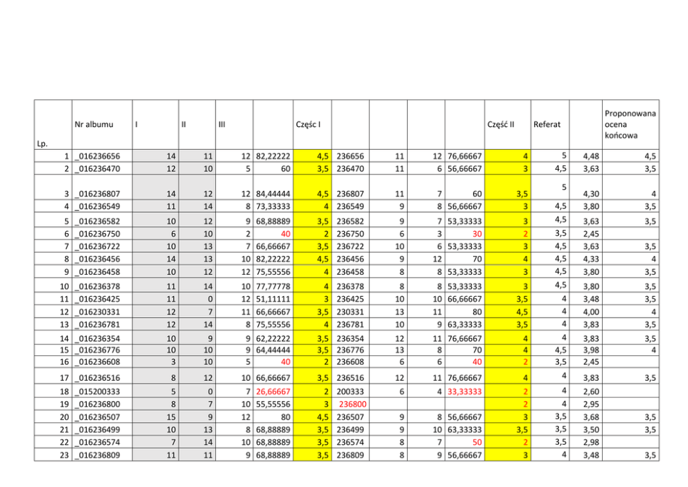
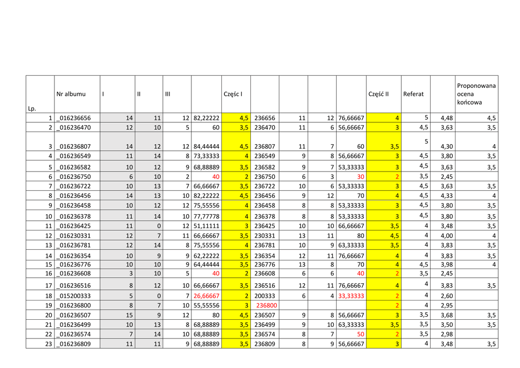
Lp. Nr albumu I II III Częśc I Część II Referat Proponowana ocena

Transkrypt

Lp. Nr albumu I II III Częśc I Część II Referat Proponowana ocena
Nr albumu
I
II
III
Częśc I
Część II
Proponowana
ocena
końcowa
Referat
Lp.
5
4,5
1 _016236656
2 _016236470
14
12
11
10
12 82,22222
5
60
4,5 236656
3,5 236470
11
11
12 76,66667
6 56,66667
4
3
3 _016236807
4 _016236549
14
11
12
14
12 84,44444
8 73,33333
4,5 236807
4 236549
11
9
7
60
8 56,66667
3,5
3
5
6
7
8
9
_016236582
_016236750
_016236722
_016236456
_016236458
10
6
10
14
10
12
10
13
13
12
9
2
7
10
12
68,88889
40
66,66667
82,22222
75,55556
3,5
2
3,5
4,5
4
236582
236750
236722
236456
236458
9
6
10
9
8
7 53,33333
3
30
6 53,33333
12
70
8 53,33333
3
2
3
4
3
4,5
10
11
12
13
_016236378
_016236425
_016230331
_016236781
11
11
12
12
14
0
7
14
10
12
11
8
77,77778
51,11111
66,66667
75,55556
4
3
3,5
4
236378
236425
230331
236781
8
10
13
10
8 53,33333
10 66,66667
11
80
9 63,33333
3
3,5
4,5
3,5
4,5
14 _016236354
15 _016236776
16 _016236608
10
10
3
9
10
10
3,5 236354
3,5 236776
2 236608
12
13
6
11 76,66667
8
70
6
40
4
4
2
17
18
19
20
21
22
23
8
5
8
15
10
7
11
12
0
7
9
13
14
11
3,5
2
3
4,5
3,5
3,5
3,5
12
6
11 76,66667
4 33,33333
9
9
8
8
8 56,66667
10 63,33333
7
50
9 56,66667
4
2
2
3
3,5
2
3
_016236516
_015200333
_016236800
_016236507
_016236499
_016236574
_016236809
9 62,22222
9 64,44444
5
40
10
7
10
12
8
10
9
66,66667
26,66667
55,55556
80
68,88889
68,88889
68,88889
236516
200333
236800
236507
236499
236574
236809
5
4,5
3,5
4,5
4,5
4,5
4
4
4
4
4,5
3,5
4
4
4
3,5
3,5
3,5
4
4,48
3,63
4,5
3,5
4,30
3,80
4
3,5
3,63
2,45
3,63
4,33
3,80
3,5
3,80
3,48
4,00
3,83
3,5
3,5
4
3,5
3,83
3,98
2,45
3,5
4
3,83
2,60
2,95
3,68
3,50
2,98
3,48
3,5
3,5
4
3,5
3,5
3,5
3,5
3,5
2
3
2
4,5
4
4
2
3,98
3,13
3,48
2,00
3,5
2
43,33333
43,33333
53,33333
66,66667
80
53,33333
2
2
3
3,5
4,5
3
4
3,48
3,13
3,65
3,83
4,00
3,48
3,5
3,5
4
3,5
63,33333
63,33333
63,33333
40
50
46,66667
60
60
63,33333
66,66667
50
53,33333
46,66667
40
56,66667
53,33333
73,33333
60
3,5
3,5
3,5
2
2
2
3,5
3,5
3,5
3,5
2
3
2
2
3
3
4
3,5
7 56,66667
3
24
25
26
27
_016203686
_016236390
_016236559
_016212175
12
7
12
0
10
12
9
0
13 77,77778
10 64,44444
8 64,44444
0
0
4 203686
3,5 236390
3,5 236559
2 212175
12
6
10
28
29
30
31
32
33
_016236474
_016236537
_016236819
_016236703
_016236518
_016235066
13
7
12
13
11
10
12
10
10
10
9
11
12
12
10
10
11
8
82,22222
64,44444
71,11111
73,33333
68,88889
64,44444
4,5
3,5
4
4
3,5
3,5
236474
236537
236819
236703
236518
235066
6
7
