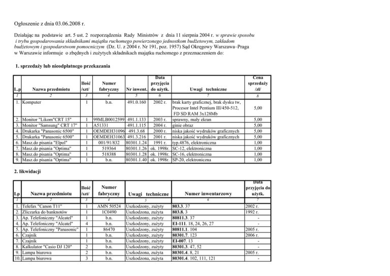
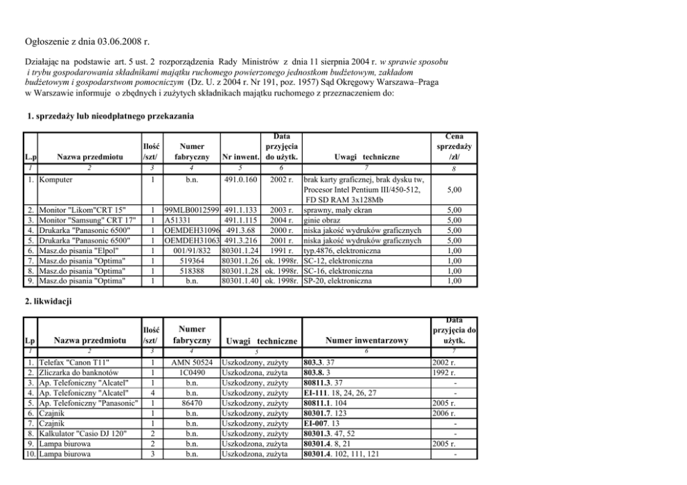
Ogłoszenie z dnia 03.06.2008 r. - Sąd Okręgowy Warszawa

Transkrypt

Ogłoszenie z dnia 03.06.2008 r. - Sąd Okręgowy Warszawa
Ogłoszenie z dnia 03.06.2008 r.
Działając na podstawie art. 5 ust. 2 rozporządzenia Rady Ministrów z dnia 11 sierpnia 2004 r. w sprawie sposobu
i trybu gospodarowania składnikami majątku ruchomego powierzonego jednostkom budżetowym, zakładom
budżetowym i gospodarstwom pomocniczym (Dz. U. z 2004 r. Nr 191, poz. 1957) Sąd Okręgowy Warszawa–Praga
w Warszawie informuje o zbędnych i zużytych składnikach majątku ruchomego z przeznaczeniem do:
1. sprzedaży lub nieodpłatnego przekazania
L.p
Nazwa przedmiotu
1
2
3
4
5
6
1
b.n.
491.0.160
2002 r.
1. Komputer
2.
3.
4.
5.
6.
7.
8.
9.
Monitor "Likom"CRT 15"
Monitor "Samsung" CRT 17"
Drukarka "Panasonic 6500"
Drukarka "Panasonic 6500"
Masz.do pisania "Elpol"
Masz.do pisania "Optima"
Masz.do pisania "Optima"
Masz.do pisania "Optima"
1
1
1
1
1
1
1
1
Numer
fabryczny
Data
przyjęcia
Nr inwent. do użytk.
Ilość
/szt/
Uwagi techniczne
Cena
sprzedaży
/zł/
7
8
brak karty graficznej, brak dysku tw,
Procesor Intel Pentium III/450-512,
FD SD RAM 3x128Mb
99MLB0012599 491.1.133
2003 r. sprawny, mały ekran
A51331
491.1.115
2004 r. ginie obraz
OEMDEH31096 491.3.68
2000 r. niska jakość wydruków graficznych
OEMDEH31063 491.3.216
2001 r. niska jakość wydruków graficznych
001/91/832 80301.1.24 1991 r. typ.4876, elektroniczna
519364
80301.1.26 ok. 1998r. SC-12, elektroniczna
518388
80301.1.28 ok. 1998r. SC-16, elektroniczna
b.n.
80301.1.40 ok. 1998r. SP-20, elektroniczna
5,00
5,00
5,00
5,00
5,00
1,00
1,00
1,00
1,00
2. likwidacji
Numer
fabryczny
Lp
Nazwa przedmiotu
Ilość
/szt/
1
2
3
4
5
1.
2.
3.
4.
5.
6.
7.
8.
9.
10.
Telefax "Canon T11"
Zliczarka do banknotów
Ap. Telefoniczny "Alcatel"
Ap. Telefoniczny "Alcatel"
Ap. Telefoniczny "Panasonic"
Czajnik
Czajnik
Kalkulator "Casio DJ 120"
Lampa biurowa
Lampa biurowa
1
1
1
4
1
1
1
2
2
3
AMN 50524
1C0490
b.n.
b.n.
86470
b.n.
b.n.
b.n.
b.n.
b.n.
Uszkodzony, zużyty
Uszkodzona, zużyta
Uszkodzony, zużyty
Uszkodzony, zużyty
Uszkodzony, zużyty
Uszkodzony, zużyty
Uszkodzony, zużyty
Uszkodzony, zużyty
Uszkodzona, zużyta
Uszkodzona, zużyta
Uwagi techniczne
Numer inwentarzowy
Data
przyjęcia do
użytk.
6
7
803.3. 37
803.8. 3
80811.3. 37
EI-111. 18, 24, 26, 27
80811.1. 104
80301.7. 123
EI-007. 13
80301.3. 47, 52
80301.4. 8, 21
80301.4. 102, 111, 121
2002 r.
1992 r.
2005 r.
2006 r.
2005 r.
-
11.
12.
13.
14.
15.
16.
17.
18.
19.
20.
21.
22.
23.
