Ruch jednostajny prostoliniowy to ruch odbywający się ze stałą

Transkrypt

Ruch jednostajny prostoliniowy to ruch odbywający się ze stałą
DOŚWIADCZENIE 1: BADANIE RUCHU PROSTOLINIOWEGO JEDNOSTAJNEGO
Temat ćwiczenia:
Badanie ruchu prostoliniowego jednostajnego
Treści podstawy programowej:
13.1
Cele ćwiczenia:
 doświadczalne zbadanie ruchu jednostajnego prostoliniowego,
 kształtowanie umiejętności wykonywania pomiarów,
 kształtowanie umiejętności odpowiedniego zapisu wyników,
 kształtowanie umiejętności oszacowania niepewności pomiarowych
 kształtowanie umiejętności odpowiedniego opracowania wyników, w tym:

wykonania wykresów,

obliczenia badanych wielkości,

wykonania rachunku błędów,

krytycznego ustosunkowania się do wykonanych pomiarów.
Wstęp:
Ruch jednostajny prostoliniowy to ruch odbywający się ze stałą prędkością po linii prostej. Droga
przebyta przez ciało (równa oczywiście przemieszczeniu w przypadku ruchu jednostajnego prostoliniowego)
rośnie proporcjonalnie do czasu. Ruch ten, w najprostszym przypadku, opisują następujące równania:
.
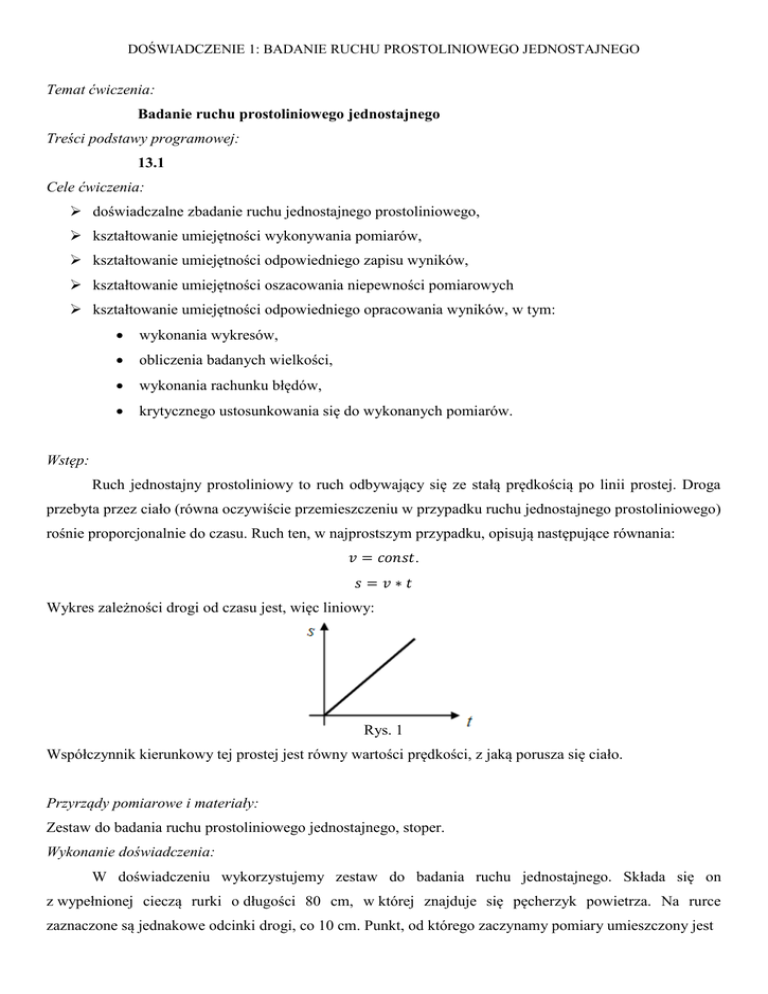
Wykres zależności drogi od czasu jest, więc liniowy:
Rys. 1
Współczynnik kierunkowy tej prostej jest równy wartości prędkości, z jaką porusza się ciało.
Przyrządy pomiarowe i materiały:
Zestaw do badania ruchu prostoliniowego jednostajnego, stoper.
Wykonanie doświadczenia:
W doświadczeniu wykorzystujemy zestaw do badania ruchu jednostajnego. Składa się on
z wypełnionej cieczą rurki o długości 80 cm, w której znajduje się pęcherzyk powietrza. Na rurce
zaznaczone są jednakowe odcinki drogi, co 10 cm. Punkt, od którego zaczynamy pomiary umieszczony jest
DOŚWIADCZENIE 1: BADANIE RUCHU PROSTOLINIOWEGO JEDNOSTAJNEGO
w pewnej odległości od początku rurki. Ustawiamy rurkę pod pewnym kątem do poziomu, mierzymy czas
(za pomocą stopera), jaki potrzebuje pęcherzyk na przebycie 10 cm, 20 cm, 30 cm, 40 cm, 50 cm i 60 cm.
Pomiary notujemy w tabeli pomiarowej.
Zestaw doświadczalny do badania ruchu prostoliniowego jednostajnego
Tabela pomiarowa:
Imię i Nazwisko:………………………………………………………..
Klasa:……………………………………………………………………
Data:………………………......................................................................
Termin zwrotu sprawozdania:………………………………………….
Temat doświadczenia: Badanie ruchu prostoliniowego jednostajnego
Miejsce: ZSP nr 3 w Zamościu
Treści podstawy programowej: 13.1
TABELA POMIAROWA
L.p.
1.
2.
3.
4.
5.
6.
7.
Droga s [m]
0
0,1
0,2
0,3
0,4
0,5
0,6
Czas t[s] pośredni
Czas t [s] - całkowity
(suma czasów
pośrednich)
0
0
s [m]
t [s]
…………………………………………………….
(podpis nauczyciela)
DOŚWIADCZENIE 1: BADANIE RUCHU PROSTOLINIOWEGO JEDNOSTAJNEGO
Wskazówki do obliczeń i dyskusji błędów:
1. Na podstawie otrzymanych wyników należy sporządzić wykres zależności przebytej drogi od czasu.
Rys. 2

