Przedziały ufności

Transkrypt

Przedziały ufności
Przedziały ufności
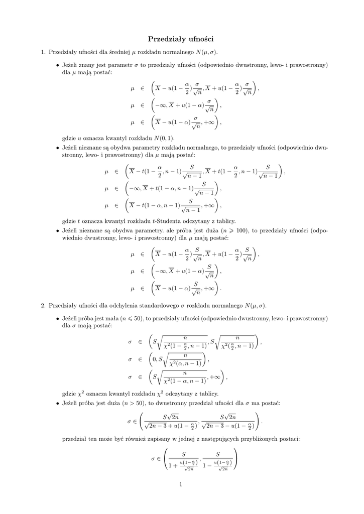
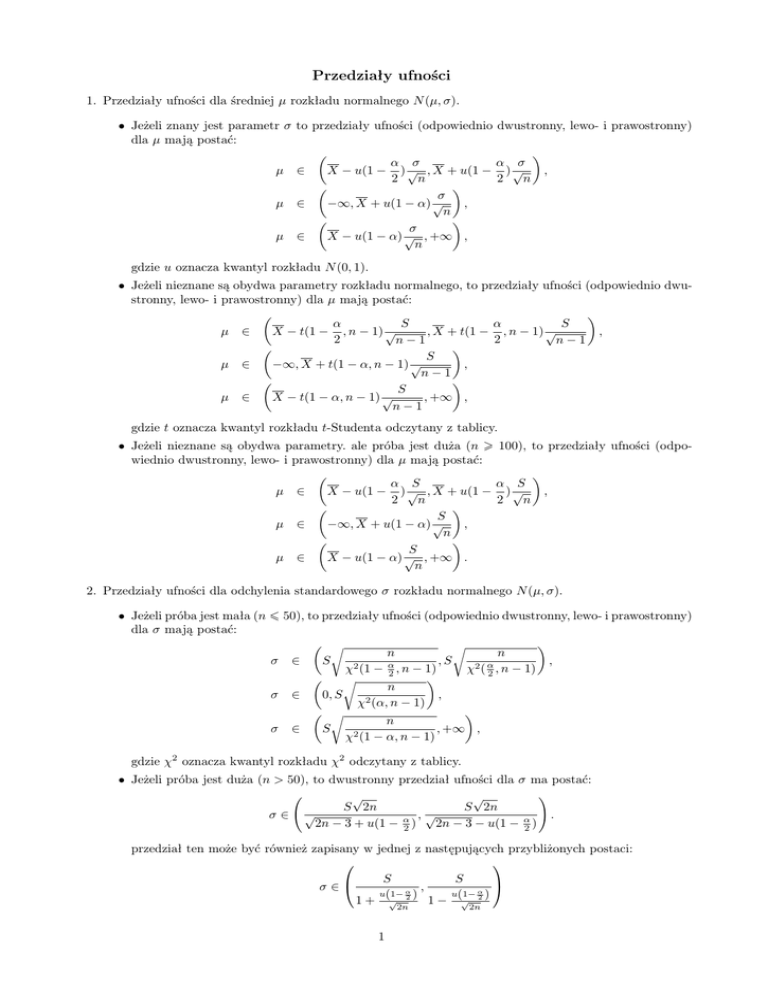
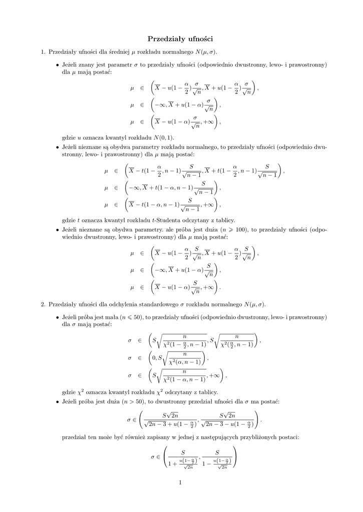
1. Przedziały ufności dla średniej µ rozkładu normalnego N (µ, σ).
• Jeżeli znany jest parametr σ to przedziały ufności (odpowiednio dwustronny, lewo- i prawostronny)
dla µ mają postać:
α σ
α σ
µ ∈
X − u(1 − ) √ , X + u(1 − ) √
,
2
2
n
n
σ
µ ∈
−∞, X + u(1 − α) √
,
n
σ
µ ∈
X − u(1 − α) √ , +∞ ,
n
gdzie u oznacza kwantyl rozkładu N (0, 1).
• Jeżeli nieznane są obydwa parametry rozkładu normalnego, to przedziały ufności (odpowiednio dwustronny, lewo- i prawostronny) dla µ mają postać:
α
S
α
S
, X + t(1 − , n − 1) √
X − t(1 − , n − 1) √
,
µ ∈
2
2
n−1
n−1
S
,
µ ∈
−∞, X + t(1 − α, n − 1) √
n−1
S
µ ∈
, +∞ ,
X − t(1 − α, n − 1) √
n−1
gdzie t oznacza kwantyl rozkładu t-Studenta odczytany z tablicy.
• Jeżeli nieznane są obydwa parametry. ale próba jest duża (n ­ 100), to przedziały ufności (odpowiednio dwustronny, lewo- i prawostronny) dla µ mają postać:
α S
α S
µ ∈
X − u(1 − ) √ , X + u(1 − ) √
,
2
2
n
n
S
µ ∈
−∞, X + u(1 − α) √
,
n
S
X − u(1 − α) √ , +∞ .
µ ∈
n
2. Przedziały ufności dla odchylenia standardowego σ rozkładu normalnego N (µ, σ).
• Jeżeli próba jest mała (n ¬ 50), to przedziały ufności (odpowiednio dwustronny, lewo- i prawostronny)
dla σ mają postać:
r
r
n
n
σ ∈
S
,
S
,
χ2 (1 − α2 , n − 1)
χ2 ( α2 , n − 1)
r
n
,
σ ∈
0, S
χ2 (α, n − 1)
r
n
σ ∈
S
, +∞ ,
χ2 (1 − α, n − 1)
gdzie χ2 oznacza kwantyl rozkładu χ2 odczytany z tablicy.
• Jeżeli próba jest duża (n > 50), to dwustronny przedział ufności dla σ ma postać:
!
√
√
S 2n
S 2n
σ∈ √
,√
.
2n − 3 + u(1 − α2 )
2n − 3 − u(1 − α2 )
przedział ten może być również zapisany w jednej z następujących przybliżonych postaci:


