zadania 2

Transkrypt

zadania 2
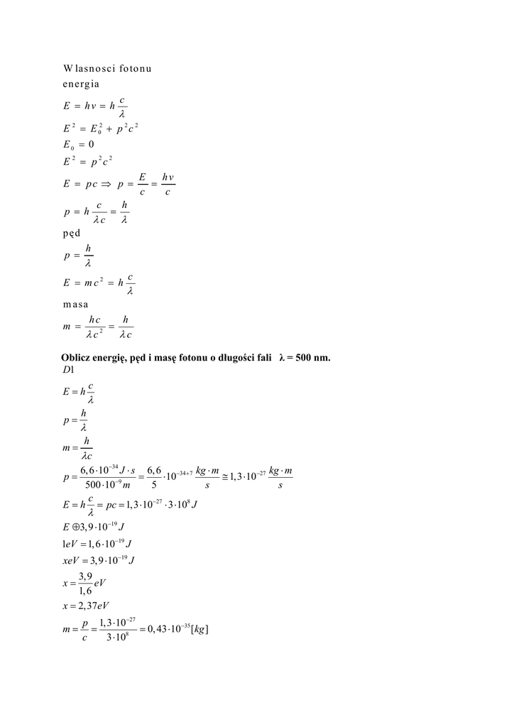
W lasn o sci fo to n u
en erg ia
E = hv = h
E
2
c
λ
= E + p 2c 2
2
0
E0 = 0
E 2 = p 2c 2
E = pc ⇒ p =
p = h
E
hv
=
c
c
c
h
=
λc λ
p ęd
h
p =
λ
E = mc2 = h
c
λ
m asa
m =
hc
h
=
2
λc
λc
Oblicz energię, pęd i masę fotonu o długości fali λ = 500 nm.
D1
c
E=h
λ
p=
h
λ
h
λc
6, 6 ⋅10−34 J ⋅ s 6, 6 −34 + 7 kg ⋅ m
kg ⋅ m
p=
=
⋅10
≅ 1,3 ⋅10−27
−9
s
s
500 ⋅10 m
5
c
E = h = pc = 1,3 ⋅10−27 ⋅ 3 ⋅108 J
m=
λ
E ≈ 3,9 ⋅10 −19 J
1eV = 1, 6 ⋅10−19 J
xeV = 3,9 ⋅10−19 J
3,9
x=
eV
1, 6
x = 2,37eV
m=
p 1, 3 ⋅10−27
=
= 0, 43 ⋅10 −35 [kg ]
8
3 ⋅10
c
D2
Temperatura ciała doskonale czarnego zmniejsza się od 1327 oC do 527 oC . Ile razy zmieni się
całkowita wypromieniowana energia ?
D2
E = σT 4
t1 = 1327°C → T1 = 1327 + 273 = 1600° K
t2 = 527°C → T2 = 527 + 273 = 800° K
T = 273,5 + t
E2 σ T2 4  T2 
=
= 
E1 σ T14  T1 
4
4
4
E2  800   1 
1
=
 =  =
E1  1600   2  16
D3
Ile razy zwiększy się moc promieniowania ciała doskonale czarnego, jeŜeli maksimum energii
w widmie przesunęło się z λ1 =700 nm do λ2 =400 nm ?
D3
E2
=?
E1
E = σT 4
λ1 = 700nm
λ2 = 400nm
λmax ⋅ T = c
λ1 ⋅ T1 = λ2 ⋅ T2
E2 σ T2 4  T2 
=
= 
E1 σ T14  T1 
T2 λ1
=
T1 λ2
4
4
E2  T2   λ1 
=  = 
E1  T1   λ2 
4
4
E2  700   7 
=
 = 
E1  400   4 
4
D4
W atomie wodoru elektron przechodzi ze stanu w którym energia wiązania wynosi 0,378 eV do
innego stanu o energii wzbudzenia 12,09 eV. Jakie są liczby kwantowe tych stanów? Oblicz
długość fali emitowanego fotonu.
D4
Ewiaz = 0, 378eV
Ewzb = 12, 09eV
Ewiaz = E∞ − Ee
E∞ = 0
Ewiaz = − Ee + 0,378ev =
+13, 6eV
e2
13, 6
= 36 ⇒ e = 6
0,378
−13, 6eV
Ewzb = Ec − E1 =
− ( −13, 6eV )
c2
−13, 6eV
12, 09eV =
+ 13, 6eV
c2
13, 6eV
1,51eV =
c2
13, 6eV
c2 =
=9⇒c=3
1, 51eV
e2 =
3
1 1 
1 1
= R  2 − 2  = 1,1 ⋅107 m −1  −  = 1,1 ⋅107 ⋅ m −1
λ
36
 9 36 
c e 
λ = 1, 09 ⋅10−6 m
lub
c
hc
h = Ee − Ec ⇒ λ =
Ee − Ec
λ
1
D5
Foton o energii 12.75 eV zostaje pochłonięty przez atom wodoru znajdujący się początkowo w
stanie podstawowym. Określ liczbę kwantową stanu wzbudzonego. Jakie są moŜliwości
przejścia na poziom podstawowy?
