Instrukcja montażu Wieszak na medale 56 cm

Transkrypt

Instrukcja montażu Wieszak na medale 56 cm
Instrukcja montażu
Wieszak na medale 56 cm
Wieszak na medale służy do wieszania medali ze wstążką.
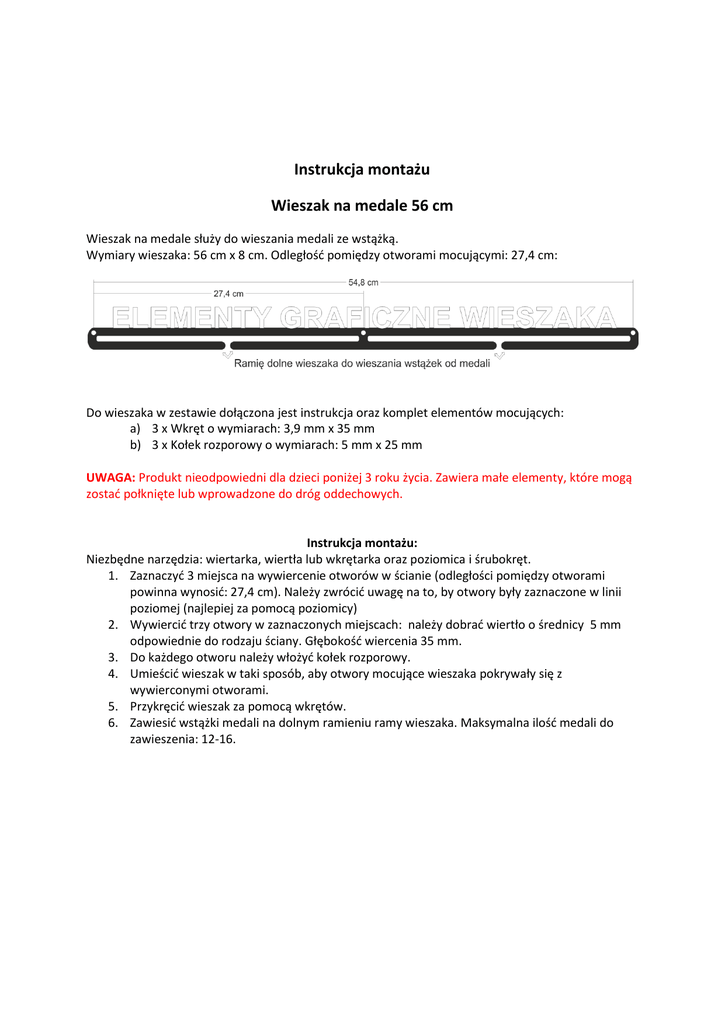
Wymiary wieszaka: 56 cm x 8 cm. Odległość pomiędzy otworami mocującymi: 27,4 cm:
Do wieszaka w zestawie dołączona jest instrukcja oraz komplet elementów mocujących:
a) 3 x Wkręt o wymiarach: 3,9 mm x 35 mm
b) 3 x Kołek rozporowy o wymiarach: 5 mm x 25 mm
UWAGA: Produkt nieodpowiedni dla dzieci poniżej 3 roku życia. Zawiera małe elementy, które mogą
zostać połknięte lub wprowadzone do dróg oddechowych.
Instrukcja montażu:
Niezbędne narzędzia: wiertarka, wiertła lub wkrętarka oraz poziomica i śrubokręt.
1. Zaznaczyć 3 miejsca na wywiercenie otworów w ścianie (odległości pomiędzy otworami
powinna wynosić: 27,4 cm). Należy zwrócić uwagę na to, by otwory były zaznaczone w linii
poziomej (najlepiej za pomocą poziomicy)
2. Wywiercić trzy otwory w zaznaczonych miejscach: należy dobrać wiertło o średnicy 5 mm
odpowiednie do rodzaju ściany. Głębokość wiercenia 35 mm.
3. Do każdego otworu należy włożyć kołek rozporowy.
4. Umieścić wieszak w taki sposób, aby otwory mocujące wieszaka pokrywały się z
wywierconymi otworami.
5. Przykręcić wieszak za pomocą wkrętów.
6. Zawiesić wstążki medali na dolnym ramieniu ramy wieszaka. Maksymalna ilość medali do
zawieszenia: 12-16.