S
S

σ∈
,
u(1− α )
u(1− α )
1 + √2n2 1 − √2n2
1
lub
σ∈
α S
α S
√ ,S + u 1 −
√
S−u 1−
2
2
2n
2n
3. Przedział ufności dla wskaźnika struktury.
Przedział ufności dla wskaźnika struktury (frakcji elementów wyróżnionych) p w przypadku dużych prób
(n ­ 100) ma postać:
!
r
r
m
m
m
m
m
α
α
n (1 − n ) m
n (1 − n )
p∈
− u(1 − )
,
+ u(1 − )
,
n
2
n
n
2
n
gdzie m oznacza liczbę elementów wyróżnionych w próbie, oznaczając przez p0 = m
n wskaźnik struktury
wyliczony z próby, wzór powyższy zapiszemy w prostszej postaci:
!
r
r
p0 (1 − p0 )
α
p0 (1 − p0 )
α
,
, p0 + u(1 − )
p ∈ p0 − u(1 − )
2
n
2
n
4. Przedział ufności dla średniej w rozkładzie dowolnym.
Jeżeli λ jest parametrem pełniącym rolę wartości oczekiwanej w dowolnym rozkładzie (np. rozkładzie
wykładniczym lub Poissona), natomiast próba jest duża (n ­ 100), to obustronny przedział ufności dla λ
ma postać:
α S
α S
λ ∈
X − u(1 − ) √ , X + u(1 − ) √
,
2
2
n
n
S
λ ∈
−∞, X + u(1 − α) √
,
n
S
X − u(1 − α) √ , +∞ .
λ ∈
n
2