Wykaz zabytków

Transkrypt

Wykaz zabytków
ZMIANA STUDIUM UWARUNKOWA I KIERUNKÓW ZAGOSPODAROWANIA PRZESTRZENNEGO GMINY LE NA
ZA
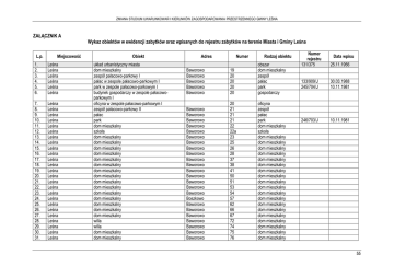
CZNIK A
Wykaz obiektów w ewidencji zabytków oraz wpisanych do rejestru zabytków na terenie Miasta i Gminy Le na
L.p.
Miejscowo
1.
2.
3.
4.
5.
6.
Le
Le
Le
Le
Le
Le
na
na
na
na
na
na
7.
8.
9.
10.
11.
12.
13.
14.
15.
16.
17.
18.
19.
20.
21.
22.
23.
24.
25.
26.
27.
28.
29.
30.
31.
Le
Le
Le
Le
Le
Le
Le
Le
Le
Le
Le
Le
Le
Le
Le
Le
Le
Le
Le
Le
Le
Le
Le
Le
Le
na
na
na
na
na
na
na
na
na
na
na
na
na
na
na
na
na
na
na
na
na
na
na
na
na
Obiekt
uk ad urbanistyczny miasta
dom mieszkalny
zespó pa acowo-parkowy I
pa ac w zespole pa acowo-parkowym I
park w zespole pa acowo-parkowym I
budynek gospodarczy w zespole pa acowoparkowym I
oficyna w zespole pa acowo-parkowym I
zespó pa acowo-parkowy II
pa ac
park
dom mieszkalny
szko a
dom mieszkalny
dom mieszkalny
dom mieszkalny
dom mieszkalny
dom mieszkalny
dom mieszkalny
dom mieszkalny
dom mieszkalny
dom mieszkalny
dom mieszkalny
dom mieszkalny
dom mieszkalny
dom mieszkalny
dom mieszkalny
dom mieszkalny
willa
willa
dom mieszkalny
dom mieszkalny
Adres
Numer
Rodzaj obiektu
Baworowo
Baworowo
Baworowo
Baworowo
Baworowo
19
20
20
20
20
obszar
dom mieszkalny
zespó
pa ac
park
gospodarczy
Baworowo
Baworowo
Baworowo
Baworowo
Baworowo
Baworowo
Baworowo
Baworowo
Baworowo
Baworowo
Baworowo
Baworowo
Baworowo
Baworowo
Baworowo
Baworowo
Boszkowo
Baworowo
Baworowo
Baworowo
Baworowo
Baworowo
Baworowo
Baworowo
20
21
21
21
22
22a
23
25
26
28
37
38
41
50
51
53
54
57
62
66
67
72
74
75
76
oficyna
zespó
pa ac
park
dom mieszkalny
szko a
dom mieszkalny
dom mieszkalny
dom mieszkalny
dom mieszkalny
dom mieszkalny
dom mieszkalny
dom mieszkalny
dom mieszkalny
dom mieszkalny
dom mieszkalny
dom mieszkalny
dom mieszkalny
dom mieszkalny
dom mieszkalny
dom mieszkalny
dom mieszkalny
dom mieszkalny
dom mieszkalny
dom mieszkalny
Numer
rejestru
131/375
25.11.1956
133/909/J
245/704/J
30.03.1988
10.11.1981
246/703/J
10.11.1981
Data wpisu
55
ZMIANA STUDIUM UWARUNKOWA I KIERUNKÓW ZAGOSPODAROWANIA PRZESTRZENNEGO GMINY LE NA
32.
33.
34.
35.
36.
37.
38.
39.
40.
41.
42.
43.
44.
45.
46.
47.
48.
49.
50.
51.
52.
53.
54.
55.
56.
57.
58.
59.
60.
61.
62.
63.
64.
65.
66.
67.
68.
Le
Le
Le
Le
Le
Le
Le
Le
Le
Le
Le
Le
Le
Le
Le
Le
Le
Le
Le
Le
Le
Le
Le
Le
Le
Le
Le
Le
Le
Le
Le
Le
Le
Le
Le
Le
Le
na
na
na
na
na
na
na
na
na
na
na
na
na
na
na
na
na
na
na
na
na
na
na
na
na
na
na
na
na
na
na
na
na
na
na
na
na
Willa
dom mieszkalny
dom mieszkalny, ob. szko a
dom mieszkalno-gospodarczy
dom mieszkalny
dom mieszkalny
dom mieszkalny
dom mieszkalny
dom mieszkalny
dom mieszkalny
transformator
dom mieszkalny
dom mieszkalny
dom mieszkalny
dom mieszkalny
dom mieszkalny
dom mieszkalny
dom mieszkalny
dom mieszkalny
dom mieszkalny
dom mieszkalny
dom mieszkalny
dom mieszkalny
dom mieszkalny
mleczarnia
dom mieszkalny
dom mieszkalny
dom mieszkalny
dom mieszkalny
dom mieszkalny
dom mieszkalny
dom mieszkalny
Transformator
dom mieszkalny
dom mieszkalny
dom mieszkalny
dom mieszkalny
Baworowo
Baworowo
Baworowo
Baworowo
Baworowo
Baworowo
Baworowo
Baworowo
Baworowo
Baworowo
Baworowo
Baworowo
Kochanowskiego
Kochanowskiego
Kochanowskiego
Kochanowskiego
Kochanowskiego
Kochanowskiego
Kochanowskiego
Kochanowskiego
Kochanowskiego
Kochanowskiego
Kochanowskiego
Kochanowskiego
Kochanowskiego
Kochanowskiego
Kochanowskiego
Kochanowskiego
Kochanowskiego
Kochanowskiego
Kochanowskiego
Kochanowskiego
Ko cielna
Ko ciuszki
Ko ciuszki
Ko ciuszki
Ko ciuszki
78
80
81
82
83
84, 84a
85
86
87
88
88
90
1
2
4
6
8
10
12
16
18
20
20a
24
26
28
30
34
40
43
51
57/59
2
3, 3a
4
5, 5a
dom mieszkalny
dom mieszkalny
dom mieszkalny
dom mieszkalny
dom mieszkalny
dom mieszkalny
dom mieszkalny
dom mieszkalny
dom mieszkalny
dom mieszkalny
transformator
dom mieszkalny
dom mieszkalny
dom mieszkalny
dom mieszkalny
dom mieszkalny
dom mieszkalny
dom mieszkalny
dom mieszkalny
dom mieszkalny
dom mieszkalny
dom mieszkalny
dom mieszkalny
dom mieszkalny
gospodarczy
dom mieszkalny
dom mieszkalny
dom mieszkalny
dom mieszkalny
dom mieszkalny
dom mieszkalny
dom mieszkalny
Transformator
dom mieszkalny
dom mieszkalny
dom mieszkalny
dom mieszkalny
247/1161/J
248/1162/J
18.05.1994
27.05.1994
249/1264/J
23.05.1996
250/1494
251/1204/J
25.01.1966
05.06.1995
56
ZMIANA STUDIUM UWARUNKOWA I KIERUNKÓW ZAGOSPODAROWANIA PRZESTRZENNEGO GMINY LE NA
69.
70.
71.
72.
73.
74.
75.
76.
77.
78.
79.
80.
81.
82.
83.
84.
85.
86.
87.
88.
89.
90.
91.
92.
93.
94.
95.
96.
97.
98.
99.
100.
101.
102.
103.
104.
105.
Le
Le
Le
Le
Le
Le
Le
Le
Le
Le
Le
Le
Le
Le
Le
Le
Le
Le
Le
Le
Le
Le
Le
Le
Le
Le
Le
Le
Le
Le
Le
Le
Le
Le
Le
Le
Le
na
na
na
na
na
na
na
na
na
na
na
na
na
na
na
na
na
na
na
na
na
na
na
na
na
na
na
na
na
na
na
na
na
na
na
na
na
szko a
szko a
dom mieszkalny
dom mieszkalny
dom mieszkalny
dom mieszkalny
dom mieszkalny
dom mieszkalny
dom mieszkalny
dom mieszkalny
dom mieszkalny
dom mieszkalny
dom mieszkalny
dom mieszkalny
dom mieszkalny
dom mieszkalny
dom mieszkalny
dom mieszkalny
dom mieszkalny
dom mieszkalny
dom mieszkalny
dom mieszkalny
dom mieszkalny
fabryka „Daworowo”
dom mieszkalny
dom mieszkalny
dom mieszkalny
dom mieszkalny
dom mieszkalny
dom mieszkalny
dom mieszkalny
dom mieszkalny
dom mieszkalny
dom mieszkalny
dom mieszkalny
dom mieszkalny
dom mieszkalny
Ko ciuszki
Ko ciuszki
Krótka
Krótka
Krótka
Lechów
Lechów
Luba ska
Luba ska
Luba ska
Luba ska
Luba ska
Luba ska
Morcinka
Morcinka
Morcinka
Morcinka
Pocztowa
Pocztowa
Pocztowa
Pocztowa
Pocztowa
Reja
Reja
Rynek
Rynek
Rynek
Rynek
Rynek
Rynek
Rynek
Rynek
Rynek
Rynek
Rynek
Rynek
Rynek
7
9
5
7
12
7
10
1
2
3
4
5
6
2
4
6
13
5
6
8
12
17
1
3
1
2
3
4
5
6
7
8
9
10
11
12
12, d.12a
szko a
szko a
dom mieszkalny
dom mieszkalny
dom mieszkalny
dom mieszkalny
dom mieszkalny
dom mieszkalny
dom mieszkalny
dom mieszkalny
dom mieszkalny
dom mieszkalny
dom mieszkalny
dom mieszkalny
dom mieszkalny
dom mieszkalny
dom mieszkalny
dom mieszkalny
dom mieszkalny
dom mieszkalny
dom mieszkalny
dom mieszkalny
dom mieszkalny
przemys owy
dom mieszkalny
dom mieszkalny
dom mieszkalny
dom mieszkalny
dom mieszkalny
dom mieszkalny
dom mieszkalny
dom mieszkalny
dom mieszkalny
dom mieszkalny
dom mieszkalny
dom mieszkalny
dom mieszkalny
252/1315/J
253/1271/J
23.10.1997
21.08.1996
320/1245/J
29.11.1995
321/1160/J
17.05.1994
322/1242/J
323/1167/J
08.12.1995
10.06.1994
57
ZMIANA STUDIUM UWARUNKOWA I KIERUNKÓW ZAGOSPODAROWANIA PRZESTRZENNEGO GMINY LE NA
106.
107.
108.
109.
110.
111.
112.
113.
114.
115.
116.
117.
118.
119.
120.
121.
122.
123.
124.
125.
126.
127.
128.
129.
130.
131.
132.
133.
134.
135.
136.
137.
138.
139.
140.
141.
142.
