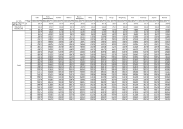
Cennik usług importowych z poza krajów UE

Transkrypt

Cennik usług importowych z poza krajów UE
USA
VAT 23%
Waga
Koperta Papierowa
Ltr
UPS do 0,5 kg
Dokumenty w
foliopaku UPS
Paczki
Afryka
Południowa RPA
Australia
Białoruś
BosniaHercegowina
Chiny
Filipiny
Gruzja
Hong Kong
Indie
Indonezja
Japonia
Kanada
CENA BRUTTO CENA BRUTTO CENA BRUTTO CENA BRUTTO CENA BRUTTO CENA BRUTTO CENA BRUTTO CENA BRUTTO CENA BRUTTO CENA BRUTTO CENA BRUTTO CENA BRUTTO CENA BRUTTO
293,78
392,74
357,15
291,05
291,05
357,15
357,15
330,73
357,15
357,15
357,15
357,15
293,78
1
432,80
551,41
506,62
432,76
432,76
506,62
506,62
476,15
506,62
506,62
506,62
506,62
432,80
2,5
1
2
3
4
5
6
7
8
9
10
11
12
13
14
15
16
17
18
19
20
21
22
23
24
25
26
27
28
29
30
31
32
33
34
35
40
45
50
55
60
65
70
641,38
523,96
672,71
809,69
938,95
1067,15
1137,73
1208,18
1293,16
1376,61
1461,17
1502,89
1544,62
1585,53
1627,30
1668,98
1721,19
1782,39
1824,33
1875,98
1924,74
1955,85
1996,21
2036,49
2076,85
2117,17
2157,53
2197,89
2238,16
2279,50
2319,86
2360,18
2400,50
2440,86
2481,18
2521,58
2698,62
2875,71
3052,79
3229,88
3406,96
3584,04
3761,09
874,85
649,18
853,63
1051,81
1242,10
1432,31
1549,35
1666,25
1784,27
1903,26
2023,32
2102,63
2181,95
2261,39
2340,66
2420,02
2499,34
2579,72
2658,99
2738,39
2817,75
2946,97
3011,37
3074,78
3139,14
3203,54
3267,94
3331,31
3395,71
3460,06
3523,40
3587,79
3652,24
3716,63
3780,05
3844,41
4170,53
4495,50
4821,54
5147,67
5462,50
5777,29
6093,18
798,65
617,60
801,80
985,83
1152,64
1324,49
1441,39
1558,42
1675,37
1792,41
1910,38
1981,55
2051,75
2122,96
2194,18
2265,40
2336,61
2407,75
2479,01
2550,18
2621,40
2752,45
2816,13
2866,16
2916,37
2967,43
3023,64
3080,88
3137,09
3194,29
3250,55
3307,83
3364,00
3421,24
3477,45
3534,69
3829,11
4122,46
4416,79
4711,24
5005,58
5299,91
5594,36
641,34
511,82
654,34
788,84
917,77
1047,93
1134,28
1196,97
1278,16
1349,89
1425,20
1466,92
1508,65
1550,33
1617,92
1668,26
1719,40
1777,62
1822,67
1874,24
1924,23
1924,87
1967,74
2010,70
2052,60
2094,49
2136,43
2179,35
2219,20
2259,05
2298,94
2333,67
2368,45
2403,14
2436,90
2471,72
2650,59
2829,42
3002,16
3175,92
3352,75
3525,53
3699,33
641,34
511,82
654,34
788,84
917,77
1047,93
1134,28
1196,97
1278,16
1349,89
1425,20
1466,92
1508,65
1550,33
1617,92
1668,26
1719,40
1777,62
1822,67
1874,24
1924,23
1924,87
1967,74
2010,70
2052,60
2094,49
2136,43
2179,35
2219,20
2259,05
2298,94
2333,67
2368,45
2403,14
2436,90
2471,72
2650,59
2829,42
3002,16
3175,92
3352,75
3525,53
3699,33
798,65
617,60
801,80
985,83
1152,64
1324,49
1441,39
1558,42
1675,37
1792,41