12
12
13
10
7
6
4
8
11
6
34
35
36
37
38
39
40
41
42
43
44
45
46
47
48
49
50
51
_016236759
_016236561
_016236446
_016233990
_016236479
_016236415
_016236677
_016236397
_016236536
_016236752
_016236584
_016236481
_016236613
_016236716
_016236435
_016236640
_016236770
_016236482
10
12
10
11
7
9
11
13
0
15
12
10
9
13
9
14
12
11
7
10
0
12
10
9
8
13
11
11
11
13
8
12
9
12
10
11
6
8
12
7
4
10
10
8
13
12
10
9
8
8
9
13
9
9
51,11111
66,66667
48,88889
66,66667
46,66667
62,22222
64,44444
75,55556
53,33333
84,44444
73,33333
71,11111
55,55556
73,33333
60
86,66667
68,88889
68,88889
3
3,5
3
3,5
2
3,5
3,5
4
3
4,5
4
4
3
4
3,5
4,5
3,5
3,5
236759
236561
236446
233990
236479
236415
236677
236397
236536
236752
236584
236481
236613
236716
236435
236640
236770
236482
12
10
11
6
9
10
11
8
12
11
4
8
8
7
11
9
10
11
7
9
8
6
6
4
7
10
7
9
11
8
6
5
6
7
12
7
52 _016236827
10
9
3,5 236827
10
10 64,44444
8 66,66667
6
40
7 56,66667
4
4
4
4
4
4
4
3,5
4
4
4
4
4,5
4
4
4
4
3
3,5
4
3,5
4,5
4,5
3,5
4
3,48
3,65
3,33
3,13
2,60
3,13
3,65
3,98
3,48
4,00
3,30
3,65
2,65
3,15
3,48
3,68
3,98
3,80
3,5
3,5
3
3,33
3
3,5
4
3,5
4
3,5
3,5
3,5
4
3,5
53
54
55
56
_016236769
_016236798
_016236756
_016236407
11
7
9
0
12
9
8
0
7 66,66667
7 51,11111
7 53,33333
0
0
3,5 236769
3 236798
3 236756
2 236407
3
10
9
5 26,66667
7 56,66667
5 46,66667
2
3
2
2
57 _016236359
10
12
10 71,11111
4 236359
8
6 46,66667
2
58
59
60
61
62
63
64
65
66
67
68
69
70
71
72
73
74
75
_016236704
_016236674
_016217097
_016234186
_016236520
_016236434
_016236631
_016236513
_016236440
_016236727
_016236615
_016236700
_016236391
_016236829
_016234095
_016232874
_015228329
_016234335
11
10
5
8
12
5
11
5
11
10
9
9
8
5
12
11
4
12
13
0
0
13
8
8
10
11
9
13
11
11
11
0
13
12
0
10
10
6
11
10
0
9
13
11
8
9
8
9
5
7
9
9
7
9
75,55556
35,55556
35,55556
68,88889
44,44444
48,88889
75,55556
60
62,22222
71,11111
62,22222
64,44444
53,33333
26,66667
75,55556
71,11111
24,44444
68,88889
4
2
2
3,5
2
2
4
3,5
3,5
4
3,5
3,5
3
2
4
4
2
3,5
236704
236674
217097
234186
236520
236434
236631
236513
236440
236727
236615
236700
236391
236829
234095
232874
228329
234335
10
9
8
10
11
70
4 43,33333
7
50
7 56,66667
12
6
10
6
9
8
12
6
8
7
11
9
8
5
5
8
8
6
3
5
7
11
70
46,66667
50
36,66667
56,66667
53,33333
60
30
43,33333
46,66667
73,33333
12
9
70
4
2
2
3
2
4
2
2
2
3
3
3,5
2
2
2
4
2
4
76
77
78
79
80
_016236367
_016236614
_016236639
_016236726
_016236586
11
13
7
9
10
14
9
12
13
10
8
9
7
11
11
73,33333
68,88889
57,77778
73,33333
68,88889
4
3,5
3
4
3,5
236367
236614
236639
236726
236586
13
12
10
6
10
12
5
7
5
8
83,33333
56,66667