Le
Le
Le
Le
Le
Le
Le
Le
Le
Le
Le
Le
Le
Le
Le
Le
Le
Le
Le
Le
Le
Le
Le
Le
Le
Le
Le
Le
Le
Le
Le
Le
Le
Le
Le
Le
Le
na
na
na
na
na
na
na
na
na
na
na
na
na
na
na
na
na
na
na
na
na
na
na
na
na
na
na
na
na
na
na
na
na
na
na
na
na
dom mieszkalny
dom mieszkalny
dom mieszkalny
dom mieszkalny
dom mieszkalny
ratusz
Ko ció parafialny p.w. w. Jana Chrzciciela
dom mieszkalny
dom mieszkalny
dom mieszkalny
dom mieszkalny
dom mieszkalny
dom mieszkalny
dom mieszkalny
dom mieszkalny
dom mieszkalny
dom mieszkalny
dom mieszkalny
dom mieszkalny
dom mieszkalny
dom mieszkalny
dom mieszkalny
dom mieszkalny
dom mieszkalny
dom mieszkalny
dom mieszkalny
dom mieszkalny
dom mieszkalny
dom mieszkalny
dom mieszkalny
dom mieszkalny
dom mieszkalny
dom mieszkalny
dom mieszkalny
dom mieszkalny
dom mieszkalny
dom mieszkalny
Rynek
Rynek
Rynek
Rynek
Rynek
Rynek
Sienkiewicza
Sienkiewicza
Sienkiewicza
Sienkiewicza
Sienkiewicza
Sienkiewicza
Sienkiewicza
Sienkiewicza
Sienkiewicza
Sienkiewicza
Sienkiewicza
Sienkiewicza
Sienkiewicza
Sienkiewicza
Sienkiewicza
Sienkiewicza
Sienkiewicza
Sienkiewicza
Sienkiewicza
Sienkiewicza
Sienkiewicza
Sienkiewicza
Sienkiewicza
Sienkiewicza
Sienkiewicza
Sienkiewicza
Sienkiewicza
Sienkiewicza
Sienkiewicza
Sienkiewicza
Sienkiewicza
13
14
15/16
17
18
19
1
2
4
5
6
7
8
10
12
13
14
15
16
17
19
20
22
23
24
25
26
28
29
30
32
34
35
36
38
39
dom mieszkalny
dom mieszkalny
dom mieszkalny
dom mieszkalny
dom mieszkalny
ratusz
ko ció
dom mieszkalny
dom mieszkalny
dom mieszkalny
dom mieszkalny
dom mieszkalny
dom mieszkalny
dom mieszkalny
dom mieszkalny
dom mieszkalny
dom mieszkalny
dom mieszkalny
dom mieszkalny
dom mieszkalny
dom mieszkalny
dom mieszkalny
dom mieszkalny
dom mieszkalny
dom mieszkalny
dom mieszkalny
dom mieszkalny
dom mieszkalny
dom mieszkalny
dom mieszkalny
dom mieszkalny
dom mieszkalny
dom mieszkalny
dom mieszkalny
dom mieszkalny
dom mieszkalny
dom mieszkalny
254/1166/J
255/1157/J
256/1213/J
08.06.1994
06.04.1994
27.06.1995
132/1486
244/1485
257/1200/J
258/1244/J
25.01.1966
25.01. 1966
22.05.1995
28.11.1995
324/1199/J
17.05.1995
325/1222/J
21.07.1995
326/1152/J
14.12.1993
327/1221/J
328/1250/J
02.08.1995
29.12.1995
58
ZMIANA STUDIUM UWARUNKOWA I KIERUNKÓW ZAGOSPODAROWANIA PRZESTRZENNEGO GMINY LE NA
143.
144.
145.
146.
147.
148.
149.
150.
151.
152.
153.
154.
155.
156.
157.
158.
159.
160.
161.
162.
163.
164.
165.
166.
167.
168.
169.
170.
171.
172.
173.
174.
175.
176.
177.
178.
179.
Le
Le
Le
Le
Le
Le
Le
Le
Le
Le
Le
Le
Le
Le
Le
Le
Le
Le
Le
Le
Le
Le
Le
Le
Le
Le
Le
Le
Le
Le
Le
Le
Le
Le
Le
Le
Le
na
na
na
na
na
na
na
na
na
na
na
na
na
na
na
na
na
na
na
na
na
na
na
na
na
na
na
na
na
na
na
na
na
na
na
na
na
dom mieszkalny
dom mieszkalny
dom mieszkalny
plebania
dom mieszkalny
dom mieszkalny
dom mieszkalny
dom mieszkalny
dom mieszkalny
dom mieszkalny
dom mieszkalny
dom mieszkalny
dom mieszkalny
dom mieszkalny
dom mieszkalny
dom mieszkalny
dom mieszkalny
dom mieszkalny
dom mieszkalny
dom mieszkalny
dom mieszkalny
dom mieszkalny
dom mieszkalny
dom mieszkalny
dom mieszkalno-gospodarczy
Zak ady przemys owo-jedwabne DOLWIS
Willa
dom mieszkalny
dom mieszkalny
dom mieszkalny
dom mieszkalny
dom mieszkalny
przedszkole (Dolwisu)
oficyna
dom mieszkalny
dom mieszkalny
dom mieszkalny
Sienkiewicza
Sienkiewicza
Sienkiewicza
Sienkiewicza
Sienkiewicza
Sienkiewicza
Sienkiewicza
Szkolna
Szkolna
Szkolna
Szkolna
Szkolna
Szkolna
Szkolna
Szkolna
Szkolna
Szkolna
Szkolna
Szkolna
Szkolna
Szkolna
wierczewskiego
wierczewskiego
wierczewskiego
wierczewskiego
wierczewskiego
wierczewskiego
wierczewskiego
wierczewskiego
wierczewskiego
wierczewskiego
wierczewskiego
wierczewskiego
wierczewskiego
wierczewskiego
Wiejska
Wiejska
41
42
43
44
46
54
60
1
2
3
4
4
5
6
7
8
9
10
12
13
15
5
7
9
11
13
14
18
19
20/22
34
38
42
42
44
1
17
dom mieszkalny
dom mieszkalny
dom mieszkalny
plebania
dom mieszkalny
dom mieszkalny
dom mieszkalny
dom mieszkalny
dom mieszkalny
dom mieszkalny
dom mieszkalny
dom mieszkalny
dom mieszkalny
dom mieszkalny
dom mieszkalny
dom mieszkalny
dom mieszkalny
dom mieszkalny
dom mieszkalny
dom mieszkalny
dom mieszkalny
dom mieszkalny
dom mieszkalny
dom mieszkalny
dom mieszkalny
przemys owy
dom mieszkalny
dom mieszkalny
dom mieszkalny
dom mieszkalny
dom mieszkalny
dom mieszkalny
publiczny
oficyna
dom mieszkalny
dom mieszkalny
dom mieszkalny
329/1272/J
22.08.1996
330/1262/J
20.05.1996
59
ZMIANA STUDIUM UWARUNKOWA I KIERUNKÓW ZAGOSPODAROWANIA PRZESTRZENNEGO GMINY LE NA
180.
181.
182.
183.
184.
185.
186.
187.
188.
189.
190.
191.
192.
193.
194.
195.
196.
197.
198.
199.
200.
201.
202.
203.
204.
205.
206.
207.
208.
209.
210.
211.
212.
213.
214.
215.
216.
Le
Le
Le
Le
Le
Le
Le
Le
Le
Le
Le
Le
Le
Le
Le
Le
Le
Le
Le
Le
Le
Le
Le
Le
Le
Le
Le
Le
Le
Le
Le
Le
Le
Le
Le
Le
Le
na
na
na
na
na
na
na
na
na
na
na
na
na
na
na
na
na
na
na
na
na
na
na
na
na
na
na
na
na
na
na
na
na
na
na
na
na
dom mieszkalny
zespó ko cielny
Ko ció d. ewangelicki p.w. Chrystusa Króla
Cmentarz poewangelicki
Kaplica grobowa, cmentarz
Kaplica cmentarna
Kaplica w murze ogrodzenia cmentarza
Mur cmentarza
dom mieszkalny
dom mieszkalny
dom mieszkalny
dom mieszkalny
dom mieszkalny
dom mieszkalny
budynek Komisariatu Policji
dom mieszkalny
dom mieszkalny
dom mieszkalny
dom mieszkalny
dom mieszkalny
dom mieszkalny
dom mieszkalny
dom mieszkalny
dom mieszkalny, sklep mi sny z zapleczem
dom mieszkalny
dom mieszkalny
dom mieszkalny
dom mieszkalny
dom mieszkalny
dom mieszkalny
dom mieszkalny
dom mieszkalny
dom mieszkalny
dom mieszkalny
dom mieszkalny
dom mieszkalny
dom mieszkalny
Wiejska
eromskiego
eromskiego
eromskiego
eromskiego
eromskiego
eromskiego
eromskiego
eromskiego
eromskiego
eromskiego
eromskiego
eromskiego
eromskiego
eromskiego
eromskiego
eromskiego
eromskiego
eromskiego
eromskiego
eromskiego
eromskiego
eromskiego
eromskiego
eromskiego
eromskiego
eromskiego
eromskiego
eromskiego
eromskiego
eromskiego
eromskiego
eromskiego
eromskiego
eromskiego
eromskiego
26
1
2
3
4
5
7
10
11
12
13
14
16
17
18
19
21
22
23
24
25
26
27
28
29
30
31
32
33
35
dom mieszkalny
zespó
ko ció
cmentarz
kaplica
kaplica
kaplica
mur
dom mieszkalny
dom mieszkalny
dom mieszkalny
dom mieszkalny
dom mieszkalny
dom mieszkalny
publiczny
dom mieszkalny
dom mieszkalny
dom mieszkalny
dom mieszkalny
dom mieszkalny
dom mieszkalny
dom mieszkalny
dom mieszkalny
dom mieszkalny
dom mieszkalny
dom mieszkalny
dom mieszkalny
dom mieszkalny
dom mieszkalny
dom mieszkalny
dom mieszkalny
dom mieszkalny
dom mieszkalny
dom mieszkalny
dom mieszkalny
dom mieszkalny
dom mieszkalny
A/1005
335/973/J
27.03.2007
07.02.1989
331/1220/J
332/1246/J
333/1198/J
31.07.1995
12.12.1995
27.04.1995
334/1325/J
23.12.1997
60
ZMIANA STUDIUM UWARUNKOWA I KIERUNKÓW ZAGOSPODAROWANIA PRZESTRZENNEGO GMINY LE NA
217.
218.
219.
220.
221.
222.
223.
224.
225.
226.
227.
228.
229.
230.
231.
232.
233.
234.
235.
236.
237.
238.
239.
240.
241.
242.
243.
244.
245.
246.
247.
248.
249.
250.
251.
252.
253.
