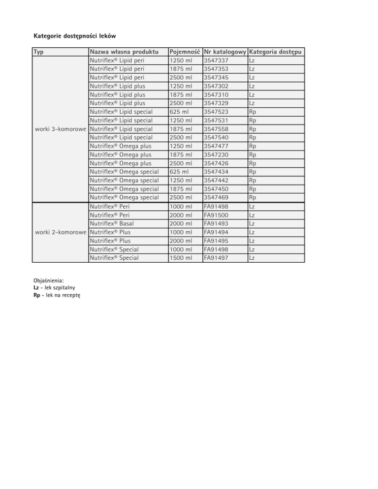
Kategorie dostępności leków

Transkrypt

Kategorie dostępności leków
Kategorie dostępności leków
Typ
Nazwa własna produktu
Nutriflex® Lipid peri
Nutriflex® Lipid peri
Nutriflex® Lipid peri
Nutriflex® Lipid plus
Nutriflex® Lipid plus
Nutriflex® Lipid plus
Nutriflex® Lipid special
Nutriflex® Lipid special
worki 3-komorowe Nutriflex® Lipid special
Nutriflex® Lipid special
Nutriflex® Omega plus
Nutriflex® Omega plus
Nutriflex® Omega plus
Nutriflex® Omega special
Nutriflex® Omega special
Nutriflex® Omega special
Nutriflex® Omega special
Nutriflex® Peri
Nutriflex® Peri
Nutriflex® Basal
worki 2-komorowe Nutriflex® Plus
Nutriflex® Plus
Nutriflex® Special
Nutriflex® Special
Objaśnienia:
Lz - lek szpitalny
Rp - lek na receptę
Pojemność
1250 ml
1875 ml
2500 ml
1250 ml
1875 ml
2500 ml
625 ml
1250 ml
1875 ml
2500 ml
1250 ml
1875 ml
2500 ml
625 ml
1250 ml
1875 ml
2500 ml
1000 ml
2000 ml
2000 ml
1000 ml
2000 ml
1000 ml
1500 ml
Nr katalogowy
3547337
3547353
3547345
3547302
3547310
3547329
3547523
3547531
3547558
3547540
3547477
3547230
3547426
3547434
3547442
3547450
3547469
FA91498
FA91500
FA91493
FA91494
FA91495
FA91498
FA91497
Kategoria dostępu
Lz
Lz
Lz
Lz
Lz
Lz
Rp
Rp
Rp
Rp
Rp
Rp
Rp
Rp
Rp
Rp
Rp
Lz
Lz
Lz
Lz
Lz
Lz
Lz