Załączniki nr 1E,1T,1G,1Tr,1K - POBIERZ PLIK

Transkrypt

Załączniki nr 1E,1T,1G,1Tr,1K - POBIERZ PLIK
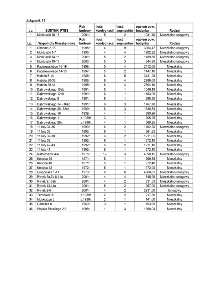
Załącznik 1T
Lp.
1
Lp.
1
2
3
4
5
6
7
8
9
10
11
12
13
14
15
16
17
18
19
20
21
22
23
24
25
26
27
28
29
30
31
32
33
34
35
36
BUDYNKI PTBS
Moniuszki 16-17
Wspólnoty Mieszkaniowe
Chopina 2-18
Moniuszki 1-7
Moniuszki 14-15
Moniuszki 10-13
Paderewskiego 16-19
Paderewskiego 14-15
Hubala 6-14
Hubala 30-36
Hubala 38-44
Dąbrowskiego 10ab
Dąbrowskiego 12ab
Dąbrowskiego 8
Dąbrowskiego 14 - 16ab
Dąbrowskiego 30- 32ab
Dąbrowskiego 19
Dąbrowskiego 11
Dąbrowskiego 26a
11 luty 34-35
11 luty 36.
11 luty 37-38
11 luty 39.
11 luty 42-43
11 luty 41.
Ratowników 4-6
Kmicica 38
Kmicica 40
Kmicica 42
Głogowska 1-11
Rynek 7a,7b,8,11a
Rynek 9,10ab
Rynek 43,44a
Rynek 2-6
Tarnówek 31
Moskorzyn 3
Gdanska 8
Wojska Polskiego 2-6
Rok
budowy
2001r.
Rok
budowy
1995r.
1995r.
2001r.
2000r.
1998r.
1997r.
1986r.
1986r.
1995r.
1991r.
1991r.
1991r.
ilość
kondygnacji
5
ilość
kondygnacji
4
4
5
5
5
5
6
6
6
5
6
6
ilość
segmentów
2
ilość
segmentów
9
4
2
3
4
2
5
4
4
1
1
1
1991r.
1990r.
1939r.
p.1939r.
p.1939r.
1993r.
1993r.
1992r.
1992r.
1992r.
1992r.
1975r.
1971r.
1971r.
1972r.
1973r.
2001r.
2001r.
2001r.
2001r.
p.1939r.
p.1939r.
1963r.
1998r.
6
6
4
3
4
6
6
6
6
6
6
12
5
5
5
6
4
4
5
4
2
2
3
1
3
3
1
1
1
2
1
2
1
2
1
3
1
1
1
6
4
2
2
2
2
1
1
3
ogółem pow.
budynku
1031,40
ogółem pow.
budynku
3954,47
1902,92
1189,50
344,80
2412,00
1447,10
3141,28
2286,00
2594,10
1046,18
1163,09
698,50
1767,70
1630,54
380,26
205,25
568,25
1162,20
561,65
1211,05
672,10
1211,10
672,10
4090,15
969,85
972,40
972,00
4068,85
845,99
331,53
257,00
2231,60
217,80
141,00
153,99
1888,94
Rodzaj
Mieszkalno-usługowy
Rodzaj
Mieszkalno-usługowy
Mieszkalno-usługowy
Mieszkalno-usługowy
Mieszkalno-usługowy
Mieszkalny
Mieszkalny
Mieszkalny
Mieszkalny
Mieszkalny
Mieszkalny
Mieszkalny
Mieszkalny
Mieszkalny
Mieszkalny
Mieszkalny
Mieszkalny
Mieszkalny
Mieszkalno-usługowy
Mieszkalny
Mieszkalny
Mieszkalny
Mieszkalny
Mieszkalny
Mieszkalno-usługowy
Mieszkalny
Mieszkalny
Mieszkalny
Mieszkalno-usługowy
Mieszkalno-usługowy
Mieszkalno-usługowy
Mieszkalno-usługowy
Usługowy
Mieszkalny
Mieszkalny
Mieszkalny
Mieszkalny
Załącznik 1G
Lp.
1
2
3
4
5
6
7
8
9
BUDYNKI PTBS
Górna 10-16
Gdanska 10 - 14
Pl. Piastów 1-4
Moniuszki 16-17
Moniuszki 18-22
Moniuszki 23-31
Borówkowa 9,11
Borówkowa 13,15
Borówkowa 17,19
Wspólnoty
Mieszkaniowe
Lp.
Ilość mieszkań
35
20
21
19
59
81
20
20
20
1
Chopina 2-18
Ilość mieszkań
75
Ilość lokali
7
Rodzaj
wentylacyjne
2
3
4
5
6
7
8
9
10
11
12
Moniuszki 1-7
Moniuszki 14-15
Moniuszki 10-13
Paderewskiego 16-19
Paderewskiego 14-15
Hubala 6-14
Hubala 30-36
Hubala 38-44
Dąbrowskiego 10ab
Dąbrowskiego 12ab
Dąbrowskiego 8
31
6
wentylacyjne
20
31
46
26
50
40
50
20
20
10
2
8
13
14
15
16
17
18
19
20
21
22
23
Dąbrowskiego 14 - 16ab
Dąbrowskiego 30- 32ab
Dąbrowskiego 19
Dąbrowskiego 11
Dąbrowskiego 26a
11 luty 34-35
11 luty 36.