Le na
Le na
Le na
Le na
Le na
Le na
Le na
Le na
Le na
Le na
Bartoszówka
Bartoszówka
Bartoszówka
Bartoszówka
Bartoszówka
Bartoszówka
Bartoszówka
Grabiszyce
Grabiszyce Dolne
Grabiszyce Dolne
Grabiszyce Dolne
Grabiszyce Dolne
Grabiszyce Dolne
Grabiszyce Dolne
Grabiszyce Dolne
Grabiszyce Dolne
Grabiszyce Dolne
Grabiszyce Dolne
Grabiszyce Dolne
Grabiszyce Dolne
Grabiszyce Dolne
Grabiszyce Dolne
Grabiszyce Dolne
Grabiszyce Dolne
Grabiszyce Dolne
Grabiszyce Górne
Grabiszyce Górne
dom mieszkalny
dom mieszkalny
dom mieszkalny
dom mieszkalny
dom mieszkalny
dom mieszkalny
dom mieszkalny
dom mieszkalny
dom mieszkalny
stacja kolejowa
historyczny uk ad ruralistyczny wsi
wietlica
dom mieszkalny
dom mieszkalny
dom mieszkalny
Budynek mieszkalno-gospodarczy
dom mieszkalny
historyczny uk ad ruralistyczny wsi
Zespó pa acowo-parkowy
pa ac
park
dom mieszkalny
dom mieszkalny
dom mieszkalny
Budynek mieszkalno-gospodarczy
dom mieszkalny
dom mieszkalny
stodo a
dom mieszkalny
Budynek mieszkalno-gospodarczy
dom mieszkalny
dawna piekarnia, ob. dom mieszkalny
dom mieszkalny
dom mieszkalny
dom mieszkalny
zespó ko cielny
Ko ció parafialny pw. w. Antoniego
eromskiego
eromskiego
eromskiego
eromskiego
eromskiego
eromskiego
eromskiego
eromskiego
eromskiego
37
39
41
43
45
47
49
51
53
26
6
13
15
37
45
92
92
92
4
6
8
11
12
13
19
21
24
25
33
49
50
52
5
dom mieszkalny
dom mieszkalny
dom mieszkalny
dom mieszkalny
dom mieszkalny
dom mieszkalny
dom mieszkalny
dom mieszkalny
dom mieszkalny
stacja kolejowa
obszar
publiczny
dom mieszkalny
dom mieszkalny
dom mieszkalny
dom mieszkalny
dom mieszkalny
obszar
zespó
pa ac
park
dom mieszkalny
dom mieszkalny
dom mieszkalny
dom mieszkalny
dom mieszkalny
dom mieszkalny
gospodarczy
dom mieszkalny
dom mieszkalny
dom mieszkalny
przemys owy
dom mieszkalny
dom mieszkalny
dom mieszkalny
zespó
ko ció
109/1339/J
109/1339/J
109/1339/J
27.07.1998
27.07.1998
27.07.1998
303/A/04
02.07.2004
103/935
05.09.1961
61
ZMIANA STUDIUM UWARUNKOWA I KIERUNKÓW ZAGOSPODAROWANIA PRZESTRZENNEGO GMINY LE NA
254.
255.
256.
257.
258.
259.
260.
261.
262.
263.
264.
265.
266.
267.
268.
269.
270.
271.
272.
273.
274.
275.
276.
277.
278.
279.
280.
281.
282.
283.
284.
285.
286.
287.
288.
289.
290.
Grabiszyce Górne
Grabiszyce Górne
Grabiszyce Górne
Grabiszyce Górne
Grabiszyce Górne
Grabiszyce Górne
Grabiszyce Górne
Grabiszyce Górne
Grabiszyce Górne
Grabiszyce Górne
Grabiszyce Górne
Grabiszyce Górne
Grabiszyce Górne
Grabiszyce Górne
Grabiszyce Górne
Grabiszyce Górne
Grabiszyce Górne
Grabiszyce Górne
Grabiszyce Górne
Grabiszyce Górne
Grabiszyce Górne
Grabiszyce Górne
Grabiszyce Górne
Grabiszyce Górne
Grabiszyce Górne
Grabiszyce Górne
Grabiszyce Górne
Grabiszyce Górne
Grabiszyce Górne
Grabiszyce Górne
Grabiszyce Górne
Grabiszyce Górne
Grabiszyce Górne
Grabiszyce Górne
Grabiszyce Górne
Grabiszyce Górne
Grabiszyce Górne
Cmentarz przy ko ciele w. Antoniego
Mur przyko cielny
zespó dworski
Dwór
Park dworski
zespó folwarczny w zespole dworskim
Spichlerz z wozowni w zespole folwarcznym
Obora z cz ci mieszkaln
Oficyna w zespole folwarcznym
Stodo a w zespole folwarcznym
Budynek gospodarczy w zespole
Prz dzalnia lnu w zespole folwarcznym
Budynek produkcyjny w zespole folwarcznym
dom mieszkalny, ob. biblioteka
dom mieszkalny
dom mieszkalny
dom mieszkalny
Plebania
dom mieszkalny
Budynek mieszkalno-gospodarczy
dom mieszkalny
dom mieszkalny
Budynek mieszkalno-gospodarczy
dom mieszkalny
dom mieszkalny
dom mieszkalny
dom mieszkalny
dom mieszkalny
Budynek mieszkalno-gospodarczy
dom mieszkalny
dom mieszkalny
dom mieszkalny
dom mieszkalny
Szko a, ob. dom mieszkalny
dom mieszkalny
dom mieszkalny
dom mieszkalny
5
5
100
100
110d
100
100b
100c
2
2
3
4
5
6
7
9
10
16
21
24
35
36
37
40
47
92
93
94
98
99
105
107
cmentarz
mur
zespó
dwór
park
zespó
gospodarczy
gospodarczy
oficyna
gospodarczy
gospodarczy
przemys owy
przemys owy
dom mieszkalny
dom mieszkalny
dom mieszkalny
dom mieszkalny
plebania
dom mieszkalny
dom mieszkalny
dom mieszkalny
dom mieszkalny
dom mieszkalny
dom mieszkalny
dom mieszkalny
dom mieszkalny
dom mieszkalny
dom mieszkalny
dom mieszkalny
dom mieszkalny
dom mieszkalny
dom mieszkalny
dom mieszkalny
publiczny
dom mieszkalny
dom mieszkalny
dom mieszkalny
104/970/J
104/970/J
01.06.1989
01.06.1989
107/898/J
108/889/J
14.08.1987
16.02.1987
62
ZMIANA STUDIUM UWARUNKOWA I KIERUNKÓW ZAGOSPODAROWANIA PRZESTRZENNEGO GMINY LE NA
291.
292.
293.
294.
295.
296.
Grabiszyce Górne
Grabiszyce Górne
Grabiszyce Górne
Grabiszyce Górne
Grabiszyce Górne
Grabiszyce rednie
297.
298.
299.
300.
301.
302.
303.
304.
305.
306.
307.
308.
309.
310.
311.
312.
313.
314.
315.
316.
317.
318.
319.
320.
321.
322.
323.
324.
325.
326.
Grabiszyce
Grabiszyce
Grabiszyce
Grabiszyce
Grabiszyce
Grabiszyce
Grabiszyce
Grabiszyce
Grabiszyce
Grabiszyce
Grabiszyce
Grabiszyce
Grabiszyce
Grabiszyce
Grabiszyce
Grabiszyce
Grabiszyce
Grabiszyce
Grabiszyce
Grabiszyce
Grabiszyce
Grabiszyce
Grabiszyce
Grabiszyce
Grabiszyce
Grabiszyce
Grabiszyce
Grabiszyce
Grabiszyce
Grabiszyce
rednie
rednie
rednie
rednie
rednie
rednie
rednie
rednie
rednie
rednie
rednie
rednie
rednie
rednie
rednie
rednie
rednie
rednie
rednie
rednie
rednie
rednie
rednie
rednie
rednie
rednie
rednie
rednie
rednie
rednie
dom mieszkalny
dom mieszkalny
dom mieszkalny
Budynek mieszkalno-us ugowy
dom mieszkalny
Zbór Braci Czeskich, ob. kaplica pw. M.B.
Ró cowej
Zespó pa acowo-parkowy
Pa ac
Park
Stajnia
transformator
dom mieszkalny
dom mieszkalny
dom mieszkalny
Budynek mieszkalno- gospodarczy
rodek Zdrowia
dom mieszkalny
Budynek mieszkalno-gospodarczy
dom mieszkalny
dom mieszkalny
Budynek mieszkalno-gospodarczy
Budynek mieszkalno-gospodarczy
dom mieszkalny
dom mieszkalny
Budynek mieszkalno-gospodarczy, dom nauczyciela
dom mieszkalny
Stodo a
dom mieszkalny
dom mieszkalny
dom mieszkalny
Budynek mieszkalno-gospodarczy
dom mieszkalny
dom mieszkalny
dom mieszkalny
dom mieszkalny
dom mieszkalny
108
112
115
129
134
(Mojków)
14
14
14
8
10
11
12
14
14a
18
19
23
24
26
28
29
32
34
34
35
37
40
44
45
61
62
63
65
dom mieszkalny
dom mieszkalny
dom mieszkalny
dom mieszkalny
dom mieszkalny
ko ció
zespó
pa ac
park
gospodarczy
transformator
dom mieszkalny
dom mieszkalny
dom mieszkalny
dom mieszkalny
publiczny
dom mieszkalny
dom mieszkalny
dom mieszkalny
dom mieszkalny
dom mieszkalny
dom mieszkalny
dom mieszkalny
dom mieszkalny
dom mieszkalny
dom mieszkalny
gospodarczy
dom mieszkalny
dom mieszkalny
dom mieszkalny
dom mieszkalny
dom mieszkalny
dom mieszkalny
dom mieszkalny
dom mieszkalny
dom mieszkalny
470/A/04
21.12.2004
105/955/J
106/885/J
27.12.1990
04.02.1987
63
ZMIANA STUDIUM UWARUNKOWA I KIERUNKÓW ZAGOSPODAROWANIA PRZESTRZENNEGO GMINY LE NA
327.
328.
329.
330.
331.
332.
333.
334.
335.
336.
337.
338.
339.
340.
341.
342.
343.
344.
345.
346.
347.
348.
349.
350.
351.
352.
353.
354.
355.
356.
357.
358.
359.
360.
361.
362.
363.
