Nowy Dokument programu Microsoft Word _2_

Transkrypt

Nowy Dokument programu Microsoft Word _2_
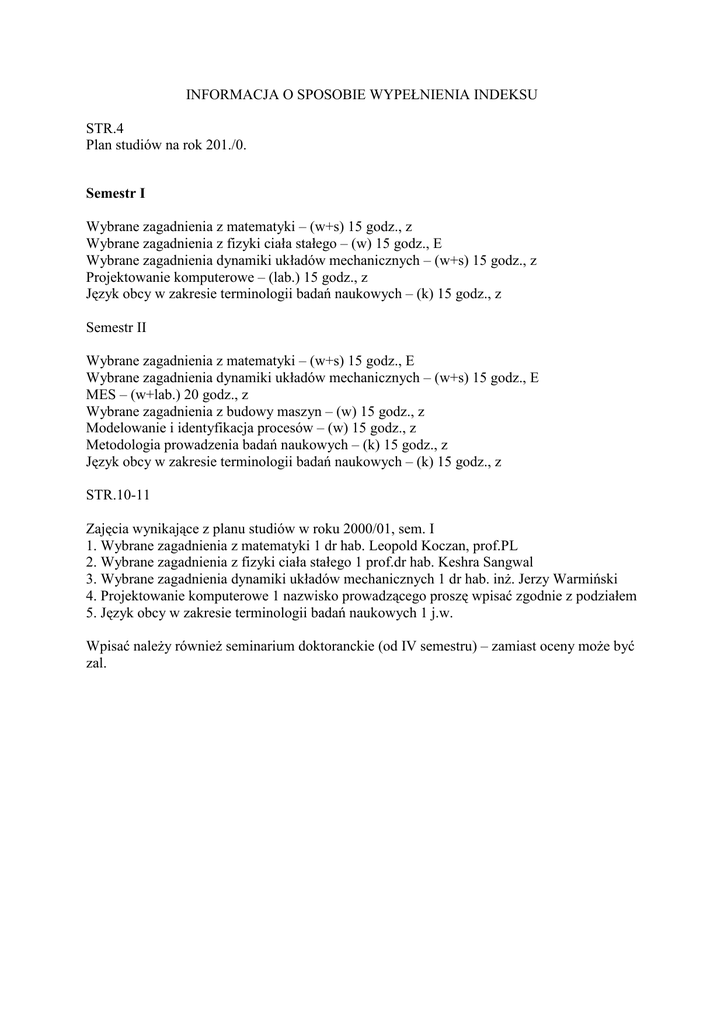
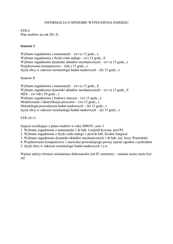
INFORMACJA O SPOSOBIE WYPEŁNIENIA INDEKSU
STR.4
Plan studiów na rok 201./0.
Semestr I
Wybrane zagadnienia z matematyki – (w+s) 15 godz., z
Wybrane zagadnienia z fizyki ciała stałego – (w) 15 godz., E
Wybrane zagadnienia dynamiki układów mechanicznych – (w+s) 15 godz., z
Projektowanie komputerowe – (lab.) 15 godz., z
Język obcy w zakresie terminologii badań naukowych – (k) 15 godz., z
Semestr II
Wybrane zagadnienia z matematyki – (w+s) 15 godz., E
Wybrane zagadnienia dynamiki układów mechanicznych – (w+s) 15 godz., E
MES – (w+lab.) 20 godz., z
Wybrane zagadnienia z budowy maszyn – (w) 15 godz., z
Modelowanie i identyfikacja procesów – (w) 15 godz., z
Metodologia prowadzenia badań naukowych – (k) 15 godz., z
Język obcy w zakresie terminologii badań naukowych – (k) 15 godz., z
STR.10-11
Zajęcia wynikające z planu studiów w roku 2000/01, sem. I
1. Wybrane zagadnienia z matematyki 1 dr hab. Leopold Koczan, prof.PL
2. Wybrane zagadnienia z fizyki ciała stałego 1 prof.dr hab. Keshra Sangwal
3. Wybrane zagadnienia dynamiki układów mechanicznych 1 dr hab. inż. Jerzy Warmiński
4. Projektowanie komputerowe 1 nazwisko prowadzącego proszę wpisać zgodnie z podziałem
5. Język obcy w zakresie terminologii badań naukowych 1 j.w.
Wpisać należy również seminarium doktoranckie (od IV semestru) – zamiast oceny może być
zal.