56,66667
36,66667
60
4,5
3
3
3
3,5
3,5
3,5
4
2
4
2,98
3,15
2,95
2,00
3
2
3,30
4
3
4,5
4
2
4
4
4
4
4
4,5
4
4
3,5
4
4
2
3,5
4
4
3,5
4
3,5
4,00
2,30
2,75
3,48
2,00
3,30
3,30
3,13
3,13
3,65
3,63
3,65
2,95
2,45
3,30
4,00
2,00
3,68
4,18
3,48
3,15
3,65
3,50
4
3,5
2
3
3,5
3,5
3,5
4
2
3,5
4
3,5
3
3,5
81 _016233761
82
83
84
85
86
87
88
89
90
91
92
93
94
95
96
97
98
99
100
101
102
103
104
105
106
107
108
109
110
111
_016236571
_016236578
_016236699
_016236666
_016236623
_016220358
_016236398
_016236406
_016236673
_016236453
_016236535
_016236461
_016236651
_016236594
_016236534
_016236788
_016236529
_016236679
_016236598
_016236543
_016236802
_016229964
_016236419
_016236702
_016236715
_016236717
_016225686
_016236373
_016236580
_016236380
11
9
5
6
9
10
11
12
13
12
12
10
11
9
10
9
11
8
7
10
7
10
12
0
12
9
11
10
7
10
12
11
5
9
10
8
12
11
7
14
12
9
14
13
7
12
10
0
8
12
12
9
9
0
13
12
10
0
7
10
12
10
10 66,66667
3,5 233761
3
11
10
11
6
11
9
11
12
9
11
11
11
6
9
12
5
10
11
12
14
0
7
10
9
6
10
7
6
9
2
3
3,5
3,5
3,5
4
3,5
4,5
4,5
3,5
4,5
4
3,5
3,5
3,5
3
2
4
3,5
3,5
4
2
4
3,5
3,5
2
3
3,5
3,5
3,5
28,88889
57,77778
64,44444
64,44444
64,44444
75,55556
64,44444
82,22222
80
62,22222
80
73,33333
62,22222
60
66,66667
44,44444
44,44444
71,11111
66,66667
68,88889
77,77778
0
71,11111
68,88889
66,66667
35,55556
53,33333
60
66,66667
66,66667
236571
236578
236699
236666
236623
220358
236398
236406
236673
236453
236535
236461
236651
236594
236534
236788
236529
236679
236598
236543
236802
229964
236419
236702
236715
236717
225686
236373
236580
236380
9
8 56,66667
12
9
13
5
9
9
12
11
9
15
6
9
9
10
11
8
10
10
6
10
5
4
10
8
9
5
8
11
9
9
4
8
5
7
5
7
9
8
6
8
56,66667
43,33333
76,66667
43,33333
60
46,66667
66,66667
73,33333
60
80
33,33333
56,66667
46,66667
56,66667
53,33333
50
63,33333
60
40
60
9
8
11
6
11
4
14
11
6
10
6
6
4
4
9
9
50
60
56,66667
40
50
26,66667
76,66667
66,66667
3
2
3
2
4
2
3,5
2
3,5
4
3,5
4,5
2
3
2
3
3
2
3,5
3,5
2
3,5
2
2
3,5
3
2
2
2
4
3,5
4
3
3,5
4
4
3,5
4
3,5
4
3,5
4,5
4
4
3,5
4
4,5
3,5
4
4
3,5
4,5
4,5
2
4
4
4,5
3,5
4
3,5
3,5
4
3,48
3,5
2,30
3,15
3,13
3,83
2,98
3,83
2,98
4,00
4,03
3,80
4,35
3,30
3,33
3,13
3,63
3,15
2,60
3,83
3,50
3,28
3,98
2,00
3,30
3,65
3,63
2,45
2,95
2,98
3,68
3,65
2
3
3,5
3,5
4
4
3,5
4
3
3,5
3
3,5
3,5
4
2
3,5
3,5
3,5
3,5
112 _016236487
113 _016236689
11
11
10
14
8 64,44444
10 77,77778
3,5 236487
4 236689
10
8
9 63,33333
6 46,66667
3,5
2
114 _016236352
9
13
9 68,88889
3,5 236352
10
8
60
3,5
4
2
2
2
3,5
115
116
117
118
119
_016236636
_016236385
_016236344
_016236728
_016236496
11
5
7
6
11
12
8
5
10
9
11