Grabiszyce rednie
Grabiszyce rednie
Grabiszyce rednie
Grabiszyce rednie
Grabiszyce rednie
Grabiszyce rednie
Grabiszyce rednie
Grabiszyce rednie
Grabiszyce rednie
Grabiszyce rednie
Grabiszyce rednie
Grabiszyce rednie
Grabiszyce rednie
Grabiszyce rednie
Grabiszyce rednie
Grabiszyce rednie
Grabiszyce rednie
Grabiszyce rednie
Grabiszyce rednie
Grabiszyce rednie
Grabiszyce rednie
Jurków
Jurków
Ko cielniki Górne
Ko cielniki Górne
Ko cielniki Górne
Ko cielniki Górne
Ko cielniki Górne
Ko cielniki Górne
Ko cielniki Górne
Ko cielniki Górne
Ko cielniki Górne
Ko cielniki Górne
Ko cielniki Górne
Ko cielniki Górne
Ko cielniki Górne
Ko cielniki Górne
dom mieszkalny
Dwór
dom mieszkalny
dom mieszkalny
Budynek mieszkalno-gospodarczy
dom mieszkalny
dom mieszkalny
dom mieszkalny
dom mieszkalny
dom mieszkalny
Budynek mieszkalno-gospodarczy
Budynek mieszkalno-gospodarczy
dom mieszkalny
dom mieszkalny
Budynek mieszkalno-gospodarczy
dom mieszkalny
dom mieszkalny
dom mieszkalny
dom mieszkalny
budynek gospodarczy
dom mieszkalny
dom mieszkalny
dom mieszkalny
historyczny uk ad ruralistyczny wsi
zespó pa acowo-folwarczny z parkiem i ogrodem
Pa ac
Park krajobrazowy
dom ogrodnika w zespole pa acowo-folwarcznym
Oficyna w zespole pa acowo-folwarcznym
Stodo a w zespole pa acowo-folwarcznym
Stajnia w zespole pa acowo-folwarcznym
Obora w zespole pa acowo-folwarcznym
dom mieszkalny
dom mieszkalny
Budynek mieszkalno-gospodarczy
dom mieszkalny
Budynek gospodarczy
66
91
94
95
96
97
98
101
107
110
111
113
118
119
123
124
126
141
142
143
3
3
20
20
20
22
23
32
34
35
dom mieszkalny
dwór
dom mieszkalny
dom mieszkalny
dom mieszkalny
dom mieszkalny
dom mieszkalny
dom mieszkalny
dom mieszkalny
dom mieszkalny
dom mieszkalny
dom mieszkalny
dom mieszkalny
dom mieszkalny
dom mieszkalny
dom mieszkalny
dom mieszkalny
dom mieszkalny
dom mieszkalny
gospodarczy
dom mieszkalny
dom mieszkalny
dom mieszkalny
obszar
zespó
pa ac
park
dom mieszkalny
oficyna
gospodarczy
gospodarczy
gospodarczy
dom mieszkalny
dom mieszkalny
dom mieszkalny
dom mieszkalny
gospodarczy
112/897/J
113/707/J
14.08.1987
10.11.1981
64
ZMIANA STUDIUM UWARUNKOWA I KIERUNKÓW ZAGOSPODAROWANIA PRZESTRZENNEGO GMINY LE NA
364.
365.
366.
367.
368.
369.
370.
371.
Ko
Ko
Ko
Ko
Ko
Ko
Ko
Ko
cielniki Górne
cielniki rednie
cielniki rednie
cielniki rednie
cielniki rednie
cielniki rednie
cielniki rednie
cielniki rednie
372.
Ko cielniki rednie
373.
374.
375.
376.
377.
378.
379.
380.
381.
382.
383.
384.
385.
386.
387.
388.
389.
390.
391.
Ko cielniki
Ko cielniki
Ko cielniki
Ko cielniki
Ko cielniki
Ko cielniki
Ko cielniki
Ko cielniki
Ko cielniki
Ko cielniki
Ko cielniki
Ko cielniki
Ko cielniki
Ko cielniki
Mi oszów
Mi oszów
Mi oszów
Mi oszów
Mi oszów
392.
393.
394.
395.
396.
397.
Mi oszów
Mi oszów
Mi oszów
Mi oszów
Mi oszów
Mi oszów
rednie
rednie
rednie
rednie
rednie
rednie
rednie
rednie
rednie
rednie
rednie
rednie
rednie
rednie
dom mieszkalny
historyczny uk ad ruralistyczny wsi
zespó ko cielny I
Ko ció filialny pw. NMP
cmentarz w zespole
mur w zespole
zespó ko cielny II
Ko ció filialny, d. ewangelicki, pw. Podwy szenia
Krzy a w.
Cmentarz przy ko ciele pw. Podwy szenia Krzy a
w.
Cmentarz d. ewangelicki
Kaplica- grota
Dom, d. pastorówka
zespó dworski
Dwór
Park dworski
Stodo a w zespole
Obora w zespole
dom mieszkalny
dom mieszkalny
Budynek gospodarczy
dom mieszkalny
dom mieszkalny
Dworzec kolejowy, obecnie do mieszkalny
historyczny uk ad ruralistyczny wsi
zespó dworski
Dwór
szko a
zespó budowlany dawnej fabryki cz ci do rakiet
V1 i V2
Budynek mieszkalno-gospodarczy
dom mieszkalny
dom mieszkalny
dom mieszkalny
dom mieszkalny
dom mieszkalny
35
7
9
9
9
9
13
21
21
22
28
32
1
2
3
10
11
12
13
14
dom mieszkalny
obszar
zespó
ko ció
cmentarz
mur
zespó
ko ció
26/A/00/1-3
26/A/00/1-3
26/A/00/1-3
17.07.2000
17.07.2000
17.07.2000
111/935/J
17.11.1988
cmentarz
111/935/J
17.11.1988
cmentarz
kaplica
plebania
zespó
dwór
park
gospodarczy
gospodarczy
dom mieszkalny
dom mieszkalny
gospodarczy
dom mieszkalny
dom mieszkalny
dom mieszkalny
obszar
zespó
dwór
publiczny
przemys owy
110/1038/J
19.05.1990
114/498/J
115/706/J
06.10.1977
10.11.1981
dom mieszkalny
dom mieszkalny
dom mieszkalny
dom mieszkalny
dom mieszkalny
dom mieszkalny
65
ZMIANA STUDIUM UWARUNKOWA I KIERUNKÓW ZAGOSPODAROWANIA PRZESTRZENNEGO GMINY LE NA
398.
399.
400.
401.
402.
403.
404.
405.
406.
407.
408.
409.
410.
411.
412.
413.
414.
415.
416.
417.
418.
419.
420.
421.
422.
423.
424.
425.
426.
427.
428.
429.
430.
431.
432.
433.
434.
Mi oszów
Mi oszów
Mi oszów
Mi oszów
Mi oszów
Mi oszów
Mi oszów
Mi oszów
Mi oszów
Mi oszów
Mi oszów
Mi oszów
Mi oszów
Mi oszów
Mi oszów
Mi oszów
Mi oszów
Mi oszów
Mi oszów
Mi oszów
Mi oszów
Mi oszów
Mi oszów
Mi oszów
Mi oszów
Mi oszów
Mi oszów
Mi oszów
Mi oszów
Mi oszów
Mi oszów
Mi oszów
Mi oszów
Mi oszów
Mi oszów
Mi oszów
Mi oszów
dom mieszkalny
dom mieszkalny
dom mieszkalny
dom mieszkalny
dom mieszkalny
dom mieszkalny
Budynek mieszkalno-gospodarczy
Budynek mieszkalno-gospodarczy
dom mieszkalny
Budynek mieszkalno-gospodarczy
Budynek mieszkalno-gospodarczy
Budynek mieszkalno-gospodarczy
dom mieszkalny
dom mieszkalny
dom mieszkalny
dom mieszkalny
dom mieszkalny
dom mieszkalny
Budynek gospodarczy
Budynek mieszkalno-gospodarczy
dom mieszkalny
dom mieszkalny
dom mieszkalny
dom mieszkalny
dom mieszkalny
dom mieszkalny
dom mieszkalny
dom mieszkalny
dom mieszkalny
dom mieszkalny
dom mieszkalny
dom mieszkalny
dom mieszkalny
dom mieszkalny
dom mieszkalny
dom mieszkalny
dom mieszkalny
15
20
21
32
38
39
44
46
47
58
60
61
62
63
70
71
72
73
92
93
94
96
103
106
109
111
113
114
117
119
121
122
132
155
159
161
164
dom mieszkalny
dom mieszkalny
dom mieszkalny
dom mieszkalny
dom mieszkalny
dom mieszkalny
dom mieszkalny
dom mieszkalny
dom mieszkalny
dom mieszkalny
dom mieszkalny
dom mieszkalny
dom mieszkalny
dom mieszkalny
dom mieszkalny
dom mieszkalny
dom mieszkalny
dom mieszkalny
gospodarczy
dom mieszkalny
dom mieszkalny
dom mieszkalny
dom mieszkalny
dom mieszkalny
dom mieszkalny
dom mieszkalny
dom mieszkalny
dom mieszkalny
dom mieszkalny
dom mieszkalny
dom mieszkalny
dom mieszkalny
dom mieszkalny
dom mieszkalny
dom mieszkalny
dom mieszkalny
dom mieszkalny
66
ZMIANA STUDIUM UWARUNKOWA I KIERUNKÓW ZAGOSPODAROWANIA PRZESTRZENNEGO GMINY LE NA
435.
436.
437.
438.
439.
440.
441.
442.
443.
444.
445.
446.
447.
448.
449.
450.
451.
452.
453.
Mi oszów
Mi oszów
Mi oszów
Mi oszów
Mi oszów
Mi oszów
Mi oszów
Mi oszów
Mi oszów
Mi oszów
Mi oszów
Mi oszów
Pobiedna
Pobiedna
Pobiedna
Pobiedna
Pobiedna
Pobiedna
Pobiedna
454.
Pobiedna
455.
456.
Pobiedna
Pobiedna
457.
Pobiedna
458.
459.
460.
461.
462.
463.
464.
465.
466.
467.
Pobiedna
Pobiedna
Pobiedna
Pobiedna
Pobiedna
Pobiedna
Pobiedna
Pobiedna
Pobiedna
Pobiedna
dom mieszkalny
dom mieszkalny
dom mieszkalny
dom mieszkalny
dom mieszkalny
dom mieszkalny
dom mieszkalny
dom mieszkalny
dom mieszkalny
dom mieszkalny
Dawny go ciniec
dom mieszkalny
historyczny uk ad ruralistyczny miasta
Historyczny uk ad urbanistyczny miasta
Zespó pa acowo-folwarczny z parkiem
Pa ac
Park
Altana parkowa
d. browar, ob. budynek mieszkalno-gospodarczy w
zespole pa acowo-folwarcznym
Stajnia i spichlerz z cz ci mieszkaln w zespole
pa acowo-folwarcznym
Chlewnia w zespole pa acowo-folwarcznym
Wozownia i spichlerz w zespole pa acowofolwarcznym
Obora z cz ci mieszkaln (ruina) w zespole
pa acowo-folwarcznym
Przedszkole
dom mieszkalny
dom mieszkalny
dom mieszkalny
dom mieszkalny
Poczta
dom mieszkalny
dom mieszkalny
Budynek mieszkalno-gospodarczy
Budynek mieszkalno-gospodarczy
170
173
174
175
177
179
181
183
190
191
192
195
Dworcowa
Dworcowa
Dworcowa
Dworcowa
Dworcowa
10
10
10
10
10
dom mieszkalny
dom mieszkalny
dom mieszkalny
dom mieszkalny
dom mieszkalny
dom mieszkalny
dom mieszkalny
dom mieszkalny
dom mieszkalny
dom mieszkalny
publiczny
dom mieszkalny
obszar
obszar
zespó
pa ac
park
inny
przemys owy
Dworcowa
10
gospodarczy
Dworcowa
Dworcowa
10
10
gospodarczy
gospodarczy
Dworcowa
10
gospodarczy
Dworcowa
Dworcowa
Dworcowa
Dworcowa
Dworcowa
Dworcowa
Dworcowa
Dworcowa
Dworcowa
Dworcowa
2
3
4
5
8
16
18
19
21
22
publiczny
dom mieszkalny
dom mieszkalny
dom mieszkalny
dom mieszkalny
publiczny
dom mieszkalny
dom mieszkalny
dom mieszkalny
dom mieszkalny
119/513
01.12.1958
120/1495
121/684/J
121/684/J
25.01.1966
12.06.1981
12.06.1981
67
ZMIANA STUDIUM UWARUNKOWA I KIERUNKÓW ZAGOSPODAROWANIA PRZESTRZENNEGO GMINY LE NA
468.