D5
E f = Ea − E1
−13, 6eV
− ( −13, 6eV )
a2
13, 6eV
0,85eV =
a2
13, 6eV
a2 =
= 16 ⇒ a = 4
0,85eV
n =1
n=4
12, 75eV =
4
2
He +
En = −
Z 213, 6eV
n2
D6
Jaka energia jest potrzebna do usunięcia elektronu z jednokrotnie zjonizowanego atomu helu
He jeŜeli elektron początkowo znajdował się a) w stanie podstawowym b) stanie n = 4 ?
4
2
He ⇒
⇒Z =2
⇒ A=4
Ewiaz = E ∞ − En
Z 2 ⋅13, 6eV
= 2 2 ⋅13, 6eV = 54, 4eV
2
1
2
Z ⋅13, 6eV 13, 6
= 0 − E4 =
=
eV = 3, 4eV
42
4
Ewn = 0 − En =
Ewiaz
Temperatura ciala doskonale czarnego zmienia się od t1 = 727°C
do t 2 = 1727°C. Ile razy zmieni sie energia wypromieniowana
przez to cialo?
E2
=?
E1
E = σT 4
T1 = ( 273 + 727 ) K = 1000 K
T2 = ( 273 + 1727 ) K = 2000 K
4
E2 σ T2 4  T2   2000 
4
=
=  =
 = 2 = 16
4
E1 σ T1  T1   1000 
4
Stala sloneczna (ilosć energii promienistej, którą wysyla Slońce w ciągu 1s
na powierzchnię 1m 2 prostopadle do promienia znajdujacą się w pobliŜu
Ziemi poza jej atmosferą) wynosi I=1,35
kW
. Okresl temperaturę
m2
promieniującej powierzchni Slońca T=?
r- promień Slońca, R- odleglosć Slońca od Ziemi
r=6,95 ⋅108 m, R=1,5 ⋅1011m, σ =5,67 ⋅10-8
W
m2 K 2
E = σT 4
E1 = 4Πr 2 ∗ E
E2 = 4Π R 2 ∗ I
E1 = E2
4Π R 2
R
E=I⋅
= I ⋅ 
2
4Π r
r
R

r
2
2
σT 4 = I ⋅
T=
4
IR 2
σ r2
T=
4
1, 35 ⋅103
⋅ 4, 657 ⋅104 = 4 0,1107 ⋅1016 ≈ 0, 5776 ⋅104 K = 5776 K
−8
5, 67 ⋅10
T=
4
Wm 2
⋅K4 = K
2
mW
Ziemia traci srednio w ciągu minuty energię 5,4 J wypromieniowaną przez 1m 2
powierzchni. W jakiej temperaturze cialo doskonale czarne promieniowaloby
te sama ilosć energii?
E0 = σ T 4
T=
4
E0
σ
E
5, 4 J
W
=
= 0, 09 2
2
2
60 s ⋅1m
60 s ⋅ m
m
E0 = E '
E'=
T=
4
5, 4
⋅108 K ≅ 200 K
600 ⋅ 5, 67
Temperatura ciala doskonale czarnego wzrosla dwukrotnie, w wyniku czego
dlugosć fali odpowiadajaca maksymalnej zdolnosci emisyjnej zmalala o 600nm.
Wyznacz poczatkową i końcową temperaturę ciala.
1nm=10-9 m, c=2,9 ⋅10-3 mK - stala Wiena
λmax ⋅ T = c prawo Wiena
λ1 − λ2 = ∆λ = 600nm
T2 = 2T1
λ1 − λ2 = ∆λ =
c c c
c
c
− = −
=
T1 T2 T1 2T1 2T1
c
2,9 ⋅10−3 mK 2,9 ⋅10−3
T1 =
=
=
K = 2, 4166 ⋅103 K ≅ 2417 K
−9
−6
2∆λ 2 ⋅ 600 ⋅10 m 1, 2 ⋅10
T2 = 2T1 = 4834 K
Jaki prąd powinien płynąć przez metalowe włókno o średnicy d=0.1mm, które
znajduje się w bańce próŜniowej, aby jego temperatura T=2500°K pozostała stała?
Zakładamy, Ŝe włókno promieniuje energię jak ciało doskonale czame. Straty
cieplne spowodowane przewodzeniem ciepła pominąć.