7
0
8
14
75,55556
44,44444
26,66667
53,33333
75,55556
4
2
2
3
4
236636
236385
236344
236728
236496
10
7
0
9
12
11
70
4 36,66667
120
121
122
123
124
125
126
127
128
129
130
131
132
133
134
135
136
137
138
139
_016229403
_016236766
_016236708
_016236658
_016236680
_016236629
_016236439
_016236661
_016236503
_016236508
_015231296
_016194170
_016236548
_016236459
_016236570
_016199498
_016236498
_016236405
_016236409
_016236565
9
13
11
9
0
8
13
5
7
12
0
0
11
9
10
11
14
12
10
8
10
11
10
12
10
8
8
13
5
8
4
10
9
13
10
0
0
10
12
9
8
10
11
10
8
60
71,11111
75,55556
57,77778
40
46,66667
73,33333
51,11111
73,33333
73,33333
0
0
75,55556
46,66667
64,44444
62,22222
82,22222
80
73,33333
62,22222
3,5
4
4
3
3
2
4
3
4
4
2
2
4
2
3,5
3,5
4,5
4,5
4
3,5
229403
236766
236708
236658
236680
236629
236439
236661
236503
236508
231296
194170
236548
236459
236570
199498
236498
236405
236409
236565
11
10
14
12
10
8
9
11
11
11
8
6
8
7
9
9
4
6
7
11
0
6
8
12
8
7
8
11
5
3
30
3 36,66667
11 76,66667
4
40
8
50
10
60
11 73,33333
4
30
9
10
9
13
11
0
0
13
0
10
9
13
13
13
12
5 46,66667
7 63,33333
63,33333
53,33333
73,33333
63,33333
63,33333
56,66667
43,33333
56,66667
60
73,33333
3,5
3
4
3,5
3,5
3
2
3
3,5
4
2
2
2
2
4
2
2
3,5
4
2
4
4
4
4
3,5
4
4
4,5
4,5
4,5
4,5
4
3,5
4
4
4
4
4,5
2
2
3,5
2
3,5
4
4
4
4,5
3,5
3,65
3,30
3,5
3,65
3,5
4,00
2,45
2,60
2,95
3,98
4
3,80
3,80
4,15
3,48
3,33
2,95
3,30
3,30
3,83
4,15
2,00
2,00
3,15
2,00
3,68
3,13
3,48
4,00
4,15
2,98
3,5
3,5
4
3,5
3
2
2
4
3
3,5
4
2
2
3,5
4
4
140
141
142
143
144
145
146
_016236389
_016212298
_016236712
_016236762
_016236682
_016235785
_016233903
10
0
11
9
11
10
10
11
0
12
8
12
12
9
9
0
7
9
12
7
7
66,66667
0
66,66667
57,77778
77,77778
64,44444
57,77778
3,5
2
3,5
3
4
3,5
3
236389
212298
236712
236762
236682
235785
233903
11
147
148
149
150
_016225463
_016236632
_016236379
_016236568
12
14
12
11
13
9
12
8
11
80
12 77,77778
8 71,11111
8
60
4,5
4
4
3,5
225463
236632
236379
236568
11
7
7
8
8
6
6
3
63,33333
43,33333
43,33333
36,66667
3,5
2
2
2
151
152
153
154
155
156
_016236789
_016236540
_016225749
_016236522
_016236650
_016236793
12
13
11
11
10
10
13
11
12
12
9
8
11
11
0
9
7
7
4,5
4
2
4
3
3
236789
236540
225749
236522
236650
236793
11
9
5 53,33333
8 56,66667
9
8
8
7 53,33333
3 36,66667
6 46,66667
3
3
2
3
2
2
80
77,77778
51,11111
71,11111
57,77778
55,55556
8
7
8
3
11
8 63,33333
10
60
7 46,66667
10
60
6
30
10
70
3,5
2
3,5
2
3,5
2
4
4
2
3,5
3,5
4,5
4
4
4
4,5
4
4
4,5
4,5
2
4,5
4
4,5
3,65
2,00
3,50
2,80
3,98
3,13
3,65
3,5
2
3,5
4,00
3,45
3,30
3,13
4
3,98
3,80
2,00
3,80
2,95
3,10
4
3,5
2
3,5
4
3,5