469.
470.
471.
472.
473.
474.
475.
476.
477.
478.
479.
480.
481.
482.
483.
484.
485.
486.
487.
488.
489.
490.
491.
492.
493.
494.
495.
496.
497.
498.
499.
500.
501.
502.
503.
504.
Pobiedna
Pobiedna
Pobiedna
Pobiedna
Pobiedna
Pobiedna
Pobiedna
Pobiedna
Pobiedna
Pobiedna
Pobiedna
Pobiedna
Pobiedna
Pobiedna
Pobiedna
Pobiedna
Pobiedna
Pobiedna
Pobiedna
Pobiedna
Pobiedna
Pobiedna
Pobiedna
Pobiedna
Pobiedna
Pobiedna
Pobiedna
Pobiedna
Pobiedna
Pobiedna
Pobiedna
Pobiedna
Pobiedna
Pobiedna
Pobiedna
Pobiedna
Pobiedna
dom mieszkalny
dom mieszkalny
dom mieszkalny
dom mieszkalny
dom mieszkalny
dom mieszkalny
dom mieszkalny
dom mieszkalny
dom mieszkalny
dom mieszkalny
dom mieszkalny
Studnia
dom mieszkalny
dom mieszkalny
dom mieszkalny
dom mieszkalny
dom mieszkalny
dom mieszkalny
dom mieszkalny
dom mieszkalny
dom mieszkalny
Budynek mieszkalno-gospodarczy
dom mieszkalny
dom mieszkalny
dom mieszkalny
dom mieszkalny
dom mieszkalny
dom mieszkalny
Budynek mieszkalno-gospodarczy
Budynek mieszkalno-gospodarczy
transformator
dom mieszkalny
dom mieszkalny
szko a
dom mieszkalny
dom mieszkalny
dom mieszkalny
Dworcowa
Dworcowa
Dworcowa
Dworcowa
Dworcowa
Dworcowa
Dworcowa
Dworcowa
Dworcowa
Dworcowa
Dworcowa
Dworcowa
Dworcowa
Dworcowa
Dworcowa
Dworcowa
Dworcowa
Dworcowa
Dworcowa
Dworcowa
Dworcowa
Dworcowa
Dworcowa
Dworcowa
Dworcowa
Dworcowa
Dworcowa
Dworcowa
Dworcowa
Dworcowa
Dworcowa
Dworcowa
Hetma ska
Hetma ska
Hetma ska
Hetma ska
Hetma ska
23
24
25
28
30
31
32
33
35
36
37
39
40
43
44
45
46
47
53
54
57
58
60
61
62
63
64
65
66
71
71
72
1
3
5
6
7
dom mieszkalny
dom mieszkalny
dom mieszkalny
dom mieszkalny
dom mieszkalny
dom mieszkalny
dom mieszkalny
dom mieszkalny
dom mieszkalny
dom mieszkalny
dom mieszkalny
inne
dom mieszkalny
dom mieszkalny
dom mieszkalny
dom mieszkalny
dom mieszkalny
dom mieszkalny
dom mieszkalny
dom mieszkalny
dom mieszkalny
dom mieszkalny
dom mieszkalny
dom mieszkalny
dom mieszkalny
dom mieszkalny
dom mieszkalny
dom mieszkalny
dom mieszkalny
dom mieszkalny
transformator
dom mieszkalny
dom mieszkalny
publiczny
dom mieszkalny
dom mieszkalny
dom mieszkalny
68
ZMIANA STUDIUM UWARUNKOWA I KIERUNKÓW ZAGOSPODAROWANIA PRZESTRZENNEGO GMINY LE NA
505.
506.
507.
508.
509.
510.
511.
512.
513.
514.
515.
516.
517.
518.
519.
520.
521.
522.
523.
524.
525.
526.
527.
528.
529.
530.
531.
532.
533.
534.
535.
536.
537.
538.
539.
540.
541.
Pobiedna
Pobiedna
Pobiedna
Pobiedna
Pobiedna
Pobiedna
Pobiedna
Pobiedna
Pobiedna
Pobiedna
Pobiedna
Pobiedna
Pobiedna
Pobiedna
Pobiedna
Pobiedna
Pobiedna
Pobiedna
Pobiedna
Pobiedna
Pobiedna
Pobiedna
Pobiedna
Pobiedna
Pobiedna
Pobiedna
Pobiedna
Pobiedna
Pobiedna
Pobiedna
Pobiedna
Pobiedna
Pobiedna
Pobiedna
Pobiedna
Pobiedna
Pobiedna
dom mieszkalny
dom mieszkalny
dom mieszkalny
dom mieszkalny
dom mieszkalny
Budynek gospodarczy
dom mieszkalny
dom mieszkalny
dom mieszkalny
dom mieszkalny
dom mieszkalny
Wie a Cesarza Wilhelma
dom mieszkalny
dom mieszkalny
dom mieszkalny
dom mieszkalny
Ko ció ewangelicki (ruina)
Cmentarz d. ewangelicki
dom mieszkalny
dom mieszkalny
dom mieszkalny
dom mieszkalny
dom mieszkalny
dom mieszkalny
dom mieszkalny
dom mieszkalny
dom mieszkalny
dom mieszkalny
dom mieszkalny
dom mieszkalny
dom mieszkalny
dom mieszkalny
dom mieszkalny
dom mieszkalny
dom mieszkalny
dom mieszkalny
dom mieszkalny
Hetma ska
Hetma ska
Hetma ska
Hetma ska
Hetma ska
Hetma ska
Hetma ska
Hetma ska
Hetma ska
Hetma ska
Hetma ska
Hetma ska
kowa
kowa
kowa
kowa
Nowomiejska
Nowomiejska
Nowomiejska
Nowomiejska
Nowomiejska
Nowomiejska
Nowomiejska
Nowomiejska
Nowomiejska
Nowomiejska
Nowomiejska
Nowomiejska
Podgórna
Podgórna
Podgórna
Podgórna
Podgórna
Podgórna
Podgórna
Polna
Polna
13
14
16
17
18
18
20
24
31
32
33
(Giera tówek)
1
2
3
4
11
12
14
15
17
18
19
22
27
29
2
3
4
7
11
12
13
6
7
dom mieszkalny
dom mieszkalny
dom mieszkalny
dom mieszkalny
dom mieszkalny
dom mieszkalny
dom mieszkalny
dom mieszkalny
dom mieszkalny
dom mieszkalny
dom mieszkalny
wie a
dom mieszkalny
dom mieszkalny
dom mieszkalny
dom mieszkalny
ko ció
cmentarz
dom mieszkalny
dom mieszkalny
dom mieszkalny
dom mieszkalny
dom mieszkalny
dom mieszkalny
dom mieszkalny
dom mieszkalny
dom mieszkalny
dom mieszkalny
dom mieszkalny
dom mieszkalny
dom mieszkalny
dom mieszkalny
dom mieszkalny
dom mieszkalny
dom mieszkalny
dom mieszkalny
dom mieszkalny
116/315
117/971/J
18.07.1956
07.02.1979
69
ZMIANA STUDIUM UWARUNKOWA I KIERUNKÓW ZAGOSPODAROWANIA PRZESTRZENNEGO GMINY LE NA
542.
543.
544.
545.
546.
547.
548.
549.
550.
551.
552.
553.
554.
555.
556.
557.
558.
559.
560.
561.
562.
563.
564.
565.
566.
567.
Pobiedna
Pobiedna
Pobiedna
Pobiedna
Pobiedna
Pobiedna
Pobiedna
Pobiedna
Pobiedna
Pobiedna
Pobiedna
Pobiedna
Pobiedna
Pobiedna
Pobiedna
Pobiedna
Pobiedna
Pobiedna
Pobiedna
Pobiedna
Pobiedna
Pobiedna
Pobiedna
Pobiedna
Smolnik
Smolnik
dom mieszkalny
dom mieszkalny
dom mieszkalny
dom mieszkalny
dom mieszkalny
dom mieszkalny
dom mieszkalny
dom mieszkalny
dom mieszkalny
dom mieszkalny
dom mieszkalny
dom mieszkalny
dom mieszkalny
dom mieszkalny
d. kino
dom mieszkalny
Budynek mieszkalno-us ugowy
dom mieszkalny
dom mieszkalny
dom mieszkalny
willa
dom mieszkalny
dom mieszkalny
willa
historyczny uk ad ruralistyczny wsi
mauzoleum rodziny Woller wraz z otoczeniem
568.
569.
570.
571.
572.
573.
574.
575.
576.
577.
Smolnik
Smolnik
Smolnik
Smolnik
Smolnik
Smolnik
Smolnik
Smolnik
Smolnik
Smolnik
Dwór (ruina)
Park dworski
Kaplica - mauzoleum (ruina)
Brama do kaplicy
Przedszkole
dom mieszkalny
dom mieszkalny
dom mieszkalny
dom mieszkalny
dom mieszkalny
Polna
Polna
Rynek
Rynek
Rynek
Rynek
Rynek
Strzelecka
Strzelecka
Strzelecka
Strzelecka
Strzelecka
Strzelecka
Strzelecka
Strzelecka
Strzelecka
pl. Wolno ci
pl. Wolno ci
pl. Wolno ci
Zau ek
Zau ek
Zau ek
Zau ek
Zau ek
8
10
3
7
8
9
10
1
5
8
9
10
11
12
13
26
1
2
8
7
10
11
13
16
dz.nr 238,
232/15
2
5
7
9
15
dom mieszkalny
dom mieszkalny
dom mieszkalny
dom mieszkalny
dom mieszkalny
dom mieszkalny
dom mieszkalny
dom mieszkalny
dom mieszkalny
dom mieszkalny
dom mieszkalny
dom mieszkalny
dom mieszkalny
dom mieszkalny
publiczny
dom mieszkalny
dom mieszkalny
dom mieszkalny
dom mieszkalny
dom mieszkalny
dom mieszkalny
dom mieszkalny
dom mieszkalny
dom mieszkalny
obszar
kaplica wraz z
otoczeniem
dwór
park
kaplica
inny
publiczny
dom mieszkalny
dom mieszkalny
dom mieszkalny
dom mieszkalny
dom mieszkalny
118/1498
25.01.1966
A/5862
28.02.2013
70
ZMIANA STUDIUM UWARUNKOWA I KIERUNKÓW ZAGOSPODAROWANIA PRZESTRZENNEGO GMINY LE NA
578.
579.
580.
581.
582.
583.
584.
585.
586.
587.
588.
589.
590.
591.
592.
593.
594.
595.
596.
597.
598.
