sprzęt zużyty do likwidacji

Transkrypt

sprzęt zużyty do likwidacji
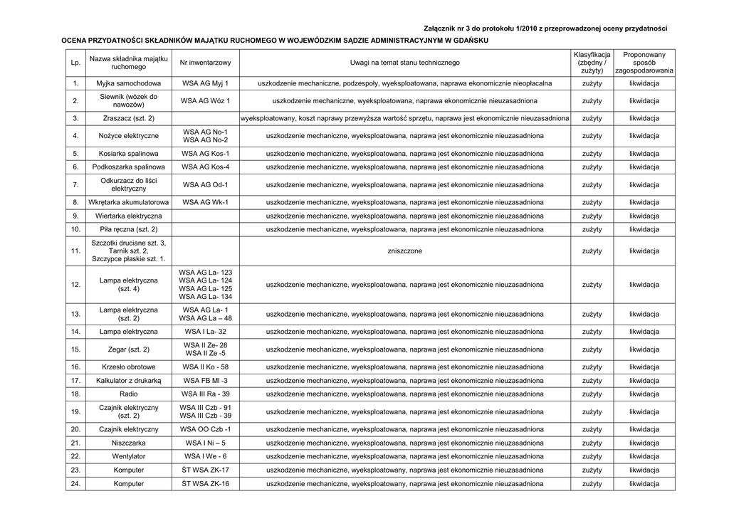
Załącznik nr 3 do protokołu 1/2010 z przeprowadzonej oceny przydatności
OCENA PRZYDATNOŚCI SKŁADNIKÓW MAJĄTKU RUCHOMEGO W WOJEWÓDZKIM SĄDZIE ADMINISTRACYJNYM W GDAŃSKU
Klasyfikacja
Proponowany
(zbędny /
sposób
zużyty)
zagospodarowania
Lp.
Nazwa składnika majątku
ruchomego
Nr inwentarzowy
Uwagi na temat stanu technicznego
1.
Myjka samochodowa
WSA AG Myj 1
uszkodzenie mechaniczne, podzespoły, wyeksploatowana, naprawa ekonomicznie nieopłacalna
zużyty
likwidacja
2.
Siewnik (wózek do
nawozów)
WSA AG Wóz 1
uszkodzenie mechaniczne, wyeksploatowana, naprawa ekonomicznie nieuzasadniona
zużyty
likwidacja
3.
Zraszacz (szt. 2)
wyeksploatowany, koszt naprawy przewyższa wartość sprzętu, naprawa jest ekonomicznie nieuzasadniona
zużyty
likwidacja
4.
Nożyce elektryczne
WSA AG No-1
WSA AG No-2
uszkodzenie mechaniczne, wyeksploatowana, naprawa jest ekonomicznie nieuzasadniona
zużyty
likwidacja
5.
Kosiarka spalinowa
WSA AG Kos-1
uszkodzenie mechaniczne, wyeksploatowana, naprawa jest ekonomicznie nieuzasadniona
zużyty
likwidacja
6.
Podkoszarka spalinowa
WSA AG Kos-4
uszkodzenie mechaniczne, wyeksploatowana, naprawa jest ekonomicznie nieuzasadniona
zużyty
likwidacja
7.
Odkurzacz do liści
elektryczny
WSA AG Od-1
uszkodzenie mechaniczne, wyeksploatowana, naprawa jest ekonomicznie nieuzasadniona
zużyty
likwidacja
8.
Wkrętarka akumulatorowa
WSA AG Wk-1
uszkodzenie mechaniczne, wyeksploatowana, naprawa jest ekonomicznie nieuzasadniona
zużyty
likwidacja
9.
Wiertarka elektryczna
uszkodzenie mechaniczne, wyeksploatowana, naprawa jest ekonomicznie nieuzasadniona
zużyty
likwidacja
10.
Piła ręczna (szt. 2)
uszkodzenie mechaniczne, wyeksploatowana, naprawa jest ekonomicznie nieuzasadniona
zużyty
likwidacja
11.
