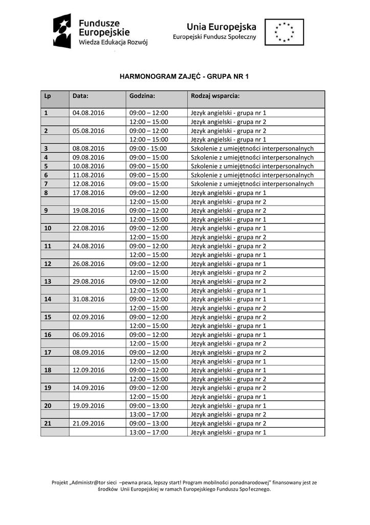
HARMONOGRAM ZAJĘĆ GRUPA NR 1 Lp Data

Transkrypt

HARMONOGRAM ZAJĘĆ GRUPA NR 1 Lp Data
 HARMONOGRAM ZAJĘĆ ­ GRUPA NR 1 Lp Data: Godzina: 1 2 3 4 5 6 7 8 9 10 11 12 13 14 15 16 17 18 19 20 21 04.08.2016 05.08.2016 08.08.2016 09.08.2016 10.08.2016 11.08.2016 12.08.2016 17.08.2016 19.08.2016 22.08.2016 24.08.2016 26.08.2016 29.08.2016 31.08.2016 02.09.2016 06.09.2016 08.09.2016 12.09.2016 14.09.2016 19.09.2016 21.09.2016 09:00 – 12:00 12:00 – 15:00 09:00 – 12:00 12:00 – 15:00 09:00 ­ 15:00 09:00 – 15:00 09:00 – 15:00 09:00 – 15:00 09:00 – 15:00 09:00 – 12:00 12:00 – 15:00 09:00 – 12:00 12:00 – 15:00 09:00 – 12:00 12:00 – 15:00 09:00 – 12:00 12:00 – 15:00 09:00 – 12:00 12:00 – 15:00 09:00 – 12:00 12:00 – 15:00 09:00 – 12:00 12:00 – 15:00 09:00 – 12:00 12:00 – 15:00 09:00 – 12:00 12:00 – 15:00 09:00 – 12:00 12:00 – 15:00 09:00 – 12:00 12:00 – 15:00 09:00 – 12:00 12:00 – 15:00 09:00 – 13:00 13:00 – 17:00 09:00 – 13:00 13:00 – 17:00 Rodzaj wsparcia: Język angielski ­ grupa nr 1 Język angielski ­ grupa nr 2 Język angielski ­ grupa nr 2 Język angielski ­ grupa nr 1 Szkolenie z umiejętności interpersonalnych Szkolenie z umiejętności interpersonalnych Szkolenie z umiejętności interpersonalnych Szkolenie z umiejętności interpersonalnych Szkolenie z umiejętności interpersonalnych Język angielski ­ grupa nr 1 Język angielski ­ grupa nr 2 Język angielski ­ grupa nr 2 Język angielski ­ grupa nr 1 Język angielski ­ grupa nr 1 Język angielski ­ grupa nr 2 Język angielski ­ grupa nr 2 Język angielski ­ grupa nr 1 Język angielski ­ grupa nr 1 Język angielski ­ grupa nr 2 Język angielski ­ grupa nr 2 Język angielski ­ grupa nr 1 Język angielski ­ grupa nr 1 Język angielski ­ grupa nr 2 Język angielski ­ grupa nr 2 Język angielski ­ grupa nr 1 Język angielski ­ grupa nr 1 Język angielski ­ grupa nr 2 Język angielski ­ grupa nr 2 Język angielski ­ grupa nr 1 Język angielski ­ grupa nr 1 Język angielski ­ grupa nr 2 Język angielski ­ grupa nr 2 Język angielski ­ grupa nr 1 Język angielski ­ grupa nr 1 Język angielski ­ grupa nr 2 Język angielski ­ grupa nr 2 Język angielski ­ grupa nr 1 Projekt „Administr@tor sieci –pewna praca, lepszy start! Program mobilnoś
ci ponadnarodowej” finansowany jest ze ś
rodków Unii Europejskiej w ramach Europejskiego Funduszu Społ
ecznego. PODZIAŁ NA GRUPY KURS JĘZYKA ANGIELSKIEGO GRUPA NR 1 1.
2.
3.
4.
5.
Michał Świerczyński Michał Szakalski Mariusz Niecikowski Bartosz Błażewicz Grzegorz Łuka GRUPA NR 2 1.
2.
3.
4.
5.
Piotr Piasecki Karol Wróblewicz Kacper Klein Jarosław Kruzel Piotr Ostrowski Projekt „Administr@tor sieci –pewna praca, lepszy start! Program mobilnoś
ci ponadnarodowej” finansowany jest ze ś
rodków Unii Europejskiej w ramach Europejskiego Funduszu Społ
ecznego.