STAB 1 - Badanie stabilizatorów o działaniu ciągłym

Transkrypt

STAB 1 - Badanie stabilizatorów o działaniu ciągłym
ZESPÓŁ SZKÓŁ PONADGIMNAZJALNYCH
Nr 2 w Lubaniu
PRACOWNIA ELEKTRYCZNA
STAB1
Badanie stabilizatorów napięcia o działaniu ciągłym
CEL ĆWICZENIA:
Zapoznanie się z czterema róŜnymi stabilizatorami: z diodą zenera, w układzie wtórnikowym, ze
wzmacniaczem operacyjnym i monolitycznym, róŜniącymi się techniką wykonania i wynikającą stąd precyzją
działania, metodami pomiaru charakterystycznych parametrów stabilizatorów.
ZNAJOMOŚĆ ZAGADNIEŃ DO ĆWICZENIA OBEJMUJE:
•
•
•
•
Schemat ideowy i zasada działania stabilizatorów
Funkcje stabilizatorów w układach elektronicznych
Podstawowe pojęcia i parametry m.in: znamionowe napięcia i prądy wejściowe oraz wyjściowe,
współczynnik stabilizacji napięcia, rezystancja wyjściowa, sprawność energetyczna stabilizatora,
współczynnik tętnień.
Charakterystyki: wyjściowa i przejściowa
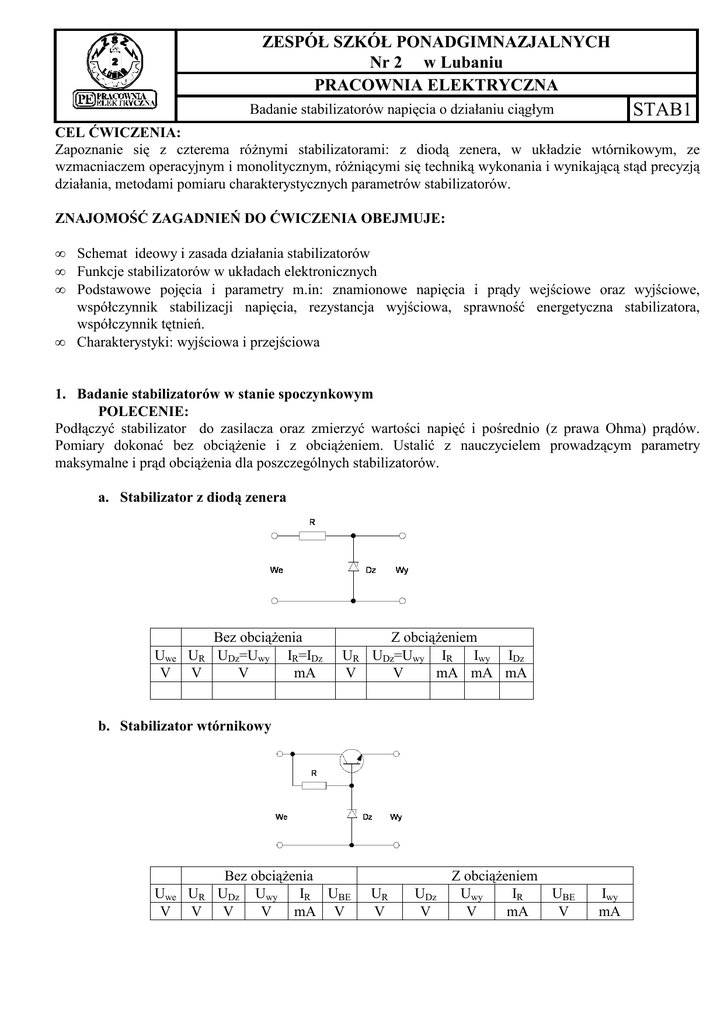
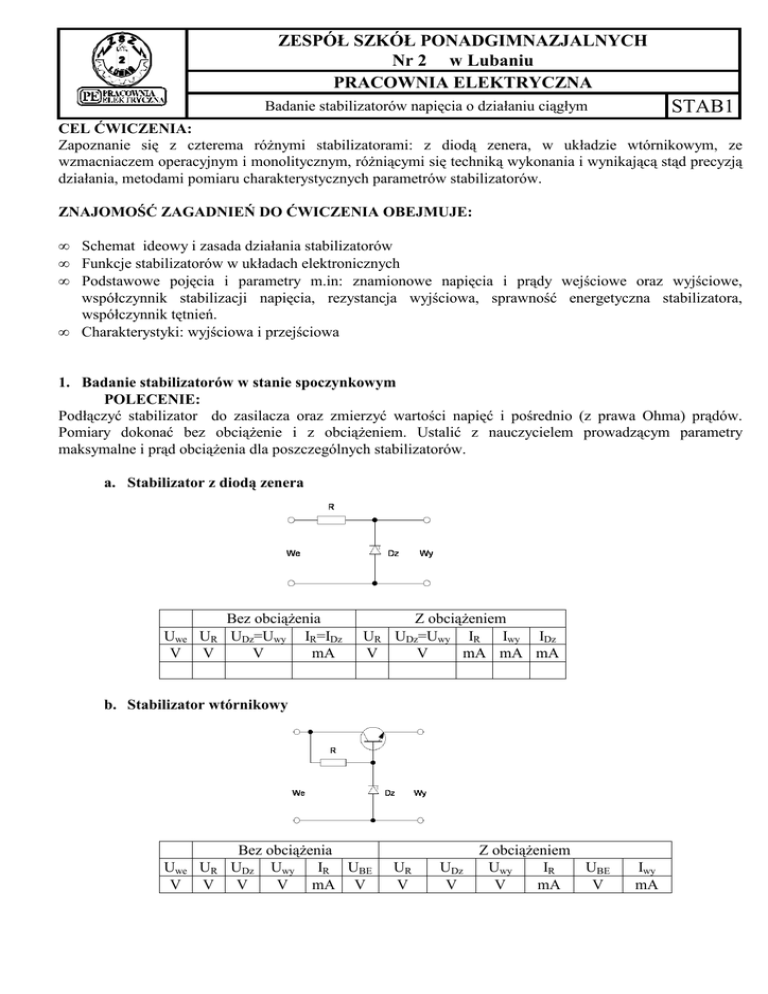
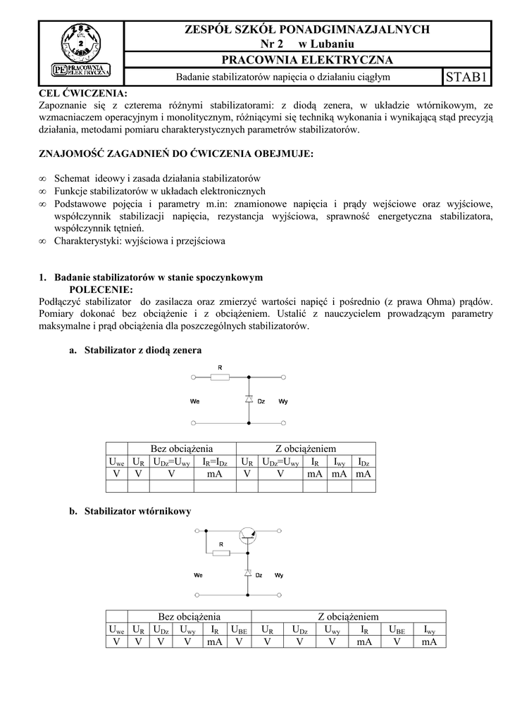
1. Badanie stabilizatorów w stanie spoczynkowym
POLECENIE:
Podłączyć stabilizator do zasilacza oraz zmierzyć wartości napięć i pośrednio (z prawa Ohma) prądów.