Szczotki druciane szt. 3,
Tarnik szt. 2,
Szczypce płaskie szt. 1.
zniszczone
zużyty
likwidacja
12.
Lampa elektryczna
(szt. 4)
WSA AG La- 123
WSA AG La- 124
WSA AG La- 125
WSA AG La- 134
uszkodzenie mechaniczne, wyeksploatowana, naprawa jest ekonomicznie nieuzasadniona
zużyty
likwidacja
13.
Lampa elektryczna
(szt. 2)
WSA AG La- 1
WSA AG La – 48
uszkodzenie mechaniczne, wyeksploatowana, naprawa jest ekonomicznie nieuzasadniona
zużyty
likwidacja
14.
Lampa elektryczna
WSA I La- 32
uszkodzenie mechaniczne, wyeksploatowana, naprawa jest ekonomicznie nieuzasadniona
zużyty
likwidacja
15.
Zegar (szt. 2)
WSA II Ze- 28
WSA II Ze -5
uszkodzenie mechaniczne, wyeksploatowana, naprawa jest ekonomicznie nieuzasadniona
zużyty
likwidacja
16.
Krzesło obrotowe
WSA II Ko - 58
uszkodzenie mechaniczne, wyeksploatowana, naprawa jest ekonomicznie nieuzasadniona
zużyty
likwidacja
17.
Kalkulator z drukarką
WSA FB Ml -3
uszkodzenie mechaniczne, wyeksploatowana, naprawa jest ekonomicznie nieuzasadniona
zużyty
likwidacja
18.
Radio
WSA III Ra - 39
uszkodzenie mechaniczne, wyeksploatowana, naprawa jest ekonomicznie nieuzasadniona
zużyty
likwidacja
19.
Czajnik elektryczny
(szt. 2)
WSA III Czb - 91
WSA III Czb - 39
uszkodzenie mechaniczne, wyeksploatowana, naprawa jest ekonomicznie nieuzasadniona
zużyty
likwidacja
20.
Czajnik elektryczny
WSA OO Czb -1
uszkodzenie mechaniczne, wyeksploatowana, naprawa jest ekonomicznie nieuzasadniona
zużyty
likwidacja
21.
Niszczarka
WSA I Ni – 5
uszkodzenie mechaniczne, wyeksploatowana, naprawa jest ekonomicznie nieuzasadniona
zużyty
likwidacja
22.
Wentylator
WSA I We - 6
uszkodzenie mechaniczne, wyeksploatowana, naprawa jest ekonomicznie nieuzasadniona
zużyty
likwidacja
23.
Komputer
ŚT WSA ZK-17
uszkodzenie mechaniczne, wyeksploatowany, naprawa jest ekonomicznie nieuzasadniona
zużyty
likwidacja
24.
Komputer
ŚT WSA ZK-16
uszkodzenie mechaniczne, wyeksploatowany, naprawa jest ekonomicznie nieuzasadniona
zużyty
likwidacja
Załącznik nr 3 do protokołu 1/2010 z przeprowadzonej oceny przydatności
Klasyfikacja
Proponowany
(zbędny /
sposób
zużyty)
zagospodarowania
Lp.
Nazwa składnika majątku
ruchomego
Nr inwentarzowy
Uwagi na temat stanu technicznego
25.
