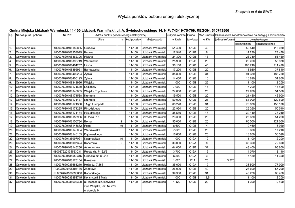
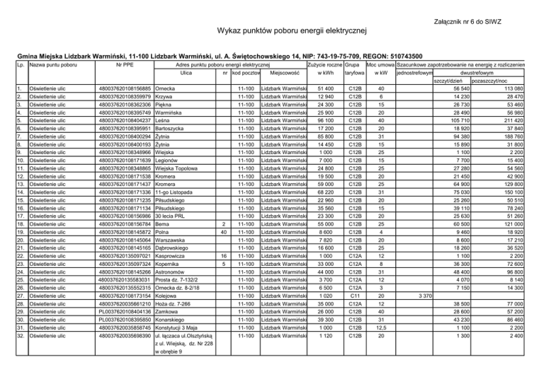
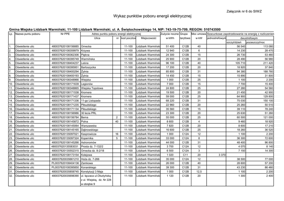
Wykaz punktów poboru energii elektrycznej

Transkrypt

Wykaz punktów poboru energii elektrycznej
Załącznik nr 6 do SIWZ
Wykaz punktów poboru energii elektrycznej
Gmina Miejska Lidzbark Warmiński, 11-100 Lidzbark Warmiński, ul. A. Świętochowskiego 14, NIP: 743-19-75-709, REGON: 510743500
Lp. Nazwa puntu poboru
Nr PPE
Zużycie roczne Grupa
Adres punktu poboru energii elektrycznej
Ulica
nr kod pocztowy
Moc umowa Szacunkowe zapotrzebowanie na energię z rozliczeniem
Miejscowość
w kWh
taryfowa
w kW
jednostrefowym
dwustrefowym
szczyt/dzień
pozaszczyt/noc
1.
Oświetlenie ulic
480037620108156885 Ornecka
11-100
Lidzbark Warmiński
51 400
C12B
40
56 540
113 080
2.
Oświetlenie ulic
480037620108359979 Krzywa
11-100
Lidzbark Warmiński
12 940
C12B
6
14 230
28 470
3.
Oświetlenie ulic
480037620108362306 Piękna
11-100
Lidzbark Warmiński
24 300
C12B
15
26 730
53 460
4.
Oświetlenie ulic
480037620108395749 Warmińska
11-100
Lidzbark Warmiński
25 900
C12B
20
28 490
56 980
5.
Oświetlenie ulic
480037620108404237 Leśna
11-100
Lidzbark Warmiński
96 100
C12B
40
105 710
211 420
6.
Oświetlenie ulic
480037620108395951 Bartoszycka
11-100
Lidzbark Warmiński
17 200
C12B
20
18 920
37 840
7.
Oświetlenie ulic
480037620108400294 Żytnia
11-100
Lidzbark Warmiński
85 800
C12B
31
94 380
188 760
8.
Oświetlenie ulic
480037620108400193 Żytnia
11-100
Lidzbark Warmiński
14 450
C12B
15
15 890
31 800
9.
