Schemat badania przesiewowego u chorych z ostrym udarem mózgu.

Transkrypt

Schemat badania przesiewowego u chorych z ostrym udarem mózgu.
Rehabilitacja po udarze mózgu w Postępowanie po udarze mózgu. Wytyczne grupy ekspertów sekcji chorób
naczyniowych Polskiego Towarzystwa Neurologicznego. Neurol.Neurochir.Pol. 46(1 (supl.1)). 2012.
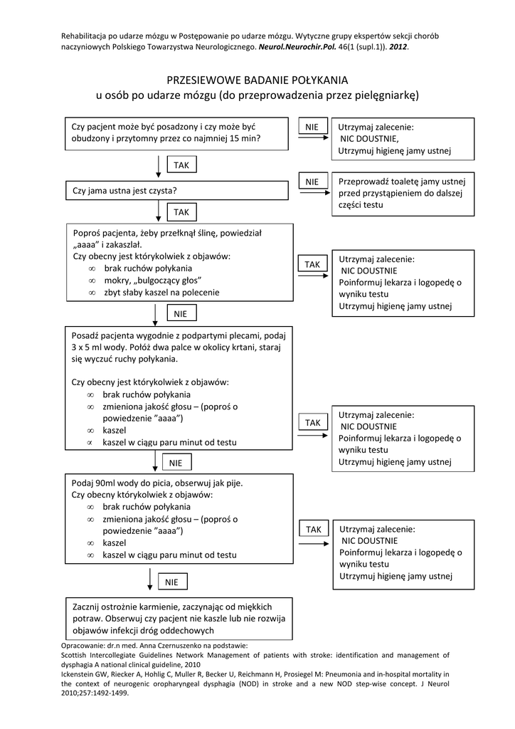
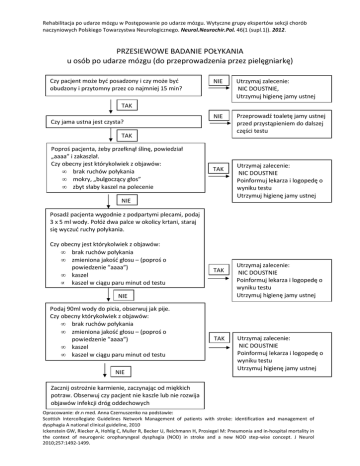
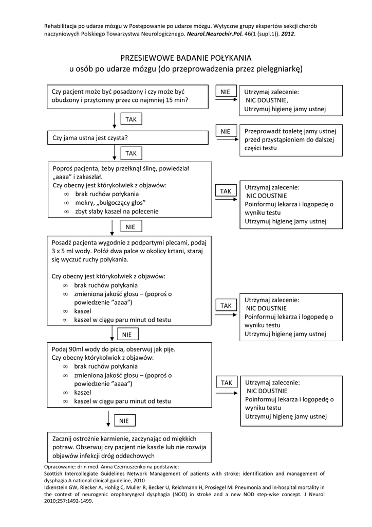
PRZESIEWOWE BADANIE POŁYKANIA
u osób po udarze mózgu (do przeprowadzenia przez pielęgniarkę)
Czy pacjent może być posadzony i czy może być
obudzony i przytomny przez co najmniej 15 min?
NIE
Utrzymaj zalecenie:
NIC DOUSTNIE,
Utrzymuj higienę jamy ustnej
NIE
Przeprowadź toaletę jamy ustnej
przed przystąpieniem do dalszej
części testu
TAK
Czy jama ustna jest czysta?
TAK
Poproś pacjenta, żeby przełknął ślinę, powiedział
„aaaa” i zakaszlał.
Czy obecny jest którykolwiek z objawów:
• brak ruchów połykania
• mokry, „bulgoczący głos”
• zbyt słaby kaszel na polecenie
TAK
NIE
Utrzymaj zalecenie:
NIC DOUSTNIE
Poinformuj lekarza i logopedę o
wyniku testu
Utrzymuj higienę jamy ustnej
Posadź pacjenta wygodnie z podpartymi plecami, podaj
3 x 5 ml wody. Połóż dwa palce w okolicy krtani, staraj
się wyczuć ruchy połykania.
Czy obecny jest którykolwiek z objawów:
• brak ruchów połykania
• zmieniona jakość głosu – (poproś o
powiedzenie ”aaaa”)
• kaszel
• kaszel w ciągu paru minut od testu
TAK
NIE
Podaj 90ml wody do picia, obserwuj jak pije.
Czy obecny którykolwiek z objawów:
• brak ruchów połykania
• zmieniona jakość głosu – (poproś o
powiedzenie ”aaaa”)
• kaszel
• kaszel w ciągu paru minut od testu
NIE
TAK
Utrzymaj zalecenie:
NIC DOUSTNIE
Poinformuj lekarza i logopedę o
wyniku testu
Utrzymuj higienę jamy ustnej
Utrzymaj zalecenie:
NIC DOUSTNIE
Poinformuj lekarza i logopedę o
wyniku testu
Utrzymuj higienę jamy ustnej
Zacznij ostrożnie karmienie, zaczynając od miękkich
potraw. Obserwuj czy pacjent nie kaszle lub nie rozwija
objawów infekcji dróg oddechowych
Opracowanie: dr.n med. Anna Czernuszenko na podstawie:
Scottish Intercollegiate Guidelines Network Management of patients with stroke: identification and management of
dysphagia A national clinical guideline, 2010
Ickenstein GW, Riecker A, Hohlig C, Muller R, Becker U, Reichmann H, Prosiegel M: Pneumonia and in-hospital mortality in
the context of neurogenic oropharyngeal dysphagia (NOD) in stroke and a new NOD step-wise concept. J Neurol
2010;257:1492-1499.