Komputer
ŚT WSA K-1
uszkodzenie mechaniczne, wyeksploatowany, naprawa jest ekonomicznie nieuzasadniona
zużyty
likwidacja
26
Komputer
ŚT WSA ZK-33
uszkodzenie mechaniczne, wyeksploatowany, naprawa jest ekonomicznie nieuzasadniona
zużyty
likwidacja
27
Komputer
ŚT WSA N-11
uszkodzenie mechaniczne, wyeksploatowany, naprawa jest ekonomicznie nieuzasadniona
zużyty
likwidacja
28
Komputer
ŚT WSA N-7
uszkodzenie mechaniczne, wyeksploatowany, naprawa jest ekonomicznie nieuzasadniona
zużyty
likwidacja
29
Komputer
ŚT WSA N-10
uszkodzenie mechaniczne, wyeksploatowany, naprawa jest ekonomicznie nieuzasadniona
zużyty
likwidacja
30
Komputer
ŚT WSA N-8
uszkodzenie mechaniczne, wyeksploatowany, naprawa jest ekonomicznie nieuzasadniona
zużyty
likwidacja
31
Skaner
ŚT WSA Ska-12
uszkodzenie mechaniczne, wyeksploatowany, naprawa jest ekonomicznie nieuzasadniona
zużyty
likwidacja
32
Skaner
uszkodzenie mechaniczne, wyeksploatowany, naprawa jest ekonomicznie nieuzasadniona
zużyty
likwidacja
33
Skaner
ŚT WSA Ska-2
uszkodzenie mechaniczne, wyeksploatowany, naprawa jest ekonomicznie nieuzasadniona
zużyty
likwidacja
34
Skaner
ŚT WSA Ska-1
uszkodzenie mechaniczne, wyeksploatowany, naprawa jest ekonomicznie nieuzasadniona
zużyty
likwidacja
35
Skaner
WSA II Ska-1
uszkodzenie mechaniczne, wyeksploatowany, naprawa jest ekonomicznie nieuzasadniona
zużyty
likwidacja
36
Skaner
WSA II Ska-5
uszkodzenie mechaniczne, wyeksploatowany, naprawa jest ekonomicznie nieuzasadniona
zużyty
likwidacja
37
Skaner
WSA II Ska-2
uszkodzenie mechaniczne, wyeksploatowany, naprawa jest ekonomicznie nieuzasadniona
zużyty
likwidacja
38
Zasilacz UPS
WSA I U-37
uszkodzenie mechaniczne, wyeksploatowany, naprawa jest ekonomicznie nieuzasadniona
zużyty
likwidacja
39
Zasilacz UPS
WSA II U-50
uszkodzenie mechaniczne, wyeksploatowany, naprawa jest ekonomicznie nieuzasadniona
zużyty
likwidacja
40
Zasilacz UPS
WSA IV U-39
uszkodzenie mechaniczne, wyeksploatowany, naprawa jest ekonomicznie nieuzasadniona
zużyty
likwidacja
41
Zasilacz UPS
uszkodzenie mechaniczne, wyeksploatowany, naprawa jest ekonomicznie nieuzasadniona
zużyty
likwidacja
42
Zasilacz UPS
ŚT WSA ZK-4
uszkodzenie mechaniczne, wyeksploatowany, naprawa jest ekonomicznie nieuzasadniona
zużyty
likwidacja
43
Zasilacz UPS
ŚT WSA U-27
uszkodzenie mechaniczne, wyeksploatowany, naprawa jest ekonomicznie nieuzasadniona
zużyty
likwidacja
44
Zasilacz UPS
ŚT WSA U-29
uszkodzenie mechaniczne, wyeksploatowany, naprawa jest ekonomicznie nieuzasadniona
zużyty
likwidacja
45
Zasilacz UPS
ŚT WSA U-30
uszkodzenie mechaniczne, wyeksploatowany, naprawa jest ekonomicznie nieuzasadniona
zużyty
likwidacja
46
Zasilacz UPS
WSA FB U-11
uszkodzenie mechaniczne, wyeksploatowany, naprawa jest ekonomicznie nieuzasadniona
zużyty
likwidacja
47
Zasilacz UPS
WSA II U-62
uszkodzenie mechaniczne, wyeksploatowany, naprawa jest ekonomicznie nieuzasadniona
zużyty
likwidacja
48
Zasilacz UPS
WSA IV U-38
uszkodzenie mechaniczne, wyeksploatowany, naprawa jest ekonomicznie nieuzasadniona
zużyty
likwidacja
49
Zasilacz UPS
WSA IV U-40
uszkodzenie mechaniczne, wyeksploatowany, naprawa jest ekonomicznie nieuzasadniona
zużyty
likwidacja
50
Zasilacz UPS
WSA I U-8
uszkodzenie mechaniczne, wyeksploatowany, naprawa jest ekonomicznie nieuzasadniona
zużyty
likwidacja
51
Zasilacz UPS
WSA IV U-32
uszkodzenie mechaniczne, wyeksploatowany, naprawa jest ekonomicznie nieuzasadniona
zużyty
likwidacja
52
Zasilacz UPS
ŚT WSA U-2
uszkodzenie mechaniczne, wyeksploatowany, naprawa jest ekonomicznie nieuzasadniona
zużyty
likwidacja
53
Zasilacz UPS
ŚT WSA U-46
uszkodzenie mechaniczne, wyeksploatowany, naprawa jest ekonomicznie nieuzasadniona
zużyty
likwidacja
54
Zasilacz UPS
ŚT WSA U-54
uszkodzenie mechaniczne, wyeksploatowany, naprawa jest ekonomicznie nieuzasadniona
zużyty
likwidacja
55
Zasilacz UPS
ŚT WSA U-7
uszkodzenie mechaniczne, wyeksploatowany, naprawa jest ekonomicznie nieuzasadniona
zużyty
likwidacja
Załącznik nr 3 do protokołu 1/2010 z przeprowadzonej oceny przydatności
Klasyfikacja
Proponowany
(zbędny /
sposób
zużyty)
zagospodarowania
Lp.