Oświetlenie ulic
480037620108348966 Wiejska
11-100
Lidzbark Warmiński
1 000
C12B
25
1 100
2 200
10. Oświetlenie ulic
480037620108171639 Legionów
11-100
Lidzbark Warmiński
7 000
C12B
15
7 700
15 400
11. Oświetlenie ulic
480037620108348865 Wiejska Topolowa
11-100
Lidzbark Warmiński
24 800
C12B
25
27 280
54 560
12. Oświetlenie ulic
480037620108171538 Kromera
11-100
Lidzbark Warmiński
19 500
C12B
20
21 450
42 900
13. Oświetlenie ulic
480037620108171437 Kromera
11-100
Lidzbark Warmiński
59 000
C12B
25
64 900
129 800
14. Oświetlenie ulic
480037620108171336 11-go Listopada
11-100
Lidzbark Warmiński
68 220
C12B
31
75 030
150 100
15. Oświetlenie ulic
480037620108171235 Piłsudskiego
11-100
Lidzbark Warmiński
22 960
C12B
20
25 260
50 510
16. Oświetlenie ulic
480037620108171134 Piłsudskiego
11-100
Lidzbark Warmiński
35 560
C12B
15
39 110
78 240
17. Oświetlenie ulic
480037620108156986 30 lecia PRL
11-100
Lidzbark Warmiński
23 300
C12B
20
25 630
51 260
18. Oświetlenie ulic
480037620108156784 Bema
2
11-100
Lidzbark Warmiński
55 000
C12B
25
60 500
121 000
19. Oświetlenie ulic
480037620108145872 Polna
40
11-100
Lidzbark Warmiński
8 600
C12B
4
9 460
18 920
20. Oświetlenie ulic
480037620108145064 Warszawska
11-100
Lidzbark Warmiński
7 820
C12B
20
8 600
17 210
21. Oświetlenie ulic
480037620108145165 Dąbrowskiego
11-100
Lidzbark Warmiński
16 600
C12B
25
18 260
36 520
22. Oświetlenie ulic
480037620135097021 Kasprowicza
16
11-100
Lidzbark Warmiński
1 000
C12A
12
1 100
2 200
23. Oświetlenie ulic
480037620135097324 Kopernika
5
11-100
Lidzbark Warmiński
33 000
C12A
8
36 300
72 600
96 800
24. Oświetlenie ulic
480037620108145266 Astronomów
11-100
Lidzbark Warmiński
44 000
C12B
31
48 400
25. Oświetlenie ulic
480037620135583031
11-100
Lidzbark Warmiński
3 700
C12A
12
4 070
8 140
26. Oświetlenie ulic
480037620135552315 Ornecka dz. 8-2/18
11-100
Lidzbark Warmiński
6 500
C12A
3
7 150
14 300
27. Oświetlenie ulic
480037620108173154 Kolejowa
11-100
Lidzbark Warmiński
1 020
C11
20
28. Oświetlenie ulic
480037620035661210 Hoża dz. 7-266
11-100
Lidzbark Warmiński
35 000
C12A
12
38 500
77 000
29. Oświetlenie ulic
PL0037620108404136 Zamkowa
11-100
Lidzbark Warmiński
26 000
C12B
40
28 600
57 200
30. Oświetlenie ulic
PL0037620108395850 Konarskiego
11-100
Lidzbark Warmiński
39 300
C12B
31
43 230
86 460
31. Oświetlenie ulic
480037620035858745 Konstytucji 3 Maja
11-100
Lidzbark Warmiński
1 000
C12B
12,5
1 100
2 200
32. Oświetlenie ulic
480037620035698390 ul. łączaca ul.Olsztyńską
11-100
Lidzbark Warmiński
1 120
C12B
20
1 300
2 400
Prosta dz. 7-132/2
z ul. Wiejską, dz. Nr 228
w obrębie 9
3 370
33. Oświetlenie ulic
480037620035686771 Olsztyńska, dz.Nr 13/107
11-100
Lidzbark Warmiński
38 000
C12B
10,5
41 800
83 600
1 920 000
1 080 000
2 916 720
3 073 330
i 11/4, w obrębie 1
11-100
Lidzbark Warmiński
54 000
C11
31
35. Magazyn, zaplecze socjalne 480037620106071385 Dąbrowskiego
22
11-100
Lidzbark Warmiński
1 300
C11
20
4 290
36. Urząd Miejski
480037620033506695 Świętochowskiego
14
11-100
Lidzbark Warmiński
134 350
C11
40
443 360
37. Biuro Referatu JRP
PL0037620035648375 11 Listopada
20
11-100
Lidzbark Warmiński
15 610
C11
12
51 510
38. Oczyszczalnia ścieków
480037620033617136 Kanałowa
22
11-100
Lidzbark Warmiński
1 000 000
C22b
220
34. Fontanna
480037620108405853 Kaczyńskiego
RAZEM:
178 200
680 730
Przedszkole Nr 5 - "PIĄTECZKA" NIP: 743-17-99-661, REGON: 170973110
Lp. Nazwa puntu poboru
Nr PPE
Zużycie roczne Grupa
Adres punktu poboru energii elektrycznej
Ulica
nr kod pocztowy
Miejscowość
w kWh
taryfowa
Moc umowa Szacunkowe zapotrzebowanie na energię z rozliczeniem
w kW
jednostrefowym
dwustrefowym
szczyt/dzień
1.
