2015_11_23_ info tabela baseny BIP

Transkrypt

2015_11_23_ info tabela baseny BIP
Data aktualizacji: 2015-11-23
Strona 1 z 3
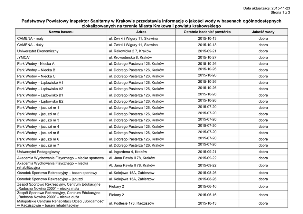
Państwowy Powiatowy Inspektor Sanitarny w Krakowie przedstawia informację o jakości wody w basenach ogólnodostępnych
zlokalizowanych na terenie Miasta Krakowa i powiatu krakowskiego
Nazwa basenu
Adres
Ostatnie badanie/ powtórka
Jakość wody
CAMENA - mały
ul. Żwirki i Wigury 11, Skawina
2015-10-13
dobra
CAMENA - duży
ul. Żwirki i Wigury 11, Skawina
2015-10-13
dobra
Uniwersytet Ekonomiczny
ul. Rakowicka 2 7, Kraków
2015-09-21
dobra
„YMCA”
ul. Krowoderska 8, Kraków
2015-10-27
dobra
Park Wodny - Niecka A
ul. Dobrego Pasterza 126, Kraków
dobra
Park Wodny – Niecka B
ul. Dobrego Pasterza 126, Kraków
2015-10-26
2015-10-26
Park Wodny – Niecka C
ul. Dobrego Pasterza 126, Kraków
2015-10-26
dobra
Park Wodny – Lądowisko A1
ul. Dobrego Pasterza 126, Kraków
2015-10-26
dobra
Park Wodny – Lądowisko A2
ul. Dobrego Pasterza 126, Kraków
2015-10-26
dobra
Park Wodny – Lądowisko B1
ul. Dobrego Pasterza 126, Kraków
2015-10-26
dobra
Park Wodny - Lądowisko B2
ul. Dobrego Pasterza 126, Kraków
2015-10-26
dobra
Park Wodny - jacuzzi nr 1
ul. Dobrego Pasterza 126, Kraków
2015-07-20
dobra
Park Wodny - jacuzzi nr 2
ul. Dobrego Pasterza 126, Kraków
2015-07-20
dobra
Park Wodny - jacuzzi nr 3
ul. Dobrego Pasterza 126, Kraków
2015-07-20
dobra
Park Wodny - jacuzzi nr 4
ul. Dobrego Pasterza 126, Kraków
2015-07-20
dobra
Park Wodny - jacuzzi nr 5
ul. Dobrego Pasterza 126, Kraków
2015-07-20
dobra
Park Wodny - jacuzzi nr 6
ul. Dobrego Pasterza 126, Kraków
2015-07-20
dobra
Park Wodny - jacuzzi nr 7
ul. Dobrego Pasterza 126, Kraków
2015-07-20
dobra
Uniwersytet Pedagogiczny
ul. Ingardena 4, Kraków
2015-09-21
dobra
Akademia Wychowania Fizycznego – niecka sportowa
Akademia Wychowania Fizycznego – niecka
rehabilitacyjna
Ośrodek Sportowo Rekreacyjny – basen sportowy
Al. Jana Pawła II 78, Kraków
2015-09-22
dobra
Al. Jana Pawła II 78, Kraków
2015-09-22
dobra
ul. Kolejowa 15A, Zabierzów
2015-08-26
dobra
Ośrodek Sportowo Rekreacyjny – jacuzzi
Zespół Sportowo Rekreacyjny, Centrum Edukacyjne
„Radosna Nowina 2000” – niecka mała
Zespół Sportowo Rekreacyjny, Centrum Edukacyjne
„Radosna Nowina 2000” – niecka duża
Małopolskie Centrum Rehabilitacji Dzieci „Solidarność”
w Radziszowie – basen rehabilitacyjny
ul. Kolejowa 15A, Zabierzów
2015-08-26
dobra
Piekary 2
2015-06-16
dobra
Piekary 2
2015-06-16
dobra
ul. Podlesie 173, Radziszów
2015-10-13
dobra
dobra
Data aktualizacji: 2015-11-23
Strona 2 z 3
Ostatnie badanie/ powtórka
Jakość wody
ul. Wielicka 265, Kraków
2015-09-28
dobra
al. J. Słowackiego 64, Kraków
2015-09-21
dobra
ul. Daszyńskiego 1, Krzeszowice
2015-04-22
dobra
Basen rehabilitacyjny VOTUM-REHAPLUS
ul. Golikówka 6, Kraków
2015-10-13
dobra
J&J Sport Center – mały
ul. Winnicka 40, Kraków
2015-10-26
dobra
J&J Sport Center – duży
ul. Winnicka 40, Kraków
2015-10-26
dobra
Basen Akademii Górnicze Hutniczej – rekreacyjny
ul. Buszka 4, Kraków
2015-08-11
dobra
Basen Akademii Górnicze Hutniczej – sportowy
ul. Buszka 4, Kraków
2015-08-11
dobra
Basen Akademii Górnicze Hutniczej – szkoleniowy
ul. Buszka 4, Kraków
2015-08-11
dobra
Basen ComArch – basen
ul. prof.M .Życzkowskiego 29 Kraków