Na wykresie należy zaznaczyć punkty pomiarowe oraz niepewności, jakimi są obarczone
pomiary czasu i drogi, w sposób przedstawiony na rysunku.
Rys. 3

Do punktów pomiarowych należy dobrać prostą najlepiej do nich pasującą i narysować ją na
wykresie (może się zdarzyć, że na prostej najlepiej dopasowanej do pomiarów nie będzie
leżał żaden punkt pomiarowy).

Należy pamiętać o doborze odpowiedniej skali, podpisaniu osi, podpisaniu na wykresie, w
jakich jednostkach były mierzone wielkości.
2. Obliczamy współczynnik kierunkowy prostej, który jest równy prędkości, z jaką poruszało się ciało,
a więc jednocześnie prędkość ciała. W tym celu odczytujemy z prostej czas t1 i odpowiadającą mu
drogę s1 (rys.2). A następnie obliczamy prędkość ze wzoru:
3. Obliczyć błąd, jakim obarczony jest ten pomiar ze wzoru:




Niepewność pomiaru drogi s = 0,005 cm, przyjmujemy tak dlatego, że kreska ma pewną grubość,
a odległość poszczególnych punktów od początku mierzymy za pomocą miarki o dokładności 1 mm

Niepewność pomiaru czasu t = 0,2 s, czas mierzony jest za pomocą stopera o dokładności 0,01 s,
musimy jednak uwzględnić czas reakcji przy włączaniu i wyłączaniu stopera, który jest rzędu 0,2 s
DOŚWIADCZENIE 1: BADANIE RUCHU PROSTOLINIOWEGO JEDNOSTAJNEGO
4. Wyniki obliczeń zaokrąglamy do 1 lub 2 cyfr znaczących. Przy zaokrąglaniu błędu, jakim obarczony
jest pomiar do dwu cyfr znaczących obowiązują zwykle reguły zaokrąglania, przy zaokrąglaniu
błędu do jednej cyfry znaczącej, błąd zaokrąglamy zawsze „w gorę”. Z taką samą dokładnością
podajemy prędkość.
5. Otrzymany wynik zapisujemy w postaci:

,
gdzie:
- oznacza obliczoną (odczytaną) prędkość.
 - błąd, jakim jest obarczony pomiar prędkości.
UWAGA: PRZY ZAPISIE KOŃCOWYM WARTOŚĆ I BŁĄD POMIARU PODAJEMY
Z TAKĄ SAMĄ DOKŁADNOŚCIĄ.
6. Na koniec formujemy wnioski.
PRZYKŁADOWE POMIARY
a. Wyniki pomiarów:
Lp.
Droga s[m]
Czas t[s]
pośredni
1
2
3
4
5
6
7
0,0
0,1
0,2
0,3
0,4
0,5
0,6
0,00
6,50
6,38
6,61
6,47
6,53
6,25

Czas t[s]
całkowity
(suma czasów
pośrednich)
0,00
6,50
12,88
19,49
25,95
32,48
38,73
Δs [m]
Δt [s]
0,005
0,2
Niepewność pomiaru drogi s = 0,005 cm, (przyjmujemy tak dlatego, że kreska ma pewną
grubość, a odległość poszczególnych punktów od początku mierzymy za pomocą miarki o
dokładności 1 mm)

Niepewnośc pomiaru czasu t = 0,2 s, (czas mierzony jest za pomocą stopera o dokładności
0,01 s, musimy jednak uwzględnić czas reakcji przy włączaniu i wyłączaniu stopera, który jest
rzędu 0,2 s)
b. Na podstawie otrzymanych wyników sporządzamy wykres zależności przebytej drogi od czasu s(t).
Dobieramy odpowiednią skalę, podpisujemy osie, podpisujemy na wykresie w jakich jednostkach
były mierzone wielkości. Zaznaczamy niepewności, jakimi są obarczone pomiary czasu i drogi.
DOŚWIADCZENIE 1: BADANIE RUCHU PROSTOLINIOWEGO JEDNOSTAJNEGO
c. Wykreślamy równanie prostej.
0,7
s[m]
s(t)
0,6
y = 0,0155x - 0,0002
0,5
0,4
0,3
0,2
0,1
t[s]
0
0
5
10
d. Odczytujemy z prostej czas
0,7
15
20
25
i odpowiadającą mu drogę
s[m]
30
np.:
35
=29 s,
40
45
=0,44 m
s(t)
0,6
0,5
0,4
0,3
0,2
0,1
t[s]
0
0
5
10
15
20
25
30
35
40
45
DOŚWIADCZENIE 1: BADANIE RUCHU PROSTOLINIOWEGO JEDNOSTAJNEGO
e. Obliczamy szybkość:
f. Obliczamy błąd pomiaru:



g. Ostatecznie otrzymujemy:
Wnioski:
Po wykonaniu wykresu na podstawie danych umieszczonych w tabeli pomiarowej widzimy, że
punkty pomiarowe układają się wzdłuż jednej prostej, nachylonej pod pewnym kątem do osi czasu.
Specjalnie nas to nie dziwi. Wiemy, bowiem, że w ruchu jednostajnym droga, jaką przebywa ciało, jest
wprost proporcjonalna do czasu trwania tego ruchu. Zatem ruch pęcherzyka powietrza w rurce z wodą
mamy prawo uważać za jednostajny.