Przedszkole Nr 5
480037620108185379 Wodna
9
11-100
Lidzbark Warmiński
15 000
C11
15
49 500
pozaszczyt/noc
0
0
Miejska Biblioteka Publiczna NIP: 743-10-29-940, REGON: 001323745
Lp. Nazwa puntu poboru
Nr PPE
Zużycie roczne Grupa
Adres punktu poboru energii elektrycznej
Ulica
nr kod pocztowy
Miejscowość
w kWh
taryfowa
Moc umowa Szacunkowe zapotrzebowanie na energię z rozliczeniem
w kW
jednostrefowym
dwustrefowym
szczyt/dzień
pozaszczyt/noc
1.
Miejska Biblioteka Publiczna 480037620108353919 Ratuszowa
4
11-100
Lidzbark Warmiński
12 150
C11
15
40 100
0
0
2.
Miejska Biblioteka Publiczna 480037620108354020 Ratuszowa
5
11-100
Lidzbark Warmiński
16 500
C11
40
54 500
0
0
94 600
0
0
Razem:
Miejski Ośrodek Pomocy Społecznej NIP: 743-10-76-744, REGON: 004445093
Lp. Nazwa puntu poboru
Nr PPE
Zużycie roczne Grupa
Adres punktu poboru energii elektrycznej
Ulica
nr kod pocztowy
Miejscowość
w kWh
taryfowa
Moc umowa Szacunkowe zapotrzebowanie na energię z rozliczeniem
w kW
jednostrefowym
dwustrefowym
szczyt/dzień
1.
Miejski Ośrodek Pomocy Społecznej
480037620108396052 Góreckiego
2.
Noclegownia
480037620108168710 Lipowa
pozaszczyt/noc
7
11-100
Lidzbark Warmiński
20 310
C11
20
67 000
0
0
21B
11-100
Lidzbark Warmiński
4 940
G11
5
16 300
0
0
83 300
0
0
Razem:
Lidzbarski Dom Kultury NIP: 743-13-12-535, REGON: 000791303
Lp. Nazwa puntu poboru
Nr PPE
Zużycie roczne Grupa
Adres punktu poboru energii elektrycznej
Ulica
nr kod pocztowy
Miejscowość
w kWh
taryfowa
Moc umowa Szacunkowe zapotrzebowanie na energię z rozliczeniem
w kW
jednostrefowym
dwustrefowym
szczyt/dzień
1.
Lidzbarski Dom Kultury
480037620108347148 Słowackiego
Gimnazjum Nr 1 NIP: 743-17-71-763, REGON: 170769668
4
11-100
Lidzbark Warmiński
26 790
C11
40
88 400
pozaszczyt/noc
0
0
Lp. Nazwa puntu poboru
Nr PPE
Zużycie roczne Grupa
Adres punktu poboru energii elektrycznej
Ulica
nr kod pocztowy
Miejscowość
w kWh
taryfowa
Moc umowa Szacunkowe zapotrzebowanie na energię z rozliczeniem
w kW
jednostrefowym
dwustrefowym
szczyt/dzień
1.
Gimnazjum Nr 1
480037620108406156 Szkolna
2A
11-100
Lidzbark Warmiński
57 060
C11
31
188 300
pozaszczyt/noc
0
0
Gimnazjum Nr 2 NIP: 743-17-71-740, REGON: 170769674
Lp. Nazwa puntu poboru
Nr PPE
Zużycie roczne Grupa
Adres punktu poboru energii elektrycznej
Ulica
nr kod pocztowy
Miejscowość
w kWh
taryfowa
Moc umowa Szacunkowe zapotrzebowanie na energię z rozliczeniem
w kW
jednostrefowym
dwustrefowym
szczyt/dzień
1.