1910,38
1981,55
2051,75
2122,96
2194,18
2265,40
2336,61
2407,75
2479,01
2550,18
2621,40
2752,45
2816,13
2866,16
2916,37
2967,43
3023,64
3080,88
3137,09
3194,29
3250,55
3307,83
3364,00
3421,24
3477,45
3534,69
3829,11
4122,46
4416,79
4711,24
5005,58
5299,91
5594,36
798,65
617,60
801,80
985,83
1152,64
1324,49
1441,39
1558,42
1675,37
1792,41
1910,38
1981,55
2051,75
2122,96
2194,18
2265,40
2336,61
2407,75
2479,01
2550,18
2621,40
2752,45
2816,13
2866,16
2916,37
2967,43
3023,64
3080,88
3137,09
3194,29
3250,55
3307,83
3364,00
3421,24
3477,45
3534,69
3829,11
4122,46
4416,79
4711,24
5005,58
5299,91
5594,36
716,22
581,03
750,96
894,24
1048,87
1203,49
1305,18
1406,91
1508,65
1610,34
1712,07
1774,12
1836,13
1898,19
1960,24
2022,30
2084,31
2146,36
2208,41
2270,47
2332,52
2449,09
2506,41
2551,42
2596,38
2641,34
2686,26
2733,32
2780,37
2827,38
2874,39
2921,40
2968,41
3015,41
3062,47
3109,43
3352,75
3592,95
3833,16
4073,40
4313,52
4553,81
4794,01
798,65
617,60
801,80
985,83
1152,64
1324,49
1441,39
1558,42
1675,37
1792,41
1910,38
1981,55
2051,75
2122,96
2194,18
2265,40
2336,61
2407,75
2479,01
2550,18
2621,40
2752,45
2816,13
2866,16
2916,37
2967,43
3023,64
3080,88
3137,09
3194,29
3250,55
3307,83
3364,00
3421,24
3477,45
3534,69
3829,11
4122,46
4416,79
4711,24
5005,58
5299,91
5594,36
798,65
617,60
801,80
985,83
1152,64
1324,49
1441,39
1558,42
1675,37
1792,41
1910,38
1981,55
2051,75
2122,96
2194,18
2265,40
2336,61
2407,75
2479,01
2550,18
2621,40
2752,45
2816,13
2866,16
2916,37
2967,43
3023,64
3080,88
3137,09
3194,29
3250,55
3307,83
3364,00
3421,24
3477,45
3534,69
3829,11
4122,46
4416,79
4711,24
5005,58
5299,91
5594,36
798,65
617,60
801,80
985,83
1152,64
1324,49
1441,39
1558,42
1675,37
1792,41
1910,38
1981,55
2051,75
2122,96
2194,18
2265,40
2336,61
2407,75
2479,01
2550,18
2621,40
2752,45
2816,13
2866,16
2916,37
2967,43
3023,64
3080,88
3137,09
3194,29
3250,55
3307,83
3364,00
3421,24
3477,45
3534,69
3829,11
4122,46
4416,79
4711,24
5005,58
5299,91
5594,36
798,65
617,60
801,80
985,83
1152,64
1324,49
1441,39
1558,42
1675,37
1792,41
1910,38
1981,55
2051,75
2122,96
2194,18
2265,40
2336,61
2407,75
2479,01
2550,18
2621,40
2752,45
2816,13
2866,16
2916,37
2967,43
3023,64
3080,88
3137,09
3194,29
3250,55
3307,83
3364,00
3421,24
3477,45
3534,69
3829,11
4122,46
4416,79
4711,24
5005,58
5299,91
5594,36
641,38
523,96
672,71
809,69
938,95
1067,15
1137,73
1208,18
1293,16
1376,61
1461,17
1502,89
1544,62
1585,53
1627,30
1668,98
1721,19
1782,39
1824,33
1875,98
1924,74
1955,85
1996,21
2036,49
2076,85
2117,17
2157,53
2197,89
2238,16
2279,50
2319,86
2360,18
2400,50
2440,86
