surowce-i-produkty-zf-amara---dostepne

Transkrypt

surowce-i-produkty-zf-amara---dostepne
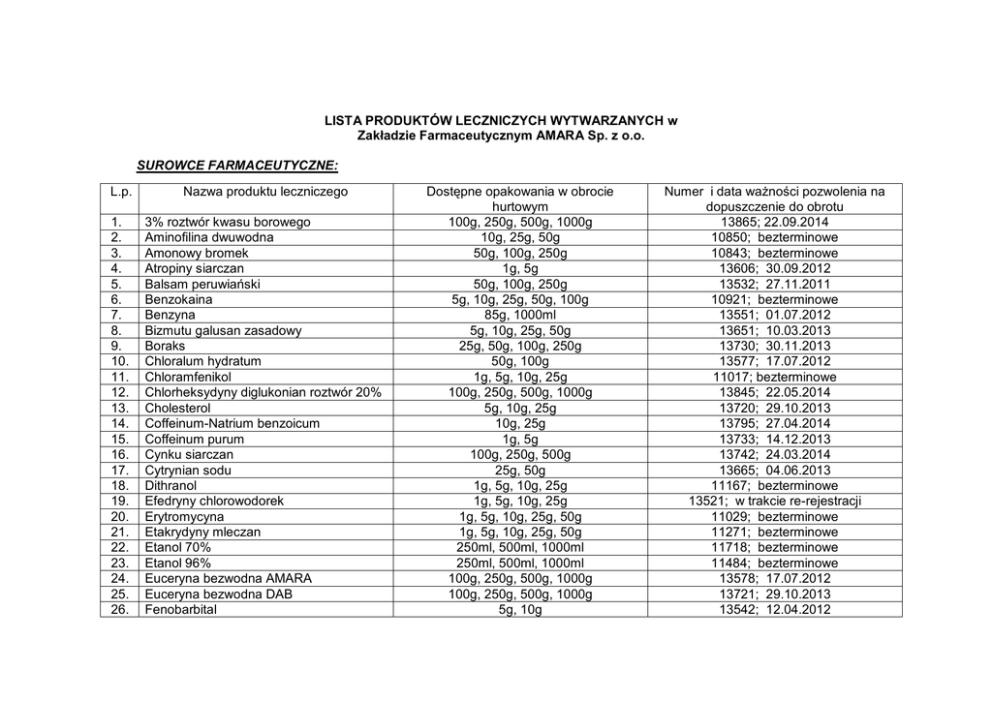
LISTA PRODUKTÓW LECZNICZYCH WYTWARZANYCH w
Zakładzie Farmaceutycznym AMARA Sp. z o.o.
SUROWCE FARMACEUTYCZNE:
L.p.
Nazwa produktu leczniczego
1.
2.
3.
4.
5.
6.
7.
8.
9.
10.
11.
12.
13.
14.
15.
16.
17.
18.
19.
20.
21.
22.
23.
24.
25.
26.
3% roztwór kwasu borowego
Aminofilina dwuwodna
Amonowy bromek
Atropiny siarczan
Balsam peruwiański
Benzokaina
Benzyna
Bizmutu galusan zasadowy
Boraks
Chloralum hydratum
Chloramfenikol
Chlorheksydyny diglukonian roztwór 20%
Cholesterol
Coffeinum-Natrium benzoicum
Coffeinum purum
Cynku siarczan
Cytrynian sodu
Dithranol
Efedryny chlorowodorek
Erytromycyna
Etakrydyny mleczan
Etanol 70%
Etanol 96%
Euceryna bezwodna AMARA
Euceryna bezwodna DAB
Fenobarbital
Dostępne opakowania w obrocie
hurtowym
100g, 250g, 500g, 1000g
10g, 25g, 50g
50g, 100g, 250g
1g, 5g
50g, 100g, 250g
5g, 10g, 25g, 50g, 100g
85g, 1000ml
5g, 10g, 25g, 50g
25g, 50g, 100g, 250g
50g, 100g
1g, 5g, 10g, 25g
100g, 250g, 500g, 1000g
5g, 10g, 25g
10g, 25g
1g, 5g
100g, 250g, 500g
25g, 50g
1g, 5g, 10g, 25g
1g, 5g, 10g, 25g
1g, 5g, 10g, 25g, 50g
1g, 5g, 10g, 25g, 50g
250ml, 500ml, 1000ml
250ml, 500ml, 1000ml
100g, 250g, 500g, 1000g
100g, 250g, 500g, 1000g
5g, 10g
Numer i data ważności pozwolenia na
dopuszczenie do obrotu
13865; 22.09.2014
10850; bezterminowe
10843; bezterminowe
13606; 30.09.2012
13532; 27.11.2011
10921; bezterminowe
13551; 01.07.2012
13651; 10.03.2013
13730; 30.11.2013
13577; 17.07.2012
11017; bezterminowe
13845; 22.05.2014
13720; 29.10.2013
13795; 27.04.2014
13733; 14.12.2013
13742; 24.03.2014
13665; 04.06.2013
11167; bezterminowe
13521; w trakcie re-rejestracji
11029; bezterminowe
11271; bezterminowe
11718; bezterminowe
11484; bezterminowe
13578; 17.07.2012
13721; 29.10.2013
13542; 12.04.2012
27.