Nazwa składnika majątku
ruchomego
Nr inwentarzowy
Uwagi na temat stanu technicznego
56
Zasilacz UPS
WSA II U-48
uszkodzenie mechaniczne, wyeksploatowany, naprawa jest ekonomicznie nieuzasadniona
zużyty
likwidacja
57
Monitor
WSA M-59
uszkodzenie mechaniczne, wyeksploatowany, naprawa jest ekonomicznie nieuzasadniona
zużyty
likwidacja
58
Monitor
ŚT WSA ZK-35
uszkodzenie mechaniczne, wyeksploatowany, naprawa jest ekonomicznie nieuzasadniona
zużyty
likwidacja
59
Monitor
WSA IV M-51
uszkodzenie mechaniczne, wyeksploatowany, naprawa jest ekonomicznie nieuzasadniona
zużyty
likwidacja
60
Monitor
ŚT WSA M-10
uszkodzenie mechaniczne, wyeksploatowany, naprawa jest ekonomicznie nieuzasadniona
zużyty
likwidacja
61
Monitor
ŚT WSA M-11
uszkodzenie mechaniczne, wyeksploatowany, naprawa jest ekonomicznie nieuzasadniona
zużyty
likwidacja
62
Monitor
ŚT WSA M-12
uszkodzenie mechaniczne, wyeksploatowany, naprawa jest ekonomicznie nieuzasadniona
zużyty
likwidacja
63
Monitor
ŚT WSA M-7
uszkodzenie mechaniczne, wyeksploatowany, naprawa jest ekonomicznie nieuzasadniona
zużyty
likwidacja
64
Monitor
ŚT WSA M-8
uszkodzenie mechaniczne, wyeksploatowany, naprawa jest ekonomicznie nieuzasadniona
zużyty
likwidacja
65
Monitor
ŚT WSA M-9
uszkodzenie mechaniczne, wyeksploatowany, naprawa jest ekonomicznie nieuzasadniona
zużyty
likwidacja
66
Monitor
ŚT WSA M-3
uszkodzenie mechaniczne, wyeksploatowany, naprawa jest ekonomicznie nieuzasadniona
zużyty
likwidacja
67
Monitor
ŚT WSA M-66
uszkodzenie mechaniczne, wyeksploatowany, naprawa jest ekonomicznie nieuzasadniona
zużyty
likwidacja
68
Monitor
ŚT WSA M-71
uszkodzenie mechaniczne, wyeksploatowany, naprawa jest ekonomicznie nieuzasadniona
zużyty
likwidacja
69
Monitor
ŚT WSA M-72
uszkodzenie mechaniczne, wyeksploatowany, naprawa jest ekonomicznie nieuzasadniona
zużyty
likwidacja
70
Monitor
ŚT WSA M-73
uszkodzenie mechaniczne, wyeksploatowany, naprawa jest ekonomicznie nieuzasadniona
zużyty
likwidacja
71
Drukarka
ŚT WSA D-14
uszkodzenie mechaniczne, wyeksploatowany, naprawa jest ekonomicznie nieuzasadniona