I=1,47A.
E ' = E ⋅ S = σ T 4 ⋅ 2Π
d
⋅ l0
2
P =U ⋅I = I2 ⋅R
U = I ⋅R
R = ρ0
l0
=ρ
S'
P = I 2 ⋅ ρ0
l0
d
Π 
2
2
l0 4
Πd 2
P = E ' ⇒ σ T 4 ⋅ 2Π
l4
d
⋅ l0 = I 2 ⋅ ρ 0 0 2
2
Πd
I2 =
σT 4 ⋅ Π2 ⋅ d ⋅ d 2
4 ρ0
I2 =
σT 4 ⋅ Π2 ⋅ d 3
4 ρ0
I=
σT 4 ⋅ Π2 ⋅ d 3
4 ρ0
Zadanie3
Średnia temperatura ciała ludzkiego wynosi 310°K. Określić długość fali
promieniowania λmax wysyłanego przez człowieka, odpowiadającą maksimum
funkcji rozkładu energii. Przyjąć, Ŝe ciało ludzkie promieniuje jak ciało doskonale
czarne.
λmax =9,3*10--6m.
T = 310 K
λmax = ?
λmax ⋅ T = c = 2,9 ⋅10−3 mK
c 2,9 ⋅10−3 mK
=
T
310
−6
≈ 9,3 ⋅10 m
λmax =
λmax
Obliczyć masę traconą przez slonce w ciągu 1s na skutek promieniowania.
Temperatura powierzchni slońca wynosi T=5800K
∆E = ∆mc 2
∆E = σ T 4 ⋅ t ⋅ S
∆m =
σT 4 ⋅t ⋅ S
c2
4Π r 2 ⋅ σ T 4 ⋅ t
∆m =
c2
r=6,95 ⋅108 m
c = 3 ⋅108
m
s
W
m2 K 4
∆m ≅ 3, 4 ⋅1010 kg
σ = 5, 67 ⋅10−8
M sl ~ 2 ⋅1030 kg
Pewien atom emituje swiatlo o dlugosciach fali λ1 = 600nm i λ2 = 500nm
dla przejsć elektronowych z poziomów odpowiednio B na A i z C na A.
Oblicz dlugosć fali emitowanej przez ten atom przy przejsciu elektronu
z poziomu C na B.
EC − EB = ( EC − E A ) − ( EB − E A )
hc
λB
=
hc
−
hc
λ2 λ1
λλ
λ3 = 1 2
λ1 − λ2
λ3 = 3000nm
1nm = 10 −9 m
⇒
Foton o energii 12,1eV zostaje zaabsorbowany przez atom wodoru
znajdujący sie początkowo w stanie podstawowym. Okresl liczbę
kwantową n stanu wzbudzonego.
13, 6eV
n2
Ek − E1 = 12,1eV
En = −
Ek = E1 + 12,1eV
Ek = −13, 6eV + 12,1eV = −1, 5eV
n =1
−1, 5eV = −
k=
13, 6eV
k2
13, 6
= 9, 06 ≈ 3
1, 5
k =3
W atomie wodoru elektron przechodzi ze stanu,
w którym energia wiązania wynosi 0,54 eV do innego
stanu o energii wzbudzenia 10,2 eV.
a) jakie są glowne liczby kwantowe tych stanów?
b) oblicz dlugosć fali fotonu
c) jaka to seria?
Ewzb = 10, 2eV = En − E1 = En − ( −13, 6eV ) ⇒
⇒ En = 10, 2eV − 13, 6eV = −3, 4eV
−13, 6eV
= −3, 4eV
n2
13, 6eV
n2 =
=4⇒n=2
3, 4eV
Ewzb = 0, 54eV = E∞ − Em
En =
E∞ = 0
Ewzb = − Em
Em = −0,54eV
13, 6eV
≈ 25 ⇒ m = 5
−0,54eV
m(5) → n(2) ⇒ seria Balmera
c
Em − En = hv = h
m2 =
λ
λ = 4, 34 ⋅10 m
−7
1eV = 1, 602 ⋅10−19 J
Jaka energia potrzebna jest do usunięcia elektronu z jednokrotnie
zjonizowanego atomu helu He jesli elektron jest początkowo w stanie
a) podstawowym n=1
b) n=3
Z=2
−Z 2
⋅13, 6eV
n2
Ew = E∞ − En
En =
E∞ = 0
 −22 ⋅13, 6eV 
n = 1 → Ew = E j = 0 − 
 = 54, 4eV
12


 −2 2 ⋅13, 6eV 
n = 3 → Ew = 0 − 
 = 6, 04eV
32