599.
600.
601.
602.
603.
604.
605.
606.
607.
608.
609.
610.
611.
612.
613.
614.
Smolnik
Smolnik
Smolnik
Smolnik
Smolnik
Smolnik
Smolnik
Smolnik
Smolnik
Smolnik
Smolnik
Smolnik
Smolnik
Smolnik
Smolnik
Smolnik
Smolnik
Smolnik
Smolnik
Stankowice
Stankowice
Stankowice
Stankowice
Stankowice
Stankowice
Stankowice
Stankowice
Stankowice
Stankowice
Stankowice
Stankowice
Stankowice
Stankowice
Stankowice
Stankowice
Stankowice
Stankowice
Zespó Placówek resocjalizacyjnych
dom mieszkalny
Budynek gospodarczy
dom mieszkalny
dom mieszkalny
dom mieszkalny
dom mieszkalny
dom mieszkalny
dom mieszkalny
dom mieszkalny
dom mieszkalny
Budynek gospodarczy
dom mieszkalny
dom mieszkalny
dom mieszkalny
dom mieszkalny
dom mieszkalny
dom mieszkalny
dom mieszkalny
historyczny uk ad ruralistyczny wsi
zespó ko cielny
Ko ció filialny pw. MB Anielskiej
Mur przyko cielny
brama w murze
remiza stra y po arnej
Dom ludowy
transformator I
transformator II
dom mieszkalny
dom mieszkalny
dom mieszkalny
dom mieszkalny
dom mieszkalny
Stodo a
Owczarnia I
Owczarnia II
Budynek mieszkalno-gospodarczy
22
22
22
33
34
37
40
41
44
45
47
47
48
49
60
61
64
72
75
59
96
7
8
10
11
11, d.114
11, d.114
11, d.114
11, d.114
12
dom mieszkalny
dom mieszkalny
gospodarczy
dom mieszkalny
dom mieszkalny
dom mieszkalny
dom mieszkalny
dom mieszkalny
dom mieszkalny
dom mieszkalny
dom mieszkalny
gospodarczy
dom mieszkalny
dom mieszkalny
dom mieszkalny
dom mieszkalny
dom mieszkalny
dom mieszkalny
dom mieszkalny
obszar
zespó
ko ció
122/943
mur
inny
remiza stra y po arnej
publiczny
transformator
transformator
dom mieszkalny
dom mieszkalny
dom mieszkalny
dom mieszkalny
dom mieszkalny
gospodarczy
gospodarczy
gospodarczy
dom mieszkalny
11.09.1961
71
ZMIANA STUDIUM UWARUNKOWA I KIERUNKÓW ZAGOSPODAROWANIA PRZESTRZENNEGO GMINY LE NA
615.
616.
617.
618.
619.
620.
621.
622.
623.
624.
625.
626.
627.
628.
629.
630.
631.
632.
633.
634.
635.
636.
637.
638.
639.
640.
641.
642.
643.
644.
645.
646.
647.
648.
649.
650.
651.
Stankowice
Stankowice
Stankowice
Stankowice
Stankowice
Stankowice
Stankowice
Stankowice
Stankowice
Stankowice
Stankowice
Stankowice
Stankowice
Stankowice
Stankowice
Stankowice
Stankowice
Stankowice
Stankowice
Stankowice
Stankowice
Stankowice
Stankowice
Stankowice
Stankowice
Stankowice
Stankowice
Stankowice
Stankowice
Stankowice
Stankowice
Stankowice
Stankowice
Stankowice
Stankowice
Stankowice
Stankowice
dom mieszkalny
Go ciniec, ob. klub
dom mieszkalny
dom mieszkalny
dom mieszkalny
Budynek mieszkalno-gospodarczy
Stodo a
Budynek mieszkalno-gospodarczy
dom mieszkalny
Budynek mieszkalno-gospodarczy
Budynek mieszkalno-gospodarczy
dom mieszkalny
dom mieszkalny
Budynek mieszkalno-gospodarczy
Budynek mieszkalno-gospodarczy
Stodo a
dom mieszkalny
dom mieszkalny
dom mieszkalny
Budynek mieszkalno-gospodarczy
dom mieszkalny
dom mieszkalny
dom mieszkalny
Budynek gospodarczy
dom mieszkalny
Budynek mieszkalno-gospodarczy
dom mieszkalny
dom mieszkalny
Wozownia
dom mieszkalny
szko a
Budynek gospodarczy
Budynek mieszkalno-gospodarczy
dom mieszkalny
Stodo a
dom mieszkalny
dom mieszkalny
15
16
28
37
39
40
40
46
48
52
53
54
55
61
62
62
64
68
70
72
74
85
86
86
87
88
89
92
92
96
97
97
100
108
108
109
110
dom mieszkalny
publiczny
dom mieszkalny
dom mieszkalny
dom mieszkalny
dom mieszkalny
gospodarczy
dom mieszkalny
dom mieszkalny
dom mieszkalny
dom mieszkalny
dom mieszkalny
dom mieszkalny
dom mieszkalny
dom mieszkalny
gospodarczy
dom mieszkalny
dom mieszkalny
dom mieszkalny
dom mieszkalny
dom mieszkalny
dom mieszkalny
dom mieszkalny
gospodarczy
dom mieszkalny
dom mieszkalny
dom mieszkalny
dom mieszkalny
gospodarczy
dom mieszkalny
publiczny
gospodarczy
dom mieszkalny
dom mieszkalny
gospodarczy
dom mieszkalny
dom mieszkalny
72
ZMIANA STUDIUM UWARUNKOWA I KIERUNKÓW ZAGOSPODAROWANIA PRZESTRZENNEGO GMINY LE NA
652.
653.
654.
655.
656.
657.
658.
659.
660.
661.
662.
663.
664.
665.
666.
667.
668.
669.
670.
671.
672.
673.
674.
675.
676.
677.
678.
679.
680.
681.
682.
683.
684.
685.
686.
687.
688.
Stankowice
Stankowice
Stankowice
Stankowice
Stankowice
Stankowice
Stankowice
Sucha
Sucha
Sucha
Sucha
Sucha
Sucha
Sucha
Sucha
Sucha
Sucha
Sucha
Sucha
Sucha
Sucha
Sucha
Sucha
Sucha
Sucha
Sucha
Sucha
Sucha
Sucha
Sucha
Sucha
Sucha
Sucha
Sucha
Sucha
Sucha
Szyszkowa
dom mieszkalny
dom mieszkalny
Budynek gospodarczy
dom mieszkalny
dom mieszkalny
dom mieszkalny
dom mieszkalny
zespó Zamku Czocha:
Zamek Czocha
mur przyzamcza
mur ogrodzeniowy z bram i baszt
brama w murze na przedzamcze
Kaplica zamkowa
Most I przy zamku
Most II
Wie a mieszkalna
Basteja pó nocna przy zamku
Studnia zamkowa
zespó folwarczny przy zamku Czocha z parkiem:
Stajnia
Komórki pracownicze
Spichlerz
Oficyna z wozowni , ob. muzeum przedzamcza
Spichlerz, ob. dom mieszkalny
Obora z cz ci mieszkaln
Stodo a (ruina)
Owczarnia z cz ci mieszkaln
Wozownia ze stajni , rze ni i cz. mieszkaln
dawne ogrodnictwo, ob. dom mieszkalny
dom mieszkalny
dom z ku ni i stolarni
dom mieszkalny
dom mieszkalny
dom mieszkalny
Park wokó zamku
Glorietta
historyczny uk ad ruralistyczny wsi
111
112
115
116
117
118
119
3
4
6
7
8
dom mieszkalny
dom mieszkalny
gospodarczy
dom mieszkalny
dom mieszkalny
dom mieszkalny
dom mieszkalny
zespó
zamek
mur
mur
inny
kaplica
most
most
wie a
inny
inne
zespó
gospodarczy
gospodarczy
gospodarczy
dom mieszkalny
dom mieszkalny
gospodarczy
gospodarczy
gospodarczy
gospodarczy
dom mieszkalny
dom mieszkalny
gospodarczy
dom mieszkalny
dom mieszkalny
dom mieszkalny
park
inny
obszar
100/790
100/790
101/790
100/790
101/899/J
101/899/J
101/899/J
101/899/J
100/790
100/790
26.10.1960
26.10.1960
26.10.1960
26.10.1960
14.08.1987
14.08.1987
14.08.1987
14.08.1987
26.10.1960
26.10.1960
101/899/J
101/899/J
101/899/J
101/899/J
101/899/J
101/899/J
101/899/J
101/899/J
101/899/J
101/899/J
101/899/J
101/899/J
101/899/J
101/899/J
101/899/J
102/893/J
102/893/J
14.08.1987
14.08.1987
14.08.1987
14.08.1987
14.08.1987
14.08.1987
14.08.1987
14.08.1987
14.08.1987
14.08.1987
14.08.1987
14.08.1987
14.08.1987
14.08.1987
14.08.1987
27.02.1987
27.02.1987
73
ZMIANA STUDIUM UWARUNKOWA I KIERUNKÓW ZAGOSPODAROWANIA PRZESTRZENNEGO GMINY LE NA
689.
690.
Szyszkowa Dolna
Szyszkowa Dolna
zespó dworski (dawny)
Dwór - relikty w zespole
zespó
dwór
691.
692.
693.
694.
695.
Szyszkowa Dolna
Szyszkowa Dolna
Szyszkowa Górna
Szyszkowa Górna
Szyszkowa Górna
66a
66a
66
dom mieszkalny
dom mieszkalny
zespó
pa ac
oficyna
696.
Szyszkowa Górna
66b
dom mieszkalny
697.
698.
Szyszkowa Górna
Szyszkowa Górna
66d
66
gospodarczy
gospodarczy
699.
700.
701.
702.
Szyszkowa Górna
Szyszkowa Górna
Szyszkowa Górna
Szyszkowa Górna
66e
gospodarczy
inne
inne
dom mieszkalny
703.
704.
705.
706.
707.
708.
709.
710.
711.
712.
713.
714.
715.
716.
717.
718.
719.
720.
721.