zużyty
likwidacja
72
Drukarka
ŚT WSA D-3
uszkodzenie mechaniczne, wyeksploatowany, naprawa jest ekonomicznie nieuzasadniona
zużyty
likwidacja
73
Drukarka
ŚT WSA D-4
uszkodzenie mechaniczne, wyeksploatowany, naprawa jest ekonomicznie nieuzasadniona
zużyty
likwidacja
74
Drukarka
ŚT WSA D-6
uszkodzenie mechaniczne, wyeksploatowany, naprawa jest ekonomicznie nieuzasadniona
zużyty
likwidacja
75
Drukarka
ŚT WSA D-7
uszkodzenie mechaniczne, wyeksploatowany, naprawa jest ekonomicznie nieuzasadniona
zużyty
likwidacja
76
Drukarka
WSA FB D-2
uszkodzenie mechaniczne, wyeksploatowany, naprawa jest ekonomicznie nieuzasadniona
zużyty
likwidacja
77
Drukarka
ŚT WSA D-30
uszkodzenie mechaniczne, wyeksploatowany, naprawa jest ekonomicznie nieuzasadniona
zużyty
likwidacja
78
Drukarka
ŚT WSA D-31
uszkodzenie mechaniczne, wyeksploatowany, naprawa jest ekonomicznie nieuzasadniona
zużyty
likwidacja
79
Drukarka
ŚT WSA D-32
uszkodzenie mechaniczne, wyeksploatowany, naprawa jest ekonomicznie nieuzasadniona
zużyty
likwidacja
80
Drukarka
ŚT WSA D-33
uszkodzenie mechaniczne, wyeksploatowany, naprawa jest ekonomicznie nieuzasadniona
zużyty
likwidacja
81
Drukarka
ŚT WSA D-35
uszkodzenie mechaniczne, wyeksploatowany, naprawa jest ekonomicznie nieuzasadniona
zużyty
likwidacja
82
Drukarka
ŚT WSA D-37
uszkodzenie mechaniczne, wyeksploatowany, naprawa jest ekonomicznie nieuzasadniona
zużyty
likwidacja
83
Drukarka
ŚT WSA D-41
uszkodzenie mechaniczne, wyeksploatowany, naprawa jest ekonomicznie nieuzasadniona
zużyty
likwidacja
84
Drukarka
ŚT WSA D-42
uszkodzenie mechaniczne, wyeksploatowany, naprawa jest ekonomicznie nieuzasadniona
zużyty
likwidacja
85
Drukarka
ŚT WSA D-43
uszkodzenie mechaniczne, wyeksploatowany, naprawa jest ekonomicznie nieuzasadniona
zużyty
likwidacja
86
Drukarka
WSA IV D-9
uszkodzenie mechaniczne, wyeksploatowany, naprawa jest ekonomicznie nieuzasadniona
zużyty
likwidacja
Załącznik nr 3 do protokołu 1/2010 z przeprowadzonej oceny przydatności
Klasyfikacja
Proponowany
(zbędny /
sposób
zużyty)
zagospodarowania
Lp.