Pomiary dokonać bez obciąŜenie i z obciąŜeniem. Ustalić z nauczycielem prowadzącym parametry
maksymalne i prąd obciąŜenia dla poszczególnych stabilizatorów.
a. Stabilizator z diodą zenera
Bez obciąŜenia
Uwe UR UDz=Uwy IR=IDz
V V
V
mA
Z obciąŜeniem
UR UDz=Uwy IR Iwy IDz
V
V
mA mA mA
b. Stabilizator wtórnikowy
Bez obciąŜenia
Uwe UR UDz Uwy
IR UBE
V V V
V
mA V
UR
V
UDz
V
Z obciąŜeniem
Uwy
IR
UBE
V
mA
V
Iwy
mA
c. Stabilizator ze wzmacniaczem operacyjnym
Uwe
V
Bez obciąŜenia
UR IR UDz= U+ U- UB UBE Uwy
V mA
V
V V V
V
UR
V
IR
mA
Z obciąŜeniem
UDz= U+
UUB
V
V
V
UBE
V
Uwy
V
Iwy
d. Stabilizator monolityczny serii 78XX
Uwe
V
Bez obciąŜenia
Uwy
V
Z obciąŜeniem
Uwy
Iwy
V
mA
2. Wyznaczanie charakterystyki wyjściowej stabilizatora
POLECENIE:
Włączyć stabilizatory do układu pomiarowego przedstawionego poniŜej. Zmieniając wartość prądu
obciąŜenia mierzyć wartość napięcia na wyjściu. Wyniki umieścić w tabeli. Na podstawie danych
wykreślić charakterystykę stabilizatorów.
Iwe
przy Uwe = ...
mA
Iwy
mA
Uwy
V
3. Wyznaczanie charakterystyki przejściowej
POLECENIE:
Włączyć stabilizatory do układu pomiarowego z p. 2. Zmieniając wartość napięcia wejściowego mierzyć
wartość napięcia na wyjściu przy stałym prądzie obciąŜenia. Wyniki umieścić w tabeli. Na podstawie
danych wykreślić charakterystykę stabilizatorów.
Uwe
V
Iwe
Uwy
przy Iwy=.....
mA
V
4. Obliczenie parametrów stabilizatorów
POLECENIE:
Na podstawie danych uzyskanych z punktów 2 i 3 obliczyć dla kaŜdego stabilizatora
∆Uwy
przy I wy = const
∆Uwe
∆Uwy
• Rezystancja wyjściowa
Rwy =
przy U we = const
∆Iwy
Pwe
• Sprawność energetyczna dla średnich wartości prądu η =
Pwy
5. Pomiar napięcia i współczynnika tętnień
POLECENIE:
Zmontować układ przedstawiony poniŜej. Ustawić za pomocą oscyloskopu napięcie wejściowe tętnień na
wartość 1Vpp. Przy zadanym obciąŜeniu stabilizatora zmierzyć oscyloskopem międzyszczytowe napięcie
tętnień i obliczyć współczynnik tętnień dla kaŜdego stabilizatora.
•
Współczynnik stabilizacji napięcia
Współczynnik tętnień kt =
Uwet
Vpp
SU =
U wyt
U wet
Uwyt
Vpp
kt
-
Pytania kontrolne:
1. Co to jest stabilizator?
2. Na podstawie schematu ideowego opisz działanie stabilizatora : z diodą zenera, w układzie wtórnikowym
i ze wzmacniaczem operacyjnym .
3. Narysuj charakterystyki wyjściową i przejściową stabilizatora napięcia idealnego i rzeczywistego
4. Opisz parametry stabilizatora: znamionowe napięcia i prądu wejściowe oraz wyjściowe, współczynnik
stabilizacji napięcia, rezystancja wyjściowa, sprawność energetyczna stabilizatora, współczynnik tętnień.
5. Jak wyznaczyć przedstawione powyŜej parametry i charakterystyki stabilizatorów ?