak
i chemoutwardzalnym. Z tego powodu jest bardzo
wrażliwy na otaczające światło. Powinien być mieszany bezpośrednio przed użyciem, w czasie jego
mieszania i nakładania należy unikać silnego
oświetlenia pola pracy.
W wyniku zmieszania bazy w kolorach: bleach XL
010, białym (110/A1), białym opakerowym i brązo
wym (340/A4) z katalizatorem, uzyskuje się barwę
pośrednią.
Zbyt intensywne mieszanie może spowodować
zamknięcie się w materiale pęcherzyków powietrza. Może to opóźnić polimeryzację i osłabić właściwości mechaniczne cementu.
Nadmiar materiału należy usunąć we właściwym
czasie, szczególnie z miejsc trudno dostępnych
(powierzchnie styczne i brzegi dodziąsłowe). Usunięcie nadmiarów spolimeryzowanego cementu
narzędziami obrotowymi (wiertła diamentowe,
krążki ścierne, ostrza Proxoshape) jest bardzo
trudne i czasochłonne.
Zalecenia
Katalizator o małej lepkości zalecany jest do osadzania koron całkowitych i częściowych. Do osadzania
wkładów, nakładów oraz licówek zalecany jest katalizator o dużej lepkości. Wybór odpowiedniej lepkości
katalizatora należy do lekarza stomatologa.
W celu zamaskowania przebarwionych tkanek zęba
zaleca się użycie bazy w kolorze białym opakerowym,
gdyż może ona maskować przebarwienia.
Ze względu na małą grubość i dużą przezierność licówek, dopuszcza się ich cementowanie materiałem
Variolink II, w wersji światłoutwardzalnej. W takim
przypadku stosuje się tylko bazę. W następstwie rezygnacji z użycia katalizatora, nie ma możliwości wyboru
konsystencji. W celu precyzyjnego nałożenia materiału
Variolink II na powierzchnię uzupełnienia protetycznego, zaleca się stosowanie końcówek aplikacyjnych,
zakładanych na strzykawkę.
7. Osadzenie uzupełnienia protetycznego
a) Wkłady i nakłady: Przygotowany materiał
Variolink II, nanieść pędzelkiem lub nakładaczem
do ubytku oraz na wewnętrzną powierzchnię uzupełnienia, szczególnie w przypadku wklęsłości, w
celu uniknięcia zamykania się pęcherzyków powietrza.
b) Korony i mosty: Przygotowany materiał Variolink
II nanieść na wewnętrzną powierzchnię uzupełnienia i o ile jest to konieczne na powierzchnię zęba
filarowego (w celu uniknięcia zamykania pęcherzyków powietrza).
c) Licówki: Przygotowany materiał Variolink II na
nieść pędzelkiem lub nakładaczem na opracowany
ząb i o ile jest to konieczne, na wewnętrzną powierzchnię licówki. W celu precyzyjnego nałożenia
materiału Variolink II na powierzchnię uzupełnienia protetycznego, zaleca się stosowanie koń
cówek aplikacyjnych, zakładanych na strzykawkę.
Uwagi
•
•
•
W przestrzeniach międzyzębowych, można stosować paski do polerowania i wygładzania.
Sprawdzić okluzję i artykulację, przeprowadzić korektę.
Brzegi uzupełnienia opracować i wypolerować silikonowymi gumkami (np. Politip-F/P, Astropol) lub
krążkami ściernymi.
10. Fluoryzacja miejscowa
Po ostatecznym opracowaniu uzupełnienia, należy zastosować lakier Fluor Protector.
Ostrzeżenie
Należy unikać kontaktu materiału Variolink II ze
skórą, błoną śluzową i oczami. Nie spolimeryzowany materiał może działać drażniąco i powodować reakcję nadwrażliwości na metakrylany. Rękawiczki medyczne nie chronią przed
uczulającym działaniem metakrylanów.
Warunki przechowywania
•
•
•
•
Materiału Variolink II nie należy stosować po upływie okresu ważności.
Katalizator należy przechowywać w temperaturze
2-8°C.