28.
29.
30.
31.
32.
33.
34.
35.
36.
37.
38.
39.
40.
41.
42.
43.
44.
45.
46.
47.
48.
49.
50.
51.
52.
53.
54.
55.
56.
57.
58.
59.
60.
Fenobarbital sodowy
Formaldehyd 4%
Formaldehyd 10%
Formaldehyd 40%
Gentamycyny siarczan
Gliceryna 86%
Glukoza bezwodna
Guma arabska
Hydrokortyzon
Ichtiol
Kamfora
Kodeiny fosforan półwodny
Kolodium
Kwas acetylosalicylowy
Kwas benzoesowy
Kwas borowy
Kwas cytrynowy
Kwas mlekowy
Kwas salicylowy
Laktoza
Laktoza jednowodna
Lanolina
Lanolina bezwodna
Lekobaza Amara
Lidokainy chlorowodorek
Magnezu siarczan wysuszony
Magnezu tlenek
Magnezu węglan ciężki
Masło kakaowe
Maść cholesterolowa
Mentol
Metamizol sodowy
Metronidazol
Miedzi siarczan pięciowodny
1g, 5g, 10g
100g, 250g, 1000g
250g, 500g, 1000g
100ml, 1000ml, 5000ml
1g, 5g
100g, 250g, 500g, 1000g
80g, 100g, 250g, 500g, 1000g
50g, 100g
1g, 5g, 10g, 25g
50g, 100g, 250g, 500g
25g, 50g, 100g
1g, 5g, 10g
100ml, 250ml, 1000ml
25g, 50g, 100g, 250g
50g, 100g, 250g, 500g
50g, 100g, 250g, 500g
50g, 100g, 250g
100ml, 250ml
100g, 250g
100g, 250g, 500g
50g, 100g
100g, 250g, 500g, 1000g
100g, 250g, 500g, 1000g
100g, 250g, 500g, 1000g
1g, 5g, 10g, 25g, 50g, 100g
100g, 250g, 500g
50g, 100g, 250g, 500g
100g, 250g, 500g
100g, 250g, 500g
100g, 250g, 500g, 1000g
25g, 50g, 100g
50g, 100g, 250g
10g, 25g, 50g, 100g
1g, 5g, 10g
13851; 22.05.2014
13842; 15.06.2014
13843; 15.06.2014
13519; w trakcie re-rejestracji
11018; bezterminowe
13535; 06.02.2012
13528; 12.10.2011
13591; 29.07.2012
11032; bezterminowe
13564; 02.07.2012
11683; w trakcie re-rejestracji
13527; w trakcie re-rejestracji
13576; 17.07.2012
13588; 25.07.2012
13580; 17.07.2012
13504; w trakcie re-rejestracji
13574; 17.07.2012
13530; 05.11.2011
11019; bezterminowe
13553; 01.07.2012
13782; 24.03.2014
13557; 01.07.2012
PL/RPL-4000-0175/09
PL/RPL-4000-0017/10[RRF]
11942; w trakcie re-rejestracji
13524; w trakcie re-rejestracji
13582; 17.07.2012
13533; 10.12.2011
13556; 01.07.2012
13589; 29.07.2012
10851; bezterminowe
11924; w trakcie re-rejestracji
10826; bezterminowe
13789; 17.03.2014
61.
62.
63.
64.
65.
66.
67.
68.
69.
70.
71.
72.
73.
74.
75.
76.
77.
78.
79.
80.
81.
82.