Szyszkowa Górna
Szyszkowa Górna
Szyszkowa Górna
Szyszkowa Górna
Szyszkowa Górna
Szyszkowa Górna
Szyszkowa Górna
Szyszkowa Górna
Szyszkowa Górna
Szyszkowa Górna
Szyszkowa Górna
Szyszkowa Górna
Szyszkowa Górna
Szyszkowa Górna
Szyszkowa Górna
Szyszkowa Górna
Szyszkowa Górna
Szyszkowa Górna
Szyszkowa Górna
Budynek mieszkalno-gospodarczy I w zespole
Budynek mieszkalno-gospodarczy II w zespole
Zespó pa acowo-parkowy
Pa ac
Oficyna przypa acowa (skrzyd o wschodnie- stajnia
z wozowni )
budynek mieszkalno-gospodarczy w zespole
pa acowo-parkowym
Spichlerz w zespole pa acowo-parkowym
Obora z cz ci mieszkaln w zespole pa acowoparkowym
warsztat, d. ku nia w zespole pa acowo-parkowym
taras w zespole pa acowo-parkowym
uj cie ród a w zespole pa acowo-parkowym
Budynek mieszkalno-gospodarczy w zespole
pa acowo-parkowym
wie a ci nie (ruina) w zespole pa acowo-parkowym
Park pa acowy
remiza stra y po arnej
Budynek mieszkalno-gospodarczy
Budynek mieszkalno-gospodarczy
Budynek mieszkalno-gospodarczy
Budynek mieszkalno-gospodarczy
dom mieszkalny
Budynek mieszkalno-gospodarczy
dom mieszkalny
Budynek mieszkalno-gospodarczy
dom mieszkalny
dom mieszkalny
Budynek mieszkalno-gospodarczy
Budynek gospodarczy
Budynek mieszkalno-gospodarczy
Budynek mieszkalno-gospodarczy
Budynek mieszkalno-gospodarczy
Budynek mieszkalno-gospodarczy
4
12
18
21
24
26
28
30
31
32
38
38
43
44
45
46
przemys owy
park
124/875/J
remiza stra y po arnej
dom mieszkalny
dom mieszkalny
dom mieszkalny
dom mieszkalny
dom mieszkalny
dom mieszkalny
dom mieszkalny
dom mieszkalny
dom mieszkalny
dom mieszkalny
dom mieszkalny
gospodarczy
dom mieszkalny
dom mieszkalny
dom mieszkalny
dom mieszkalny
skre lony
(656/J)
123/1293/J
123/1293/J
14.04.1997
14.04.1997
12.09.1985
74
ZMIANA STUDIUM UWARUNKOWA I KIERUNKÓW ZAGOSPODAROWANIA PRZESTRZENNEGO GMINY LE NA
722.
723.
724.
725.
726.
727.
728.
729.
730.
731.
732.
733.
734.
735.
736.
737.
738.
739.
740.
741.
742.
743.
744.
745.
746.
747.
748.
749.
750.
751.
752.
753.
754.
755.
756.
757.
Szyszkowa Górna
Szyszkowa Górna
Szyszkowa Górna
Szyszkowa Górna
Szyszkowa Górna
Szyszkowa Górna
Szyszkowa Górna
Szyszkowa Górna
Szyszkowa Górna
Szyszkowa Górna
Szyszkowa Górna
Szyszkowa Górna
Szyszkowa Górna
Szyszkowa Górna
Szyszkowa Górna
Szyszkowa Górna
Szyszkowa Górna
Szyszkowa Górna
Szyszkowa Górna
Szyszkowa Górna
Szyszkowa Górna
Szyszkowa Górna
wiecie
wiecie
wiecie
wiecie
wiecie
wiecie
wiecie
wiecie
wiecie
wiecie
wiecie
wiecie
wiecie
wiecie
dom mieszkalny
dom mieszkalny
Budynek mieszkalno-gospodarczy
dom mieszkalny
Dom, ob. budynek gosp.
dom mieszkalny
dom mieszkalny
dom mieszkalny
dom mieszkalny
Szko a, ob. dom mieszkalny
Budynek mieszkalno-gospodarczy
Budynek mieszkalno-gospodarczy
yn wodny z wyposa eniem
dom mieszkalny
dom mieszkalny
dom mieszkalny
dom mieszkalny
dom mieszkalny
dom mieszkalny
Budynek mieszkalno-gospodarczy
dom mieszkalny
dom mieszkalny
historyczny uk ad ruralistyczny wsi
zespó ko cielny
Ko ció filialny pw. Naj wi tszego Serca P. Jezusa
Cmentarz przy ko ciele pw. Naj wi tszego Serca P.
Jezusa
Brama na cmentarz
zespó zamkowy
Zamek (ruina)
Brama w murze
Baszta zamkowa
Park zamkowy
Pa ac (ruina)
Park krajobrazowy
Budynek mieszkalno-gospodarczy
dom mieszkalny
47
48
56
57
58
59
61
62
63
65
68
69
70
77
78
80
84
91
97
98
101
102
1
5
dom mieszkalny
dom mieszkalny
dom mieszkalny
dom mieszkalny
dom mieszkalny
dom mieszkalny
dom mieszkalny
dom mieszkalny
dom mieszkalny
dom mieszkalny
dom mieszkalny
dom mieszkalny
yn
dom mieszkalny
dom mieszkalny
dom mieszkalny
dom mieszkalny
dom mieszkalny
dom mieszkalny
dom mieszkalny
dom mieszkalny
dom mieszkalny
obszar
zespó
ko ció
cmentarz
inny
zespó
zamek
inny
inny
park
pa ac
park
dom mieszkalny
dom mieszkalny
125/927/J
08.02.1989
128/945
129/943/J
13.09.1961
07.02.1989
130/788
130/788
130/788
130/788
26.10.1960
26.10.1960
26.10.1960
26.10.1960
75
ZMIANA STUDIUM UWARUNKOWA I KIERUNKÓW ZAGOSPODAROWANIA PRZESTRZENNEGO GMINY LE NA
758.
759.
760.
761.
762.
763.
764.
765.
766.
767.
768.
769.
770.
771.
772.
773.
774.
775.
776.
777.
778.
779.
780.
781.
782.
783.
784.
785.
786.
787.
788.
789.
790.
791.
792.
793.
794.
wiecie
wiecie
wiecie
wiecie
wiecie
wiecie
wiecie
wiecie
wiecie
wiecie
wiecie
wiecie
wiecie
wiecie
wiecie
wiecie
wiecie
wiecie
wiecie
wiecie
wiecie
wiecie
wiecie
wiecie
wiecie
wiecie
wiecie
wiecie
wiecie
wiecie
wiecie
wiecie
wiecie
wiecie
wiecie
wiecie
wiecie
Budynek mieszkalno-gospodarczy
Budynek mieszkalno-gospodarczy
Budynek mieszkalno-gospodarczy
Budynek mieszkalno-gospodarczy
Budynek mieszkalno-gospodarczy
dom mieszkalny
dom mieszkalny
dom mieszkalny
dom mieszkalny
Budynek mieszkalno-gospodarczy
dom mieszkalny
dom mieszkalny
dom mieszkalny
dom mieszkalny
dom mieszkalny
Budynek mieszkalno-gospodarczy
dom mieszkalny
dom mieszkalny
Budynek mieszkalno-gospodarczy
Stodo a
dom mieszkalny
dom mieszkalny
Budynek mieszkalno-gospodarczy
dom mieszkalny
dom mieszkalny
dom mieszkalny
Obora
Budynek mieszkalno-gospodarczy
dom mieszkalny
Budynek mieszkalno-gospodarczy
Budynek mieszkalno-gospodarczy
dom mieszkalny
Budynek mieszkalno-gospodarczy
dom mieszkalny
Budynek mieszkalno-gospodarczy
Budynek mieszkalno-gospodarczy
d. pastorówka, ob. dom mieszkalny
8
16
17
18
19
21
39
44
47
57
83
94
95
100
104
118
120
122
124
124
130
131
132
139
141
142
195a
196
197
199
202
205
208
217
223
234
245
dom mieszkalny
dom mieszkalny
dom mieszkalny
dom mieszkalny
dom mieszkalny
dom mieszkalny
dom mieszkalny
dom mieszkalny
dom mieszkalny
dom mieszkalny
dom mieszkalny
dom mieszkalny
dom mieszkalny
dom mieszkalny
dom mieszkalny
dom mieszkalny
dom mieszkalny
dom mieszkalny
dom mieszkalny
gospodarczy
dom mieszkalny
dom mieszkalny
dom mieszkalny
dom mieszkalny
dom mieszkalny
dom mieszkalny
gospodarczy
dom mieszkalny
dom mieszkalny
dom mieszkalny
dom mieszkalny
dom mieszkalny
dom mieszkalny
dom mieszkalny
dom mieszkalny
dom mieszkalny
plebania
76
ZMIANA STUDIUM UWARUNKOWA I KIERUNKÓW ZAGOSPODAROWANIA PRZESTRZENNEGO GMINY LE NA
795.
796.
797.
798.
799.
800.
801.
802.
803.
804.
805.
wiecie
wiecie
wiecie
wiecie
wiecie
wiecie
wiecie
wiecie
wiecie
wiecie
wiecie
806.
wiecie
807.
wiecie
808.
809.
810.
811.
812.
813.
814.
815.
816.
817.
818.
819.
820.
821.
822.
823.
824.
825.
826.
827.
828.
wiecie
wiecie
wiecie
wiecie
wiecie
wiecie
wiecie
wiecie
wiecie
wiecie
wiecie
wiecie
wiecie
wiecie
wiecie
wiecie
Wolimierz
Wolimierz
Wolimierz
Wolimierz
Wolimierz
dom mieszkalny
Budynek mieszkalno-gospodarczy
dom mieszkalny
remiza stra y po arnej
dom mieszkalny
dom mieszkalny
zespó folwarczny
Brama w murze w zespole folwarcznym
Budynek gospodarczy I w zespole
Budynek gospodarczy II w zespole
Budynek mieszkalno-gospodarczy w zespole
folwarcznym
Budynek mieszkalno-gospodarczy w zespole
folwarcznym
Budynek mieszkalno-gospodarczy w zespole
folwarcznym
dom mieszkalny
dom mieszkalny
dom mieszkalny
dom mieszkalny
dom mieszkalny
dom mieszkalny
dom mieszkalny
dom mieszkalny
dom mieszkalny
dom mieszkalny
dom mieszkalny
Stodo a
dom mieszkalny
dom mieszkalny
dom mieszkalny
most kamienny nad potokiem
historyczny uk ad ruralistyczny wsi
zespó ko cielny
Ko ció filialny pw. Wniebowzi cia NMP
Cmentarz d. ewangelicki
Mur przyko cielny
254
255
256
258
259
261
263
263
263
263a
dom mieszkalny
dom mieszkalny
dom mieszkalny
remiza stra y po arnej
dom mieszkalny
dom mieszkalny
zespó
inny
gospodarczy
gospodarczy
dom mieszkalny
263b
dom mieszkalny
263c
gospodarczy
267a
270
272
272a
273
274
275
276
278
280
282
282
283
285
289
dom mieszkalny
dom mieszkalny
dom mieszkalny
dom mieszkalny
dom mieszkalny
dom mieszkalny
dom mieszkalny
dom mieszkalny
dom mieszkalny
dom mieszkalny
dom mieszkalny
gospodarczy
dom mieszkalny
dom mieszkalny
dom mieszkalny
most
obszar
zespó
ko ció
cmentarz
mur
62/A/02
126/975/J
23.11.2001
25.07.1989
77
ZMIANA STUDIUM UWARUNKOWA I KIERUNKÓW ZAGOSPODAROWANIA PRZESTRZENNEGO GMINY LE NA
829.
830.
831.
832.
833.
834.
835.
836.
837.
838.
839.
840.
841.
842.
843.
844.
845.
846.
847.
848.
849.
850.
851.
852.
853.
854.
855.
856.
857.
858.
859.
860.
861.
862.
863.
864.
865.