11 luty 37-38
11 luty 39.
11 luty 42-43
11 luty 41.
wentylacyjne
wentylacyjne
wentylacyjne
wentylacyjne
wentylacyjne
wentylacyjne
wentylacyjne
wentylacyjne
wentylacyjne
wentylacyjne
wentylacyjne
24
25
26
27
28
29
30
31
32
33
34
35
36
37
38
39
Ratowników 4-6
Ratowników 1-3
Kmicica 38
Kmicica 40
Kmicica 42
Głogowska 1-11
Rynek 7a,7b,8,11a
Rynek 9,10ab
Rynek 43,44a
Rynek 2-6
Tarnówek 31
Moskorzyn 3
Gdanska 8
Ogrodowa 2-8
Borówkowa 5,7
Borówkowa 1,3
32
26
8
4
9
29
15
20
10
20
10
89
100
Ilość lokali
3
7
1
4- do przegladu 3 lokale
wentylacyjne
wentylacyjne +spalinowe
wentylacyjne +spalinowe
wentylacyjne +spalinowe
wentylacyjne
wentylacyjne
wentylacyjne
wentylacyjne
wentylacyjne
wentylacyjne
wentylacyjne +spalinowe
40 Wojska Polskiego 2-6
54
wentylacyjne +spalinowe
wentylacyjne +spalinowe
wentylacyjne +spalinowe
wentylacyjne +spalinowe
wentylacyjne +spalinowe
wentylacyjne
wentylacyjne
wentylacyjne
wentylacyjne
wentylacyjne +spalinowe
wentylacyjne +spalinowe
wentylacyjne
wentylacyjne
wentylacyjne
wentylacyjne
wentylacyjne
41 Kasztanowa 7
6
wentylacyjne
24
24
24
76
8
3
2
0
4
2
3
29
19
20
5-do przegladu 3 lokale
Rodzaj
wentylacyjne
wentylacyjne
wentylacyjne
wentylacyjne
wentylacyjne
wentylacyjne
wentylacyjne i spalinowe
wentylacyjne i spalinowe
wentylacyjne i spalinowe
2
3
1
2
30
1
1
1
Załącznik 1K
Lp.
1
2
3
4
5
6
7
8
9
BUDYNKI PTBS
Górna 10-16
Gdanska 10 - 14
Pl. Piastów 1-4
Moniuszki 16-17
Moniuszki 18-22
Moniuszki 23-31
Borówkowa 9,11
Borówkowa 13,15
Borówkowa 17,19
Wspólnoty
Mieszkaniowe
Lp.
1
2
3
4
5
6
7
8
9
10
11
12
Chopina 2-18
Moniuszki 1-7
Moniuszki 14-15
Moniuszki 10-13
Paderewskiego 16-19
Paderewskiego 14-15
Hubala 6-14
Hubala 30-36
Hubala 38-44
Dąbrowskiego 10ab
Dąbrowskiego 12ab
Dąbrowskiego 8
13
14
15
16
17
18
19
20
21
22
23
Dąbrowskiego 14 - 16ab
Dąbrowskiego 30- 32ab
Dąbrowskiego 19
Dąbrowskiego 11
Dąbrowskiego 26a
11 luty 34-35
11 luty 36.
11 luty 37-38
11 luty 39.
11 luty 42-43
11 luty 41.
24
25
26
27
28
29
30
31
32
33
34
35
36
37
38
39
Ratowników 4-6
Ratowników 1-3
Kmicica 38
Kmicica 40
Kmicica 42
Głogowska 1-11
Rynek 7a,7b,8,11a
Rynek 9,10ab
Rynek 43,44a
Rynek 2-6
Tarnówek 31
Moskorzyn 3
Gdanska 8
Ogrodowa 2-8
Borówkowa 5,7
Borówkowa 1,3
Ilość mieszkań
35
20
21
19
59
81
20
20
20
Ilość lokali
3
7
Rodzaj
wentylacyjne
wentylacyjne
wentylacyjne
wentylacyjne
wentylacyjne
wentylacyjne
wentylacyjne i spalinowe
wentylacyjne i spalinowe
wentylacyjne i spalinowe
Ilość mieszkań
75
Ilość lokali
7
Rodzaj
wentylacyjne
31
20
31
46
26
50
40
50
20
20
10
6
2
8
wentylacyjne
wentylacyjne
wentylacyjne
wentylacyjne
wentylacyjne
wentylacyjne
wentylacyjne
wentylacyjne
wentylacyjne
wentylacyjne
wentylacyjne
wentylacyjne
32
26
8
4
9
29
15
20
10
20
10
89
100
1
4- do przegladu 3 lokale
40 Wojska Polskiego 2-6
54
wentylacyjne +spalinowe
wentylacyjne +spalinowe
wentylacyjne +spalinowe
wentylacyjne +spalinowe
wentylacyjne +spalinowe
wentylacyjne
wentylacyjne
wentylacyjne
wentylacyjne
wentylacyjne +spalinowe
wentylacyjne +spalinowe
wentylacyjne
wentylacyjne
wentylacyjne
wentylacyjne
wentylacyjne
41 Kasztanowa 7
6
wentylacyjne
24
24
24
76
8
3
2
0
4
2
3
29
19
20
5-do przegladu 3 lokale
wentylacyjne
wentylacyjne +spalinowe
wentylacyjne +spalinowe
wentylacyjne +spalinowe
wentylacyjne
wentylacyjne
wentylacyjne
wentylacyjne
wentylacyjne
wentylacyjne
wentylacyjne +spalinowe
2
3
1
2
30
1
1
1
Załącznik 1E
Lp.