83.
84.
85.
86.
87.
88.
89.
90.
91.
92.
93.
Mocznik
Nalewka kozłkowa
Nalewka miętowa
Nalewka z dębianek
Nalewka z kłącza pięciornika
Nalewka z kory chinowej
Nalewka z korzenia ipekakuany
Nalewka z kwiatostanu głogu
Nalewka z kwiatu arniki
Nalewka z liści pokrzyku
Nalewka z owocni pomarańczy gorzkiej
Nalewka z pieprzu tureckiego
Nalewka z ziela konwalii mianowana
Nalewka z ziela miłka wiosennego
mianowana
Natrii phosphas monobasicus
Natrium bicarbonicum
Natrium phosphoricum bibasicum
Neomycyny siarczan
Nipagina M
Nipagina P
Nystatyna
Olejek anyżowy
Oleum eucalipti
Oleum lavandulae
Oleum menthae piperitae
Olej lniany
Olej rycynowy
Olej rzepakowy
Papaweryny chlorowodorek
Parafina ciekła
Parafina stała
Pilokarpiny chlorowodorek
Pix Liquida Pini
50g, 100g, 250g, 500g
100g, 250g, 800g
100g, 250g
100g, 250g
100g
100g, 250g
100g
100g, 250g, 800g
100g
100g, 250g
100g
100g, 250g
100g, 250g, 800g
100g, 250g, 800g
13509; w trakcie re-rejestracji
13558; 01.07.2012
13570; 10.07.2012
13562; 02.07.2012
13723; 03.11.2013
10837; bezterminowe
IL-6151/LN; 31.12.2013
13545; 19.04.2012
13690; 04.08.2013
IL-6244/LN; 31.12.2013
IL-6152/LN; 31.12.2013
13565; 09.07.2012
13572; 10.07.2012
13571; 10.07.2012
50g, 100g
100g, 250g, 500g
50g, 100g
1g, 5g, 10g, 25g
1g, 5g
1g, 5g
1g, 5g, 10g
25g
25g
25g
25g
100ml, 250ml, 500ml, 1000ml
100ml, 250ml, 500ml, 1000ml
100ml, 250ml, 500ml, 1000ml
1g, 5g, 10g, 25g
100ml
100g, 250g, 500g
1g, 5g
50g
13854; 13.07.2014
13554; 01.07.2012
13838; 15.06.2014
11926; w trakcie re-rejestracji
13623; 12.12.2012
13625; 11.12.2012
13544; 19.04.2012
13722; 19.10.2013
13740; 24.03.2014
13753; 15.02.2014
13824; 13.05.2014
13507; w trakcie re-rejestracji
13505; w trakcie re-rejestracji
13526; w trakcie re-rejestracji
10881; bezterminowe
13659; 19.05.2013
13691; 04.08.2013
10827; bezterminowe
13869; 23.03.2015
94.
95.
96.
97.
98.
99.
100.
101.
102.
103.
104.
105.
106.
107.
108.
109.
110.
111.
112.
113.
114.
115.
116.
117.
118.
119.
120.
121.
122.
123.
124.
125.
126.
127.
