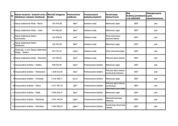
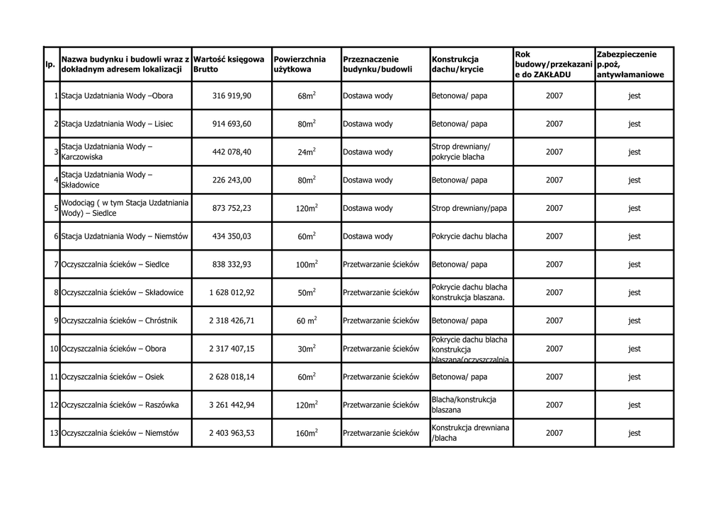
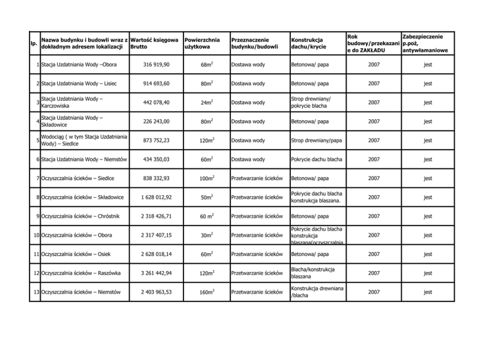
lp. Nazwa budynku i budowli wraz z dokładnym adresem lokalizacji

Transkrypt

lp. Nazwa budynku i budowli wraz z dokładnym adresem lokalizacji
lp.
Nazwa budynku i budowli wraz z Wartość księgowa
dokładnym adresem lokalizacji Brutto
Powierzchnia
użytkowa
Przeznaczenie
budynku/budowli
Konstrukcja
dachu/krycie
Rok
Zabezpieczenie
budowy/przekazani p.poż,
e do ZAKŁADU
antywłamaniowe
1 Stacja Uzdatniania Wody –Obora
316 919,90
68m2
Dostawa wody
Betonowa/ papa
2007
jest
2 Stacja Uzdatniania Wody – Lisiec
914 693,60
80m2
Dostawa wody
Betonowa/ papa
2007
jest
3
Stacja Uzdatniania Wody –
Karczowiska
442 078,40
24m2
Dostawa wody
Strop drewniany/
pokrycie blacha
2007
jest
4
Stacja Uzdatniania Wody –
Składowice
226 243,00
80m2
Dostawa wody
Betonowa/ papa
2007
jest
5
Wodociąg ( w tym Stacja Uzdatniania
Wody) – Siedlce
873 752,23
120m2
Dostawa wody
Strop drewniany/papa
2007
jest
6 Stacja Uzdatniania Wody – Niemstów
434 350,03
60m2
Dostawa wody
Pokrycie dachu blacha
2007
jest
7 Oczyszczalnia ścieków – Siedlce
838 332,93
100m2
Przetwarzanie ścieków
Betonowa/ papa
2007
jest
8 Oczyszczalnia ścieków – Składowice
1 628 012,92
50m2
Przetwarzanie ścieków
Pokrycie dachu blacha
konstrukcja blaszana.
2007
jest
9 Oczyszczalnia ścieków – Chróstnik
2 318 426,71
60 m2
Przetwarzanie ścieków
Betonowa/ papa
2007
jest
10 Oczyszczalnia ścieków – Obora
2 317 407,15
30m2
Przetwarzanie ścieków
Pokrycie dachu blacha
konstrukcja
blaszana(oczyszczalnia
2007
jest
11 Oczyszczalnia ścieków – Osiek
2 628 018,14
60m2
Przetwarzanie ścieków
Betonowa/ papa
2007
jest
12 Oczyszczalnia ścieków – Raszówka
3 261 442,94
120m2
Przetwarzanie ścieków
Blacha/konstrukcja
blaszana
2007
jest
13 Oczyszczalnia ścieków – Niemstów
2 403 963,53
160m2
Przetwarzanie ścieków
Konstrukcja drewniana
/blacha
2007
jest
14
Oczyszczalnia ścieków – Szklary
Górny
4 654 050,53
30m2
Przetwarzanie ścieków
Pokrycie dachu blacha
konstrukcja
blaszana(oczyszczalnia
2007
jest
15 Studnia głębinowa – Karczowiska
54 490,43
2007
jest
16 Hydrofor - Obora
111 636,92
2007
jest
17 Budynek wartowni - Chróstnik
434000,00
2012-09-28
jest
18m2
Pokrycie dachu blacha
konstrukcja blaszana