PRACA, MOC, ENERGIA, MASZYNY PROSTE

Transkrypt

PRACA, MOC, ENERGIA, MASZYNY PROSTE
Grupa III
PRACA, MOC, ENERGIA, MASZYNY PROSTE
…………………………………………………………..
nazwisko i imię
1. (1 pkt.) Energia mechaniczna spadającego jabłka równa jest:
 energii kinetycznej
 sumie energii potencjalnej i energii wewnętrznej
 energii potencjalnej ciężkości
 sumie energii kinetycznej i energii potencjalnej
2. (1 pkt.)Książka znajduje się na półce, której odległośd od podłogi wynosi 1m. Następnie zostaje podniesiona na półkę
znajdującą się o 2m wyżej. Oznacza to, że energia potencjalna książki:
 zwiększyła się dwukrotnie
 zwiększyła się trzykrotnie
 zwiększyła się czterokrotnie
 zmniejszyła się dwukrotnie
3. (2 pkt.)Do transportu materiałów budowlanych na wyższe kondygnacje budynku używa się kołowrotu. Promieo korby
kołowrotu zastosowanego na pewnej budowie jest czterokrotnie większy od promienia wału. Jaką siłą robotnik
powinien działad na korbę aby podnieśd za pomocą tego kołowrotu cegły o masie 50 kg.
taką samą jak ciężar cegieł
 dwa razy mniejszą niż ciężar cegieł
 cztery razy mniejszą niż ciężar cegieł
 cztery razy większą niż ciężar cegieł
 125 N
 250 N
 500 N
 1000 N
a jej wartośd wynosi
4. (2 pkt.)W warsztacie do podniesienia silnika o masie 100 kg na wysokośd 2m użyto bloku ruchomego.
Robotnicy podnoszący silnik działali siłą
i wykonali pracę
 100 N
 200 J
 200 N
 400 J
 500 N
 2000 J
 1000 N
 4 000 J
5. (3 pkt.)Które z ciał ma większą energię mechaniczną?
a)koo o masie 500 kg poruszający się z szybkością 18
𝑘𝑚
, czy mały
ℎ
słoo o masie 500 kg biegnący z szybkością 5
𝑚
𝑠
 koo
słoo
 energie ich są jednakowe
b) liśd o masie 10g wiszący na wysokości 10m, czy dachówka o masie 1kg znajdująca się na wysokości 5m nad Ziemią
 liśd
dachówka
 energie ich są jednakowe
𝑚
c) ptak o masie 20g lecący na wysokości 1m nad Ziemią z prędkością 10 𝑠 , czy żelazna kula o masie 50kg leżąca na Ziemi.
 ptak
żelazna kula
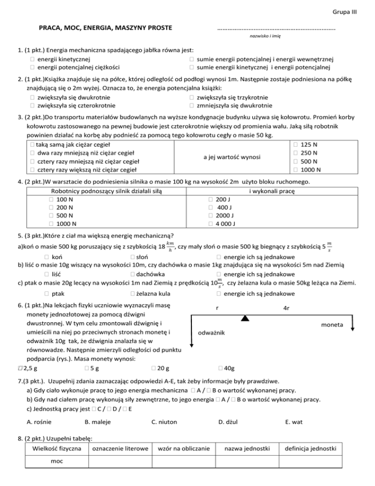
6. (1 pkt.)Na lekcjach fizyki uczniowie wyznaczyli masę
monety jednozłotowej za pomocą dźwigni
dwustronnej. W tym celu zmontowali dźwignię i
umieścili na niej po przeciwnych stronach monetę i
odważnik 10g tak, że dźwignia znalazła się w
równowadze. Następnie zmierzyli odległości od punktu
podparcia (rys.). Masa monety wynosi:
2,5 g
5 g
20 g
 energie ich są jednakowe
r
4r
moneta
odważnik
40g
7.(3 pkt.). Uzupełnij zdania zaznaczając odpowiedzi A-E, tak żeby informacje były prawdziwe.
a) Gdy ciało wykonuje pracę to jego energia mechaniczna A / B o wartośd wykonanej pracy.
b) Gdy nad ciałem pracę wykonują siły zewnętrzne, to jego energia A / B o wartośd wykonanej pracy.
c) Jednostką pracy jest C / D / E
A. rośnie
B. maleje
C. niuton
D. dżul
E. wat
8. (2 pkt.) Uzupełni tabelę:
Wielkośd fizyczna
moc
oznaczenie literowe
wzór na obliczanie
nazwa jednostki
definicja jednostki
Grupa III
9. (2 pkt.)Prędkośd samochodu zwiększyła się z 40
Jego energia kinetyczna
𝑘𝑚
ℎ
do 120
 wzrośnie 3 razy
 wzrośnie 6 razy
 wzrośnie 9 razy
 zmaleje 3 razy
𝑘𝑚
.
ℎ
Jego energia kinetyczna
a jej wartośd
obliczamy ze
wzoru:
 𝐸=
𝑚 𝑣2
2
 E = mgh
10. (4 pkt.)Kamieo o masie 20 dag spada swobodnie z wysokości 3,2 m. Opór powietrza pomijamy. Podczas spadania:
energia kinetyczna
energia potencjalna ciężkości
 rośnie
 rośnie
 maleje
 maleje
 nie zmienia się
 nie zmienia się
Całkowita energia mechaniczna
kamienia wynosi:
 6,4 J
 12,8 J
 64 J
𝑚
𝑠
𝑚
8𝑠
𝑚
16
𝑠
𝑚
32 𝑠
4
 3,2 J
a maksymalna szybkośd jaką
osiągnie wyniesie:



11. (1 pkt.)Samochód ciężarowy ma dwa razy większą masę niż samochód osobowy, ale jedzie dwa razy wolniej niż
samochód osobowy. Jakie są ich energie?
 samochody mają jednakowe energie mechaniczne
 samochód ciężarowy ma dwa razy większą energię mechaniczną niż samochód osobowy
 samochód osobowy ma dwa razy większą energię mechaniczną niż samochód ciężarowy
 samochód osobowy ma cztery razy większą energię mechaniczną niż samochód ciężarowy
12. (2 pkt.) Karol i Adam ważą tyle samo. Wbiegli oni na górkę, ale Adam wbiegł w czasie 40s a Karol w czasie 50s.
Porównaj pracę jaką wykonali oraz średnią moc ich mięśni podczas wbiegania. Wybierz po jednej odpowiedzi.
 Karol wykonał większą pracę niż Adam
 średnia moc mięśni Karola była większa niż Adama
 Adam wykonał większą pracę niż Karol
 średnia moc mięśni Karola była mniejsza niż Adama
 chłopcy wykonali jednakową pracę
 moce ich były jednakowe
13. (2 pkt.) Alpinista zszedł ze szczytu góry. Który rodzaj energii zmienił się i dlaczego. Zaznacz poprawną odpowiedź oraz
jej uzasadnienie.
 energia kinetyczna wzrosła
 alpinista poruszał się
 energia kinetyczna zmalała
 alpinista znalazł się niżej względem Ziemi
ponieważ
 energia potencjalna wzrosła
 czynnośd ta wymagała wysiłku
 energia potencjalna zmalała
 alpinista zmienił położenie
14. (4 pkt.) Karol podniósł tornister o masie 4 kg na wysokośd 90 cm w czasie 3s. Jaką pracę wykonał Karol oraz jaka była
średnia moc jego mięśni podczas podnoszenia tornistra?
Dane:
Rozwiązanie
Szukane:
Odp.