2481,18
2521,58
2698,62
2875,71
3052,79
3229,88
3406,96
3584,04
3761,09
Korea
Kostaryka
Meksyk
Mołdawia
Norwegia
Nowa Zelandia
Singapur
Tajlandia
Tajwan
Turcja
Ukraina
Wietnam
Południowa
CENA BRUTTO CENA BRUTTO CENA BRUTTO CENA BRUTTO CENA BRUTTO CENA BRUTTO CENA BRUTTO CENA BRUTTO CENA BRUTTO CENA BRUTTO CENA BRUTTO CENA BRUTTO CENA BRUTTO
Kazachstan
VAT 23%
Waga
Koperta Papierowa
Ltr
UPS do 0,5 kg
Dokumenty w
1
foliopaku UPS
2,5
1
2
3
4
5
6
7
8
9
10
11
12
13
14
15
16
17
18
19
20
21
Paczki
22
23
24
25
26
27
28
29
30
31
32
33
34
35
40
45
50
55
60
65
70
330,73
357,15
392,74
293,78
291,05
291,05
357,15
357,15
357,15
357,15
293,82
291,05
392,74
476,15
716,22
581,03
750,96
894,24
1048,87
1203,49
1305,18
1406,91
1508,65
1610,34
1712,07
1774,12
1836,13
1898,19
1960,24
2022,30
2084,31
2146,36
2208,41
2270,47
2332,52
2449,09
2506,41
2551,42
2596,38
2641,34
2686,26
2733,32
2780,37
2827,38
2874,39
2921,40
2968,41
3015,41
3062,47
3109,43
3352,75
3592,95
3833,16
4073,40
4313,52
4553,81
4794,01
506,62
798,65
617,60
801,80
985,83
1152,64
1324,49
1441,39
1558,42
1675,37
1792,41
1910,38
1981,55
2051,75
2122,96
2194,18
2265,40
2336,61
2407,75
2479,01
2550,18
2621,40
2752,45
2816,13
2866,16
2916,37
2967,43
3023,64
3080,88
3137,09
3194,29
3250,55
3307,83
3364,00
3421,24
3477,45
3534,69
3829,11
4122,46
4416,79
4711,24
5005,58
5299,91
5594,36
551,41
874,85
649,18
853,63
1051,81
1242,10
1432,31
1549,35
1666,25
1784,27
1903,26
2023,32
2102,63
2181,95
2261,39
2340,66
2420,02
2499,34
2579,72
2658,99
2738,39
2817,75
2946,97
3011,37
3074,78
3139,14
3203,54
3267,94
3331,31
3395,71
3460,06
3523,40
3587,79
3652,24
3716,63
3780,05
3844,41
4170,53
4495,50
4821,54
5147,67
5462,50
5777,29
6093,18
432,80
641,38
523,96
672,71
809,69
938,95
1067,15
1137,73
1208,18
1293,16
1376,61
1461,17
1502,89
1544,62
1585,53
1627,30
1668,98
1721,19
1782,39
1824,33
1875,98
1924,74
1955,85
1996,21
2036,49
2076,85
2117,17
2157,53
2197,89
2238,16
2279,50
2319,86
2360,18
2400,50
2440,86
2481,18
2521,58
2698,62
2875,71
3052,79
3229,88
3406,96
3584,04
3761,09
432,76
641,34
511,82
654,34
788,84
917,77
1047,93
1134,28
1196,97
1278,16
1349,89
1425,20
1466,92
1508,65
1550,33
1617,92
1668,26
1719,40
1777,62
1822,67
1874,24
1924,23
1924,87
1967,74
2010,70
2052,60
2094,49
2136,43
2179,35
2219,20
2259,05
2298,94
2333,67
2368,45
2403,14
2436,90
2471,72
2650,59
2829,42
3002,16
3175,92
3352,75
3525,53
3699,33
432,76
641,34
511,82
654,34
788,84
917,77
1047,93
1134,28
1196,97
1278,16
1349,89
1425,20
1466,92
1508,65
1550,33
1617,92
1668,26
1719,40
1777,62
1822,67
1874,24
1924,23
1924,87
1967,74
2010,70