Pix Lithanthracis
Potasu bromek
Potasu chlorek
Potasu jodek
Potasu nadmanganian
Prednizolon
Prokainy chlorowodorek
Rezorcynol
Sacharoza
Siarka strącona
Skrobia pszeniczna
Skrobia ziemniaczana
Sodu benzoesan
Sodu bromek
Sodu chlorek
Sodu salicylan
Sodu tiosiarczan
Spirytus kamforowy
Spirytus salicylowy
Srebra azotan
Sulfaguanidyna
Sulfogwajakol
Talk
Tanina
Tlenek cynku
Tymol
Urotropina
Wapnia chlorek sześciowodny
Wapnia glukonian
Wapnia mleczan pięciowodny
Wapnia węglan strącony
Wazelina biała
Wazelina hydrofilowa
Wazelina żółta
50g
25g, 50g, 100g, 250g
10g, 25g, 50g, 100g
10g, 25g, 50g, 100g, 250g
1g, 5g, 10g
1g, 5g
5g, 10g, 25g
50g, 100g, 250g
100g, 250g, 500g, 1000g
100g, 250g, 500g
50g, 100g
50g, 100g
50g, 100g, 250g
50g, 100g, 250g, 500g, 1000g
50g, 100g, 250g, 500g, 1000g
25g, 50g, 100g
50g, 100g, 250g, 500g
200g, 400g, 800g
800g
1g, 5g, 10g, 25g, 50g, 100g
25g, 50g
50g, 100g
50g, 100g, 250g, 500g
25g, 50g, 100g, 250g
100g, 250g, 500g
5g, 10g
10g, 25g, 50g
50g, 100g, 250g, 500g
50g, 100g, 250g, 500g
50g, 100g, 250g
100g, 250g, 500g, 1000g
100g, 250g, 500g, 1000g
100g, 250g, 500g, 1000g
100g, 250g, 500g, 1000g
13870;31.03.2015
10882; w trakcie re-rejestracji
13681; 02.07.2013
13508; w trakcie re-rejestracji
13790; 30.03.2014
11963; w trakcie re-rejestracji
11879; bezterminowe
13531; 27.11.2011
13546; 09.05.2012
11922; w trakcie re-rejestracji
13812; 27.04.2014
13850; 22.06.2014
13581; 17.07.2012
10880; bezterminowe
13579; 17.07.2012
13834; 03.06.2014
11964; w trakcie re-rejestracji
13543; 24.04.2012
13583; 17.07.2012
13501; w trakcie re-rejestracji
11925; w trakcie re-rejestracji
13541; 09.04.2012
11744; w trakcie re-rejestracji
13502; w trakcie re-rejestracji
13585; 24.07.2012
13635; 02.012013
13587; 26.07.2012
13559; 01.07.2012
13555; 01.07.2012
10879; bezterminowe
13529; 05.11.2011
11945; bezterminowe
13624; 12.12.2012
13537; 15.03.2012
128.
129.
130.
131.
132.
133.
Vitaminum C
Woda utleniona
Woda wapienna
Wodoru nadtlenek 30%
Wosk biały
Wosk żółty
1g, 5g, 10g
1 kg
250ml, 1000ml
100g, 1kg, 5kg
100g, 250g, 500g
100g, 250g, 500g
13731; 14.12.2013
13552; 01.07.2012
13522; w trakcie re-rejestracji
13724; 03.11.2013
13645; 26.02.2013
13626; 11.12.2012
PRODUKTY LECZNICZE
L.p.
Nazwa produktu leczniczego
Dostępne opakowania w obrocie
1.
2.
3.
4.
5.
6.
7.
8.
9.
Gargarisma prophylacticum Amara
Krople miętowe
Krople nasercowe
Krople walerianowe
Maść kamforowa
Maść cynkowa
Maść ichtiolowa
Maść pięciornika złożona
Maść przeciw odciskom i zgrubieniom
skóry „Rekord Łuszczy”
Nalewka gorzka
Nalewka z kwiatu arniki
Nasienie lnu
Olej rycynowy
Płyn Burowa
Rivanolum roztwór 0,1%
Spirytus kamforowy
Spirytus mrówczany
Spirytus salicylowy
Spirytus skażony hibitanem 0,5% AMARA
Syrop prawoślazowy
Syrop tymiankowy złożony
Syrop z sulfogwajakolem
Woda utleniona
30g
35g
30g
35g, 100g
20g
20g
20g
20g
15g
10.
11.
12.
13.
14.
15.
16.
17.
18.
19.
20.
21.
22.
23.
35g
35g
250g
50g, 100g
100g
100ml, 250ml
50g, 90g
50g
50g, 100g
500ml, 1000ml, 25kg
125g
125g
125g, 200g
100g
Numer i data ważności pozwolenia na
dopuszczenie do obrotu
17130; 03.08.2015
14042; 19.07.2012
IL-3261/LN; 23.03.2013
14040; 17.07.2012
16346; 17.01.2015
11923; bezterminowe
15214; 17.03.2014
15482; 27.04.2014
R/1452; 30.07.2013
IL-2751/LN; 03.11.2012
IL-2752/LN; 03.11.2012
IL-2716/LN; 13.10.2012
12552; 10.12.2011
10988; bezterminowe
IL-5826/ChF; 23.09.2013
IL-2572/LN; 24.07.2012
IL-2567/ChF; 18.07.2012
IL-2467/ChF; 18.07.2012
IL-5649/ZF; 15.12.2013
IL-4746/LN; 09.12.2013
IL-4528/LN; 11.12.2013
IL-4492/ChF; 09.12.2013
IL-2354/ChF; 11.12.2013