Software - programy i Hardware - sprzęt - BEZ

Transkrypt

Software - programy i Hardware - sprzęt - BEZ
Software - programy i Hardware - sprzęt
Pobrane z www.Bez-Nauki.pl
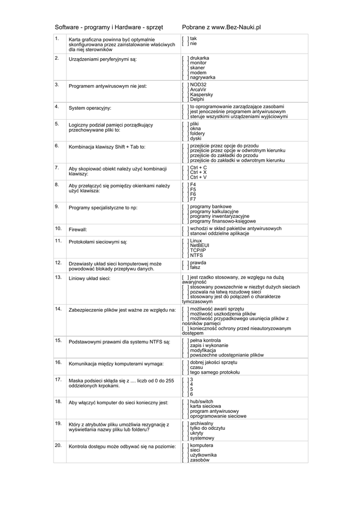
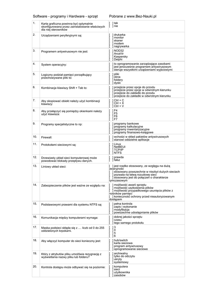
1.
Karta graficzna powinna być optymalnie
skonfigurowana przez zainstalowanie właściwych
dla niej sterowników
[ ] tak
[ ] nie
2.
Urządzeniami peryferyjnymi są:
3.
Programem antywirusowym nie jest:
4.
System operacyjny:
5.
Logiczny podział pamięci porządkujący
przechowywane pliki to:
6.
Kombinacja klawiszy Shift + Tab to:
7.
Aby skopiować obiekt należy użyć kombinacji
klawiszy:
8.
Aby przełączyć się pomiędzy okienkami należy
użyć klawisza:
9.
Programy specjalistyczne to np:
10.
Firewall:
11.
Protokołami sieciowymi są:
12.
Drzewiasty układ sieci komputerowej może
powodować blokady przepływu danych.
[
[
[
[
[
[
[
[
[
[
[
[
[
[
[
[
[
[
[
[
[
[
[
[
[
[
[
[
[
[
[
[
[
[
[
[
[
[
[
13.
Liniowy układ sieci:
14.
Zabezpieczenie plików jest ważne ze względu na:
15.
Podstawowymi prawami dla systemu NTFS są:
16.
Komunikacja między komputerami wymaga:
17.
Maska podsieci skłąda się z .... liczb od 0 do 255
oddzielonych krpokami.
18.
Aby włączyć komputer do sieci konieczny jest:
19.
Który z atrybutów pliku umożliwia rezygnację z
wyświetlania nazwy pliku lub folderu?
20.
Kontrola dostępu może odbywać się na poziomie:
] drukarka
] monitor
] skaner
] modem
] nagrywarka
] NOD32
] ArcaVir
] Kaspersky
] Delphi
] to oprogramowanie zarządzające zasobami
] jest jenocześnie programem antywirusowym
] steruje wszystkimi urządzeniami wyjściowymi
] pliki
] okna
] foldery
] dyski
] przejście przez opcje do przodu
] przejście przez opcje w odwrotnym kierunku
] przejście do zakładki do przodu
] przejście do zakładki w odwrotnym kierunku
] Ctrl + C
] Ctrl + X
] Ctrl + V
] F4
] F5
] F6
] F7
] programy bankowe
] programy kalkulacyjne
] programy inwentaryzacyjne
] programy finansowo-księgowe
] wchodzi w skład pakietów antywirusowych
] stanowi oddzielne aplikacje
] Linux
] NetBEUI
] TCP/IP
] NTFS
] prawda
] fałsz
[ ] jest rzadko stosowany, ze wzglęgu na dużą
awaryjność
[ ] stosowany powszechnie w niezbyt dużych sieciach
[ ] pozwala na łatwą rozudowę sieci
[ ] stosowany jest do połączeń o charakterze
tymczasowym
[ ] możliwość awarii sprzętu
[ ] możliwość uszkodzenia plików
[ ] możliwość przypadkowego usunięcia plików z
nośników pamięci
[ ] konieczność ochrony przed nieautoryzowanym
dostępem
[ ] pełna kontrola
[ ] zapis i wykonanie
[ ] modyfikacja
[ ] powszechne udostępnianie plików
[ ] dobrej jakości sprzętu
[ ] czasu
[ ] tego samego protokołu
[ ]3
[ ]4
[ ]5
[ ]6
[ ] hub/switch
[ ] karta sieciowa
[ ] program antywirusowy
[ ] oprogramowanie sieciowe
[ ] archiwalny
[ ] tylko do odczytu
[ ] ukryty
[ ] systemowy
[ ] komputera
[ ] sieci
[ ] użytkownika
[ ] zasobów
Poprawne odpowiedzi
1.
tak
2.
3.
5.
7.
9.
Delphi
foldery
Ctrl + C
programy bankowe,
programy inwentaryzacyjne,
programy finansowo-księgowe
NetBEUI,
TCP/IP
jest rzadko stosowany, ze wzglęgu na dużą
awaryjność,
stosowany jest do połączeń o charakterze
tymczasowym
4.
6.
8.
10.
16.
17.
pełna kontrola,
zapis i wykonanie,
modyfikacja
4
19.
ukryty
20.
11.
13.
15.
drukarka,
skaner,
modem,
nagrywarka
to oprogramowanie zarządzające zasobami
przejście przez opcje w odwrotnym kierunku
F6
wchodzi w skład pakietów antywirusowych,
stanowi oddzielne aplikacje
12.
prawda
14.
możliwość awarii sprzętu,
możliwość uszkodzenia plików,
możliwość przypadkowego usunięcia plików z
nośników pamięci,
konieczność ochrony przed nieautoryzowanym
dostępem
tego samego protokołu
18.
hub/switch,
karta sieciowa,
oprogramowanie sieciowe
użytkownika,
zasobów