2015-09-14
dobra
Basen ComArch - brodzik
ul. prof.M .Życzkowskiego 29 Kraków
2015-09-07
dobra
Basen ComArch - jacuzzi
ul. prof.M .Życzkowskiego 29 Kraków
2015-09-07
dobra
Centrum Rozwoju Com Com Zone – basen pływacki
Centrum Rozwoju Com Com Zone – basen
rekreacyjny
Centrum Rozwoju Com Com Zone – brodzik dziecięcy
ul. Kurczaba 29, Kraków
2015-09-07
dobra
ul. Kurczaba 29, Kraków
2015-09-07
dobra
ul. Kurczaba 29, Kraków
2015-09-07
dobra
Centrum Rozwoju Com Com Zone – basen
ul. Ptaszyckiego 6, Kraków
2015-09-21
dobra
PURE Health &Fitness w CH Bonarka - basen
ul. Puszkarska 7g, Kraków
2015-09-21
dobra
PURE Health &Fitness w CH Bonarka - jacuzzi
ul. Puszkarska 7g, Kraków
2015-09-21
dobra
Bronowianka Rekreacja
ul. Zarzecze 124, Kraków
2015-10-02
dobra
Fitness Lemon – basen
ul. Ludwinowska 11, Kraków
2015-07-21
dobra
Fitness Lemon – jacuzzi
ul. Ludwinowska 11, Kraków
2015-07-21
dobra
Salwator Tower
ul. Sołtysa Dytmara 3, Kraków
2015-10-14
dobra
Basen Platinium Fitness – basen
ul. Wadowicka 6, Kraków
2015-09-07
dobra
Platinium Fitness – jacuzzi
ul. Wadowicka 6, Kraków
2015-09-07
dobra
Centrum Medyczne UJASTEK – basen
ul. Ujastek 3, Kraków
2015-08-10
dobra
Best Western Premier Kraków Hotel – basen
ul. Opolska 14A, Kraków
2015-05-08
dobra
Hotel Sheraton – basen
ul. Powiśle 7, Kraków
2015-04-20
dobra
Hotel Novotel Kraków Centrum – basen
ul. T.Kościuszki 5, Kraków
2015-04-20
dobra
Nazwa basenu
Uniwersytecki Szpital Dziecięcy w Krakowie – basen
rehabilitacyjny
Basen Elite Art s.c.
w Domu Towarowym Herbewo
Basen rehabilitacyjny Ośrodka Rehabilitacji Narządu
Ruchu „Krzeszowice”
Adres
Data aktualizacji: 2015-11-23
Strona 3 z 3
Ostatnie badanie/ powtórka
Jakość wody
2015-04-20
dobra
2015-10-27
dobra
Hotel Copernicus – basen
ul. Nadwiślańska 6, Kraków
ul. Podgórska 34 (Galeria Kazimierz),
Kraków
ul. Kanonicza 16, Kraków
2015-04-20
dobra
Hotel City SM Business&SPA – basen
ul. Gajowa 16, Kraków
2015-04-21
dobra
Hotel City SM Business&SPA – jacuzzi
ul. Gajowa 16, Kraków
2015-04-21
dobra
Hotel Novotel Kraków City West
ul. Armii Krajowej 11, Kraków
2015-04-28
dobra
Hotel Orient – basen
ul. Sołtysowska 25, Kraków
2015-07-21
dobra
Hotel Orient – jacuzzi
ul. Sołtysowska 25, Kraków
2015-07-21
dobra
Hotel Galaxy – basen
ul. Gęsia 22a, Kraków
2015-04-28
dobra
Hotel Stary – basen
ul. Szczepańska 5, Kraków
2015-04-14
dobra
Hotel System – basen
al. 29 Listopada 189, Kraków
2015 -05-04
dobra
Hotel Sympozjum – basen
ul. Kobierzyńska 47, Kraków
2015-05-04
dobra
Hotel Daisy – basen
ul. Morelowa 26A, Kraków
2015-05-19
dobra
Basen sezonowy “Gubałówka”
ul. Spacerowa 1, Skawina
2015-08-25
dobra
Nazwa basenu
Qubus Hotel Kraków
Pure Jatomi Fitness – basen
Opracowała: Barbara Paluch
Adres
Data aktualizacji: 23.11.2015 r.
Państwowy Powiatowy
Inspektor Sanitarny w Krakowie
/+/
Adam Jędrzejczyk
Legenda:
zła – do uzdatnienia* - w próbach wody stwierdzono obecność gronkowców koagulazododatnich (chorobotwórczych) lub/i zanieczyszczenia mikrobiologiczne ( tj. bakterie
grupy coli, Escherichia coli) . Polecono bezzwłocznie podjąć działania mające na celu poprawę jakości wody.
** - badania wykonane w ramach kontroli wewnętrznej przez podmiot odpowiedzialny za prawidłową jakość wody w niecce basenowej.