Lampa biurowa
Masz.do liczenia "Casio"
Masz.do liczenia "Citizen"
Masz.do liczenia "Citizen"
Telefon komórkowy
Telefon komórkowy
Telefon komórkowy
Telefon komórkowy
Terma elektryczna
Tester banknotów
Wentylator
Krzesło wyściełane
Godło
3
1
1
1
1
1
2
1
8
2
1
6
55
b.n.
b.n.
31076529
6D003374
b.n.
b.n.
b.n.
b.n.
b.n.
b.n.
b.n.
b.n.
b.n.
Uszkodzona, zużyta
Uszkodzona, zużyta
Uszkodzona, zużyta
Uszkodzona, zużyta
Wyeksploatowany
Wyeksploatowany
Wyeksploatowany
Wyeksploatowany
Uszkodzona, zużyta
Uszkodzony
Uszkodzony, zużyty
Uszkodzone, zużyte
Niezg.z obow.wzorem
24. Walizka na kółkach
25. Walizka na kółkach
26. Klawiatura
1
3
17
b.n.
b.n.
b.n.
Uszkodzona, zużyta
Zużyta, połam. kółka
Uszkodzona
27.
28.
29.
30.
31.
32.
33.
34.
35.
36.
37.
38.
39.
9
1
1
1
2
10
3
4
2
1
6
1
1
b.n.
b.n.
UTG06814
76201084798
b.n.
b.n.
b.n.
b.n.
b.n.
b.n.
b.n.
b.n.
b.n.
Uszkodzona
uszkodz. przestarzała
uszkodz. awaryjna
uszkodz. awaryjna
uszkodz. przestarzała
uszkodz. zużyte
uszkodz. zużyte
uszkodz. zużyte
uszkodz. zużyte
uszkodz. zużyte
uszkodz. zużyte
uszkodz. przestarzały
uszkodz. awaryjny
Mysz komputerowa
Centralka telefonicz."Digitex"
Kserokopiarka "Canon 6012"
Maszyna do pisania"Olimpia"
Maszyna do pisania"Łucznik"
Krzesło wyściełane
Krzesło obrotowe
Biurko
Szafka 2-drzw.
Stół
Czajnik
Radioodbiornik
Odkurzacz
80301.4. 135, 136, 148
EI-002. 2
80301.2. 20
80301.2. 14
629.0. 8
629.0. 9
629.0. 4, 15
629.0. 19
EI-102. 16, 18 do 20, 22 do 24, 27
80301.17. 1, 2
80301.8. 65
EI-081. 46, 60 do 64
EI-VI- 1, 2, 8, 9, 14 do 24, 26 do 39,
114, 115, 122 do 125, 127, 129,131,
134, 137 do 140, kartoteka K-VI
80301.13. 5
b.n.
491.2. 53, 56, 61, 65, 69, 79, 94, 96,
98, 150, 226, 235, 265,287, b.n.3 szt
b.n.
626.0.2
803.2.42
80301.1.43
EI-001.3 i 4
EI-081.72 ,113, 115, 117 do 123
EI-082.87 do 89
EI-041.30 do33
EI-067.27 i 28
EI-051.49
EI-007.34 do 39
EI-005.14
EI-014.2
Składniki te są przeznaczone do sprzedaży, nieodpłatnego przekazania i darowizny, składnik majątku ruchomego
nie może być wykorzystany w realizacji zadań związanych z działalnością Sądu.
Zainteresowanych prosimy o składanie ofert pisemnych w terminie do dnia 09.06.2008 r. do godz. 15 00 w Sądzie
Okręgowym Warszawa – Praga w Warszawie pokój 249 lub przesłanie na adres Sądu.
2006 r.
2005 r.
2003 r.
2004 r.
2005 r.
2003 r.
-
2005 r.
2000r - 2006r
1982 r.
-
Wyszczególnione składniki majątku można oglądać w siedzibie Sądu Okręgowego Warszawa – Praga w Warszawie,
ul. Al.Solidarności 127 w godz. 12 00 – 14 00 w terminie od 03.06.2008 r. do 09.06.2008 r.
Osoba upoważniona do kontaktów: Wiesław Błaszczyk, tel. 022 440-71-50, 022 440-10-75
Ogłoszenie zostało umieszczone na tablicy ogłoszeń Oddziału Gospodarczego w siedzibie Sądu i na stronie
internetowej Sądu Okręgowego Warszawa – Praga w Warszawie.
Uwaga:
1. Nieodpłatne przekazanie składników majątku ruchomego może nastąpić na pisemny wniosek podmiotów
określonych w § 38 rozporządzenia Rady Ministrów z dnia 11 sierpnia 2004 r. (Dz.U. z 2004 r. Nr 191, poz.1957),
2. Darowizna składników majątku ruchomego może nastąpić na pisemny wniosek podmiotów określonych w
§ 39 rozporządzenia Rady Ministrów z dnia 11 sierpnia 2004 r. (Dz. U. z 2004r. Nr 191, poz. 1957),
3. Wniosek o nieodpłatne przekazanie lub darowiznę składników majątku ruchomego kierować należy do
Dyrektora Sądu Okręgowego Warszawa – Praga w Warszawie do dnia 09.06.2008 r.
Wniosek powinien zawierać elementy i dokumenty wymienione w § 38 ust. 4 i ust. 5 rozporządzenia Rady
Ministrów z dnia 11 sierpnia 2004 r. (Dz. U. z 2004 r. Nr 191, poz. 1957).