Gimnazjum Nr 2
480037620135448645 Polna
36
11-100
Lidzbark Warmiński
42 010
C11
33
138 600
pozaszczyt/noc
0
0
Zespół Szkolno-Przedszkolny NIP: 743-19-49-178, REGON: 280226543
Lp. Nazwa puntu poboru
Nr PPE
Zużycie roczne Grupa
Adres punktu poboru energii elektrycznej
Ulica
nr kod pocztowy
Miejscowość
w kWh
taryfowa
Moc umowa Szacunkowe zapotrzebowanie na energię z rozliczeniem
w kW
jednostrefowym
dwustrefowym
szczyt/dzień
1.
Zespół Szkolno-Przedszkolny 480037620108143751 Polna
36
11-100
Lidzbark Warmiński
58 220
C11
40
192 100
pozaszczyt/noc
0
0
Szkoła Podstawowa nr 1 NIP: 743-17-71-757, REGON: 007013141
Lp. Nazwa puntu poboru
Nr PPE
Zużycie roczne Grupa
Adres punktu poboru energii elektrycznej
Ulica
nr kod pocztowy
Miejscowość
w kWh
taryfowa
Moc umowa Szacunkowe zapotrzebowanie na energię z rozliczeniem
w kW
jednostrefowym
dwustrefowym
szczyt/dzień
1.
Szkoła Podstawowa nr 1
480037620108405752 Szkolna
2B
11-100
Lidzbark Warmiński
52 540
C11
25
173 400
pozaszczyt/noc
0
0
Szkoła Podstawowa nr 3 NIP: 743-17-71-728, REGON: 007008476
Lp. Nazwa puntu poboru
Nr PPE
Zużycie roczne Grupa
Adres punktu poboru energii elektrycznej
Ulica
nr kod pocztowy
Miejscowość
w kWh
taryfowa
Moc umowa Szacunkowe zapotrzebowanie na energię z rozliczeniem
w kW
jednostrefowym
dwustrefowym
szczyt/dzień
1.
Szkoła Podstawowa nr 3
480037620108170528 Lipowa
17A
11-100
Lidzbark Warmiński
85 130
C11
40
280 900
pozaszczyt/noc
0
0
Ośrodek Sportu i Rekreacji NIP: 743-16-92-779, REGON: 000331240
Lp. Nazwa puntu poboru
Nr PPE
Zużycie roczne Grupa
Adres punktu poboru energii elektrycznej
Ulica
nr kod pocztowy
Miejscowość
w kWh
taryfowa
Moc umowa Szacunkowe zapotrzebowanie na energię z rozliczeniem
w kW
jednostrefowym
dwustrefowym
szczyt/dzień
pozaszczyt/noc
1.
Ośrodek Sportu i Rekreacji
480037620108392012 Bartoszycka
24
11-100
Lidzbark Warmiński
9 520
C11
25
31 400
0
0
2.
Stadion
480037620035338985 Bartoszycka
24
11-100
Lidzbark Warmiński
5 860
C21
120
19 400
0
0
3.
Targowisko
480037620108141428 Ogrodowa
11-100
Lidzbark Warmiński
7 770
C11
15
25 600
0
0
4.
Punkt Informacji Turystycznej 480037620108176386 Wysokiej Bramy
11-100
Lidzbark Warmiński
9 390
C11
8
31 000
0
0
2
5.
Plaża Miejska
480037620135576866 Wielochowo
11-100
Wielochowo
3 180
C11
25
Razem:
10 500
0
0
117 900
0
0
Miejski Zespół Ekonomiczno-Administracyjny Szkół i Przedszkoli NIP: 743-10-20-904, REGON: 510360175
Lp. Nazwa puntu poboru
Nr PPE
Zużycie roczne Grupa
Adres punktu poboru energii elektrycznej
Ulica
nr kod pocztowy
Miejscowość
w kWh
taryfowa
Moc umowa Szacunkowe zapotrzebowanie na energię z rozliczeniem
w kW
jednostrefowym
dwustrefowym
szczyt/dzień
pozaszczyt/noc
1.
MZEASiP
480037620108185581 Poniatowskiego
22
11-100
Lidzbark Warmiński
7 050
C11
15
23 300
0
0
2.
Hala Sportowa
480037620033473151 Polna
36
11-100
Lidzbark Warmiński
83 450
C21
56
275 400
0
0
298 700
0
0
Razem:
czeniem
czeniem
czeniem
czeniem
czeniem
czeniem
czeniem
czeniem
czeniem
czeniem
czeniem
czeniem