BUDYNKI PTBS
1 Moniuszki 16-17
Wspólnoty
Lp.
Mieszkaniowe
1
Chopina 2-18
2
3
4
5
6
7
8
9
10
11
12
Moniuszki 1-7
Moniuszki 14-15
Moniuszki 10-13
Paderewskiego 16-19
Paderewskiego 14-15
Hubala 6-14
Hubala 30-36
Hubala 38-44
Dąbrowskiego 10ab
Dąbrowskiego 12ab
Dąbrowskiego 8
13
14
15
16
17
18
19
20
21
22
23
Dąbrowskiego 14 - 16ab
Dąbrowskiego 30- 32ab
Dąbrowskiego 19
Dąbrowskiego 11
Dąbrowskiego 26a
11 luty 34-35
11 luty 36.
11 luty 37-38
11 luty 39.
11 luty 42-43
11 luty 41.
24
25
26
27
28
29
30
31
32
33
34
35
Ratowników 4-6
Kmicica 38
Kmicica 40
Kmicica 42
Głogowska 1-11
Rynek 7a,7b,8,11a
Rynek 9,10ab
Rynek 43,44a
Rynek 2-6
Tarnówek 31
Moskorzyn 3
Gdanska 8
36 Wojska Polskiego 2-6
Ilość mieszkań
19
Ilość lokali
Rodzaj
Mieszkalno-usługowy
Ilość mieszkań
75
Ilość lokali
7
Rodzaj
31
6
20
31
46
26
50
40
50
20
20
10
2
8
32
26
8
4
9
29
15
20
10
20
10
89
24
24
24
76
8
3
2
0
4
2
3
54
1
4- do przegladu 3 lokale
2
3
1
2
30
1
1
Mieszkalno-usługowy
Mieszkalno-usługowy
Mieszkalno-usługowy
Mieszkalno-usługowy
Mieszkalny
Mieszkalny
Mieszkalny
Mieszkalny
Mieszkalny
Mieszkalny
Mieszkalny
Mieszkalny
Mieszkalny
Mieszkalny
Mieszkalny
Mieszkalny
Mieszkalny
Mieszkalno-usługowy
Mieszkalny
Mieszkalny
Mieszkalny
Mieszkalny
Mieszkalny
Mieszkalno-usługowy
Mieszkalny
Mieszkalny
Mieszkalny
Mieszkalno-usługowy
Mieszkalno-usługowy
Mieszkalno-usługowy
Mieszkalno-usługowy
Usługowy
Mieszkalny
Mieszkalny
Mieszkalny
Mieszkalny
Załącznik 1Tr
Lp.
BUDYNKI PTBS
Rok
budowy
Ilość
kondygnacji
1
2
3
4
5
6
7
8
Górna 10-16
Gdanska 10 - 14
Pl. Piastów 1-4
Moniuszki 18-22
Moniuszki 23-31
Borówkowa 9,11
Borówkowa 13,15
Borówkowa 17,19
2003r.
2003r.
2003r.
2005r.
2005r.
2009r.
2009r.
2009r.
5
5
5
4
4
4
4
4
4
3
4
5
9
2
2
2
Lp.
Wspólnoty
Rok
Ilość
kondygnacji
Ilość
segmentów
1975r.
2008r.
2009r.
2010r.
p.1939r.
12
5
4
4
4
3
4
2
2
1
1
2
3
4
5
Ratowników 1-3
Ogrodowa 2-8
Borówkowa 5,7
Borówkowa 1,3
Kasztanowa 7
Ilość
Ogółem pow.
segmentów
budynku
1580,37
944,84
1041,02
3209,93
4631,94
961,07
968,67
945,86
Ogółem pow.
budynku
4276,34
1767,48
1039,02
1053,24
261,98
Rodzaj
Mieszkalny
Mieszkalny
Mieszkalny
Mieszkalny z usługami
Mieszkalny z usługami
Mieszkalny
Mieszkalny
Mieszkalny
Rodzaj
Mieszkalny z usługami
Mieszkalny
Mieszkalny z usługami
Mieszkalny
Mieszkalny