Nazwa składnika majątku
ruchomego
Nr inwentarzowy
Uwagi na temat stanu technicznego
87
Drukarka
WSA AG D-15
uszkodzenie mechaniczne, wyeksploatowany, naprawa jest ekonomicznie nieuzasadniona
zużyty
likwidacja
88
Drukarka
WSA I D-17
uszkodzenie mechaniczne, wyeksploatowany, naprawa jest ekonomicznie nieuzasadniona
zużyty
likwidacja
89
Drukarka
ŚT WSA D-34
uszkodzenie mechaniczne, wyeksploatowany, naprawa jest ekonomicznie nieuzasadniona
zużyty
likwidacja
90
Drukarka
ŚT WSA D-44
uszkodzenie mechaniczne, wyeksploatowany, naprawa jest ekonomicznie nieuzasadniona
zużyty
likwidacja
91
Drukarka
WSA I D-14
uszkodzenie mechaniczne, wyeksploatowany, naprawa jest ekonomicznie nieuzasadniona
zużyty
likwidacja
92
Drukarka
WSA I D-18
uszkodzenie mechaniczne, wyeksploatowany, naprawa jest ekonomicznie nieuzasadniona
zużyty
likwidacja
93
Drukarka
WSA I D-5
uszkodzenie mechaniczne, wyeksploatowany, naprawa jest ekonomicznie nieuzasadniona
zużyty
likwidacja
94
Drukarka
WSA I D-6
uszkodzenie mechaniczne, wyeksploatowany, naprawa jest ekonomicznie nieuzasadniona
zużyty
likwidacja
95
Drukarka
WSA II D-10
uszkodzenie mechaniczne, wyeksploatowany, naprawa jest ekonomicznie nieuzasadniona
zużyty
likwidacja
96
Drukarka
WSA II D-11
uszkodzenie mechaniczne, wyeksploatowany, naprawa jest ekonomicznie nieuzasadniona
zużyty
likwidacja
97
Drukarka
WSA II D-12
uszkodzenie mechaniczne, wyeksploatowany, naprawa jest ekonomicznie nieuzasadniona
zużyty
likwidacja
98
Drukarka
WSA II D-13
uszkodzenie mechaniczne, wyeksploatowany, naprawa jest ekonomicznie nieuzasadniona
zużyty
likwidacja
99
Drukarka
WSA II D-7
uszkodzenie mechaniczne, wyeksploatowany, naprawa jest ekonomicznie nieuzasadniona
zużyty
likwidacja
100
Drukarka
WSA III D-8
uszkodzenie mechaniczne, wyeksploatowany, naprawa jest ekonomicznie nieuzasadniona
zużyty
likwidacja
101
Drukarka
WSA IV D-21
uszkodzenie mechaniczne, wyeksploatowany, naprawa jest ekonomicznie nieuzasadniona
zużyty
likwidacja
102
Drukarka
ŚT WSA ZK-3
uszkodzenie mechaniczne, wyeksploatowany, naprawa jest ekonomicznie nieuzasadniona
zużyty
likwidacja
103
Drukarka
ŚT WSA ZK-33
uszkodzenie mechaniczne, wyeksploatowany, naprawa jest ekonomicznie nieuzasadniona
zużyty
likwidacja
104
Drukarka
WSA I D-46
uszkodzenie mechaniczne, wyeksploatowany, naprawa jest ekonomicznie nieuzasadniona
zużyty
likwidacja
105
Drukarka
WSA I D-47
uszkodzenie mechaniczne, wyeksploatowany, naprawa jest ekonomicznie nieuzasadniona
zużyty
likwidacja
106
Drukarka
WSA IV D-50
uszkodzenie mechaniczne, wyeksploatowany, naprawa jest ekonomicznie nieuzasadniona
zużyty
likwidacja
407
Telefax
WSA FB Tx-3
uszkodzenie mechaniczne, wyeksploatowany, naprawa jest ekonomicznie nieuzasadniona
zużyty
likwidacja
108
Telefax
WSA OO Tx-1
uszkodzenie mechaniczne, wyeksploatowany, naprawa jest ekonomicznie nieuzasadniona
zużyty
likwidacja
109
Telefon
WSA AG At-31
uszkodzenie mechaniczne, wyeksploatowany, naprawa jest ekonomicznie nieuzasadniona
zużyty
likwidacja
110
Telefon
WSA I At-41
uszkodzenie mechaniczne, wyeksploatowany, naprawa jest ekonomicznie nieuzasadniona
zużyty
likwidacja
111
Telefon
WSA I At-43
uszkodzenie mechaniczne, wyeksploatowany, naprawa jest ekonomicznie nieuzasadniona
zużyty
likwidacja
112
Pościel
Zniszczone, zabrudzone trwale.
zużyty
likwidacja
113
Ręczniki
Zniszczone, zabrudzone trwale.
zużyty
likwidacja
Poszwy - 19 szt.
Poszewki - 28 szt.
69 szt.