Uwaga: strzykawki należy zamykać natychmiast
po użyciu, gdyż materiał Variolink II pod wpływem
światła może ulegać przedwczesnej polimeryzacji.
Data ważności jest umieszczona na strzykawkach
oraz na opakowaniu.
Materiał przechowywać w miejscu
niedostępnym dla dzieci!
•
Uzupełnienie umieścić w ubytku lub na opracowanym zębie, wywierając niewielki nacisk. Nadmiar
cementu adhezyjnego usunąć pędzelkiem lub innym odpowiednim narzędziem.
• Należy zwrócić uwagę na usunięcie we właściwym
czasie nadmiarów materiału z miejsc trudno dostępnych (powierzchnie styczne i brzegi dodziąsłowe).
• Następnie wzmocnić nacisk na kilka sekund i w celu ułatwienia usuwania nadmiarów materiału krótko
wstępnie polimeryzować w okolicy brzegu uzupełnienia protetycznego, w miejscu łatwo dostępnym i
niezbyt rozległym, punktowo przez 1-2 sekundy.
Ważne:
Na tym etapie postępowania nie należy polimeryzować
materiału w trudno dostępnych miejscach takich jak
powierzchnie styczne lub obszar przydziąsłowy.
• Po wstępnym umocowaniu zwolnić nacisk i usunąć
nakładaczem lub innym narzędziem nadmiar materiału Variolink II, uważając by nie usunąć go
z brzegów uzupełnienia.
8. Polimeryzacja
Variolink II polimeryzować kolejno w poszczególnych
odcinkach uzupełnienia, każdy przez 40 sekund. Polimeryzację rozpocząć od przestrzeni międzyzębowych,
naświetlając materiał przez przezroczyste kliny.
Uwagi dotyczące inhibicyjnej roli tlenu
Variolink II, jak każdy materiał złożony, podlega inhibicyjnemu działaniu tlenu. Oznacza to, że jego powierzchniowa warstwa, o grubości około 50 μm, nie
ulega polimeryzacji podczas naświetlania, ponieważ
pozostaje w kontakcie z tlenem atmosferycznym. Problem ten można rozwiązać w następujący sposób:
1)
Nie usuwać niewielkich nadmiarów materiału
Variolink II przed polimeryzacją. W tym przypadku warstwa inhibicyjna powstaje na powierzchni
nadmiaru materiału. Nadmiar ten może być łatwo usunięty po polimeryzacji podczas opracowywania brzegów zacementowanego uzupełnienia.
2) Po usunięciu nadmiarów brzegi uzupełnienia pokryć żelem glicerynowym (np. Liquid Strip) jeszcze przed polimeryzacją materiału Variolink II.
Żel glicerynowy skutecznie zapobiega inhibicyjnemu wpływowi tlenu.
9. Końcowe opracowanie i polerowanie
•
Nadmiar spolimeryzowanego materiału usunąć
drobnoziarnistym wiertłem z nasypem diamentowym (o grubości nasypu 25 μm) lub krążkami
ściernymi, najlepiej pod kontrolą lupy.
Materiał przeznaczony tylko do użytku
w stomatologii!
Data opracowania informacji: Maj 2003
Producent:
Ivoclar Vivadent AG
FL-9494 Schaan/Liechtenstein
Materiał został przeznaczony wyłącznie do stosowania w stomatologii. Przy
jego stosowaniu należy ściśle przestrzegać instrukcji użycia. Nie ponosi się
odpowiedzialności za szkody powstałe na skutek nieprzestrzegania instrukcji
lub stosowania niezgodnie z podanymi w instrukcji wskazaniami. Użytkownik
odpowiada za testowanie produktu dla swoich własnych celów i za jego użycie w każdym innym przypadku nie wyszczególnionym w instrukcji. Opis
produktu i jego skład nie stanowią gwarancji i nie są wiążące.
Przedstawiciel w Polsce:
Ivoclar-Vivadent Polska Sp. z o.o.
Al. Jana Pawła II 78
00-175 Warszawa
Infolinia: 0 22 817 11 35