Wolimierz
Wolimierz
Wolimierz
Wolimierz
Wolimierz
Wolimierz
Wolimierz
Wolimierz
Wolimierz
Wolimierz
Wolimierz
Wolimierz
Wolimierz
Wolimierz
Wolimierz
Wolimierz
Wolimierz
Wolimierz
Wolimierz
Wolimierz
Wolimierz
Wolimierz
Wolimierz
Wolimierz
Wolimierz
Wolimierz
Wolimierz
Wolimierz
Wolimierz
Wolimierz
Wolimierz
Wolimierz
Wolimierz
Wolimierz
Wolimierz
Wolimierz
Wolimierz
stacja kolejowa
dom mieszkalny
Stodo a
dom mieszkalny
dom mieszkalny
dom mieszkalny
dom mieszkalny
dom mieszkalny
dom mieszkalny
Budynek mieszkalno-gospodarczy
dom mieszkalny
dom mieszkalny
dom mieszkalny
dom mieszkalny
dom mieszkalny
dom mieszkalny
dom mieszkalny
dom mieszkalny
dom mieszkalny
dom mieszkalny
dom mieszkalny
dom mieszkalny
dom mieszkalny
stodo a
dom mieszkalny
dom mieszkalny
dom mieszkalny
dom mieszkalny
Stodo a
dom mieszkalny
dom mieszkalny
Budynek mieszkalno-us ugowy
dom mieszkalny
dom mieszkalny
dom mieszkalny
dom mieszkalny
dom mieszkalny
5
12
19
23
24
27
29
32
37
38
39
40
41
51
52
53
54
55
56
58
60
93
93
95
96
97
109
109
110
113
119
120
123
124
125
126
stacja kolejowa
dom mieszkalny
gospodarczy
dom mieszkalny
dom mieszkalny
dom mieszkalny
dom mieszkalny
dom mieszkalny
dom mieszkalny
dom mieszkalny
dom mieszkalny
dom mieszkalny
dom mieszkalny
dom mieszkalny
dom mieszkalny
dom mieszkalny
dom mieszkalny
dom mieszkalny
dom mieszkalny
dom mieszkalny
dom mieszkalny
dom mieszkalny
dom mieszkalny
dom mieszkalny
dom mieszkalny
dom mieszkalny
dom mieszkalny
dom mieszkalny
gospodarczy
dom mieszkalny
dom mieszkalny
dom mieszkalny
dom mieszkalny
dom mieszkalny
dom mieszkalny
dom mieszkalny
dom mieszkalny
78
ZMIANA STUDIUM UWARUNKOWA I KIERUNKÓW ZAGOSPODAROWANIA PRZESTRZENNEGO GMINY LE NA
866.
867.
868.
869.
870.
871.
872.
873.
874.
875.
876.
877.
878.
879.
880.
881.
882.
883.
884.
885.
886.
887.
888.
889.
890.
891.
892.
893.
894.
895.
896.
897.
898.
899.
900.
901.
902.
Wolimierz
Wolimierz
Wolimierz
Wolimierz
Wolimierz
Wolimierz
Wolimierz
Wolimierz
Wolimierz
Wolimierz
Wolimierz
Wolimierz
Wolimierz
Wolimierz
Wolimierz
Wolimierz
Wolimierz
Wolimierz
Wolimierz
Wolimierz
Wolimierz
Wolimierz
Wolimierz
Wolimierz
Wolimierz
Wolimierz
Wolimierz
Wolimierz
Wolimierz
Zacisze
Zacisze
Zacisze
Zacisze
Zacisze
Zacisze
Zacisze
otniki Luba skie
szko a
dom mieszkalny
dom mieszkalny
dom mieszkalny
dom mieszkalny
dom mieszkalny
dom mieszkalny
dom mieszkalny
dom mieszkalny
dom mieszkalny
dom mieszkalny
dom mieszkalny
dom mieszkalny
dom mieszkalny
dom mieszkalny
dom mieszkalny
dom mieszkalny
dom mieszkalny
dom mieszkalny
dom mieszkalny
dom mieszkalny
dom mieszkalny
dom mieszkalny
dom mieszkalny
dom mieszkalny
dom mieszkalny
dom mieszkalny
dom mieszkalny
dom mieszkalny
historyczny uk ad ruralistyczny wsi
dom mieszkalny
dom mieszkalny
dom mieszkalny
dom mieszkalny
Budynek gospodarczy
szko a
historyczny uk ad ruralistyczny wsi
129
130
133
136
139
140
141
142
144
147
151
152
154
155
158
160
163
175
177
190
198
199
203
205
207
208
211
212
213
1
2
13
47
47
52
publiczny
dom mieszkalny
dom mieszkalny
dom mieszkalny
dom mieszkalny
dom mieszkalny
dom mieszkalny
dom mieszkalny
dom mieszkalny
dom mieszkalny
dom mieszkalny
dom mieszkalny
dom mieszkalny
dom mieszkalny
dom mieszkalny
dom mieszkalny
dom mieszkalny
dom mieszkalny
dom mieszkalny
dom mieszkalny
dom mieszkalny
dom mieszkalny
dom mieszkalny
dom mieszkalny
dom mieszkalny
dom mieszkalny
dom mieszkalny
dom mieszkalny
dom mieszkalny
obszar
dom mieszkalny
dom mieszkalny
dom mieszkalny
dom mieszkalny
gospodarczy
publiczny
obszar
79
ZMIANA STUDIUM UWARUNKOWA I KIERUNKÓW ZAGOSPODAROWANIA PRZESTRZENNEGO GMINY LE NA
903.
904.
905.
906.
907.
908.
909.
910.
911.
912.
913.
914.
915.
916.
917.
918.
919.
920.
921.
922.
923.
924.
925.
926.
927.
928.
929.
930.
931.
932.
933.
934.
935.
936.
937.
938.
939.
otniki Luba
otniki Luba
otniki Luba
otniki Luba
otniki Luba
otniki Luba
otniki Luba
otniki Luba
otniki Luba
otniki Luba
otniki Luba
otniki Luba
otniki Luba
otniki Luba
otniki Luba
otniki Luba
otniki Luba
otniki Luba
otniki Luba
otniki Luba
otniki Luba
otniki Luba
otniki Luba
otniki Luba
otniki Luba
otniki Luba
otniki Luba
otniki Luba
otniki Luba
otniki Luba
otniki Luba
otniki Luba
otniki Luba
otniki Luba
otniki Luba
otniki Luba
otniki Luba
skie
skie
skie
skie
skie
skie
skie
skie
skie
skie
skie
skie
skie
skie
skie
skie
skie
skie
skie
skie
skie
skie
skie
skie
skie
skie
skie
skie
skie
skie
skie
skie
skie
skie
skie
skie
skie
Stare Miasto – historyczny uk ad urbanistyczny
Ko ció pw. w. Józefa
Ratusz
szubienica redniowieczna - ruiny, tzw. baszta
dom mieszkalny
dom mieszkalny
dom mieszkalny
dom mieszkalny
dom mieszkalny
dom mieszkalny
dom mieszkalny
dom mieszkalny
dom mieszkalny
dom mieszkalny
dom mieszkalny
dom mieszkalny
dom mieszkalny
dom mieszkalny
dom mieszkalny
dom mieszkalny
dom mieszkalny
dom mieszkalny
dom mieszkalny
dom mieszkalny
dom mieszkalny
dom mieszkalny
dom mieszkalny
dom mieszkalny
dom mieszkalny
dom mieszkalny
dom mieszkalny
dom mieszkalny
dom mieszkalny
dom mieszkalny
dom mieszkalny
dom mieszkalny
dom mieszkalny
1
3
4
5
6
7
8
9
11
12
13
14
15
17
18
20
22
23
24
25
26
27
28
29
30
31
32
33
34
36
37
38
39
obszar
ko ció
ratusz
inne
dom mieszkalny
dom mieszkalny
dom mieszkalny
dom mieszkalny
dom mieszkalny
dom mieszkalny
dom mieszkalny
dom mieszkalny
dom mieszkalny
dom mieszkalny
dom mieszkalny
dom mieszkalny
dom mieszkalny
dom mieszkalny
dom mieszkalny
dom mieszkalny
dom mieszkalny
dom mieszkalny
dom mieszkalny
dom mieszkalny
dom mieszkalny
dom mieszkalny
dom mieszkalny
dom mieszkalny
dom mieszkalny
dom mieszkalny
dom mieszkalny
dom mieszkalny
dom mieszkalny
dom mieszkalny
dom mieszkalny
dom mieszkalny
dom mieszkalny
127/1945
17.05.1968
80
ZMIANA STUDIUM UWARUNKOWA I KIERUNKÓW ZAGOSPODAROWANIA PRZESTRZENNEGO GMINY LE NA
940.
941.
942.
943.
944.
945.
946.
947.
948.
949.
950.
951.
952.
953.
954.
955.
956.
957.
958.
959.
960.
961.
962.
963.
964.
965.
966.
967.
968.
969.
970.
971.
otniki Luba
otniki Luba
otniki Luba
otniki Luba
otniki Luba
otniki Luba
otniki Luba
otniki Luba
otniki Luba
otniki Luba
otniki Luba
otniki Luba
otniki Luba
otniki Luba
otniki Luba
otniki Luba
otniki Luba
otniki Luba
otniki Luba
otniki Luba
oty Potok
oty Potok
oty Potok
oty Potok
oty Potok
oty Potok
oty Potok
oty Potok
oty Potok
oty Potok
oty Potok
oty Potok
skie
skie
skie
skie
skie
skie
skie
skie
skie
skie
skie
skie
skie
skie
skie
skie
skie
skie
skie
skie
dom mieszkalny
dom mieszkalny
dom mieszkalny
remiza stra y po arnej, ob. dom mieszkalny
dom mieszkalny
dom mieszkalny
dom mieszkalny
dom mieszkalny
dom mieszkalny
dom mieszkalny
dom mieszkalny
dom mieszkalny
szpital
dom mieszkalny
dom mieszkalny
dom mieszkalny
dom mieszkalny
dom mieszkalny
transformator
dom mieszkalny
historyczny uk ad ruralistyczny wsi
dom mieszkalny
dom mieszkalny
dom mieszkalny
dom mieszkalny
dom mieszkalny
dom mieszkalny
dom mieszkalny
dom mieszkalny
Budynek mieszkalno-us ugowy
transformator
dom mieszkalny
40
41
42
43
44
46
48
49
51
53
53a
54
55
71
74
86
94
95a
97
98
5
7
8
9
13
14
25
33
35
35
43
dom mieszkalny
dom mieszkalny
dom mieszkalny
dom mieszkalny
dom mieszkalny
dom mieszkalny
dom mieszkalny
dom mieszkalny
dom mieszkalny
dom mieszkalny
dom mieszkalny
dom mieszkalny
publiczny
dom mieszkalny
dom mieszkalny
dom mieszkalny
dom mieszkalny
dom mieszkalny
transformator
dom mieszkalny
obszar
dom mieszkalny
dom mieszkalny
dom mieszkalny
dom mieszkalny
dom mieszkalny
dom mieszkalny
dom mieszkalny
dom mieszkalny
dom mieszkalny
transformator
dom mieszkalny
*wed ug danych z Wojewódzkiego Urz du Ochrony Zabytków
81