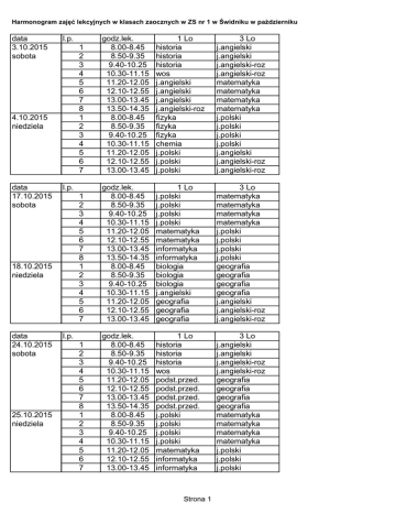
data l.p. godz.lek. 1 Lo 3 Lo 3.10.2015 1 8.00

Transkrypt

data l.p. godz.lek. 1 Lo 3 Lo 3.10.2015 1 8.00
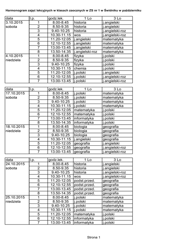
Harmonogram zajęć lekcyjnych w klasach zaocznych w ZS nr 1 w Świdniku w październiku
data
3.10.2015
sobota
l.p.
4.10.2015
niedziela
data
17.10.2015
sobota
25.10.2015
niedziela
1 Lo
historia
historia
historia
wos
j.angielski
j.angielski
j.angielski
j.angielski-roz
fizyka
fizyka
fizyka
chemia
j.polski
j.polski
j.polski
3 Lo
j.angielski
j.angielski
j.angielski-roz
j.angielski-roz
matematyka
matematyka
matematyka
matematyka
j.polski
j.polski
j.polski
j.polski
j.angielski
j.angielski-roz
j.angielski-roz
1
2
3
4
5
6
7
8
1
2
3
4
5
6
7
godz.lek.
8.00-8.45
8.50-9.35
9.40-10.25
10.30-11.15
11.20-12.05
12.10-12.55
13.00-13.45
13.50-14.35
8.00-8.45
8.50-9.35
9.40-10.25
10.30-11.15
11.20-12.05
12.10-12.55
13.00-13.45
1 Lo
j.polski
j.polski
j.polski
j.polski
matematyka
matematyka
informatyka
informatyka
biologia
biologia
biologia
j.angielski
geografia
geografia
geografia
3 Lo
matematyka
matematyka
matematyka
matematyka
j.polski
j.polski
j.polski
j.polski
geografia
geografia
geografia
geografia
j.angielski
j.angielski-roz
j.angielski-roz
1
2
3
4
5
6
7
8
1
2
3
4
5
6
7
godz.lek.
8.00-8.45
8.50-9.35
9.40-10.25
10.30-11.15
11.20-12.05
12.10-12.55
13.00-13.45
13.50-14.35
8.00-8.45
8.50-9.35
9.40-10.25
10.30-11.15
11.20-12.05
12.10-12.55
13.00-13.45
1 Lo
historia
historia
historia
wos
podst.przed.
podst.przed.
podst.przed.
podst.przed.
j.polski
j.polski
j.polski
j.polski
matematyka
informatyka
informatyka
3 Lo
j.angielski
j.angielski
j.angielski-roz
j.angielski-roz
geografia
geografia
geografia
geografia
matematyka
matematyka
matematyka
matematyka
j.polski
j.polski
j.polski
l.p.
18.10.2015
niedziela
data
24.10.2015
sobota
1
2
3
4
5
6
7
8
1
2
3
4
5
6
7
godz.lek.
8.00-8.45
8.50-9.35
9.40-10.25
10.30-11.15
11.20-12.05
12.10-12.55
13.00-13.45
13.50-14.35
8.00-8.45
8.50-9.35
9.40-10.25
10.30-11.15
11.20-12.05
12.10-12.55
13.00-13.45
l.p.
Strona 1