2052,60
2094,49
2136,43
2179,35
2219,20
2259,05
2298,94
2333,67
2368,45
2403,14
2436,90
2471,72
2650,59
2829,42
3002,16
3175,92
3352,75
3525,53
3699,33
506,62
798,65
617,60
801,80
985,83
1152,64
1324,49
1441,39
1558,42
1675,37
1792,41
1910,38
1981,55
2051,75
2122,96
2194,18
2265,40
2336,61
2407,75
2479,01
2550,18
2621,40
2752,45
2816,13
2866,16
2916,37
2967,43
3023,64
3080,88
3137,09
3194,29
3250,55
3307,83
3364,00
3421,24
3477,45
3534,69
3829,11
4122,46
4416,79
4711,24
5005,58
5299,91
5594,36
506,62
798,65
617,60
801,80
985,83
1152,64
1324,49
1441,39
1558,42
1675,37
1792,41
1910,38
1981,55
2051,75
2122,96
2194,18
2265,40
2336,61
2407,75
2479,01
2550,18
2621,40
2752,45
2816,13
2866,16
2916,37
2967,43
3023,64
3080,88
3137,09
3194,29
3250,55
3307,83
3364,00
3421,24
3477,45
3534,69
3829,11
4122,46
4416,79
4711,24
5005,58
5299,91
5594,36
506,62
798,65
617,60
801,80
985,83
1152,64
1324,49
1441,39
1558,42
1675,37
1792,41
1910,38
1981,55
2051,75
2122,96
2194,18
2265,40
2336,61
2407,75
2479,01
2550,18
2621,40
2752,45
2816,13
2866,16
2916,37
2967,43
3023,64
3080,88
3137,09
3194,29
3250,55
3307,83
3364,00
3421,24
3477,45
3534,69
3829,11
4122,46
4416,79
4711,24
5005,58
5299,91
5594,36
506,62
798,65
617,60
801,80
985,83
1152,64
1324,49
1441,39
1558,42
1675,37
1792,41
1910,38
1981,55
2051,75
2122,96
2194,18
2265,40
2336,61
2407,75
2479,01
2550,18
2621,40
2752,45
2816,13
2866,16
2916,37
2967,43
3023,64
3080,88
3137,09
3194,29
3250,55
3307,83
3364,00
3421,24
3477,45
3534,69
3829,11
4122,46
4416,79
4711,24
5005,58
5299,91
5594,36
432,84
641,42
524,01
672,75
809,73
938,99
1067,19
1137,77
1208,22
1293,20
1376,65
1461,21
1502,93
1544,66
1586,38
1628,15
1669,83
1723,49
1786,65
1825,78
1880,07
1926,36
1955,89
1996,25
2036,53
2076,89
2117,21
2157,57
2197,93
2238,21
2279,55
2319,91
2360,23
2400,54
2440,90
2481,22
2521,63
2698,67
2875,75
3052,83
3229,92
3407,00
3584,17
3768,37
432,76
641,34
511,82
654,34
788,84
917,77
1047,93
1134,28
1196,97
1278,16
1349,89
1425,20
1466,92
1508,65
1550,33
1617,92
1668,26
1719,40
1777,62
1822,67
1874,24
1924,23
1924,87
1967,74
2010,70
2052,60
2094,49
2136,43
2179,35
2219,20
2259,05
2298,94
2333,67
2368,45
2403,14
2436,90
2471,72
2650,59
2829,42
3002,16
3175,92
3352,75
3525,53
3699,33
551,41
874,85
649,18
853,63
1051,81
1242,10
1432,31
1549,35
1666,25
1784,27
1903,26
2023,32
2102,63
2181,95
2261,39
2340,66
2420,02
2499,34
2579,72
2658,99
2738,39
2817,75
2946,97
3011,37
3074,78
3139,14
3203,54
3267,94
3331,31
3395,71
3460,06
3523,40
3587,79
3652,24
3716,63
3780,05
3844,41
4170,53
4495,50
4821,54
5147,67
5462,50
5777,29
6093,18