5 projekt umowy - oznakowanie pionowe

Transkrypt

5 projekt umowy - oznakowanie pionowe
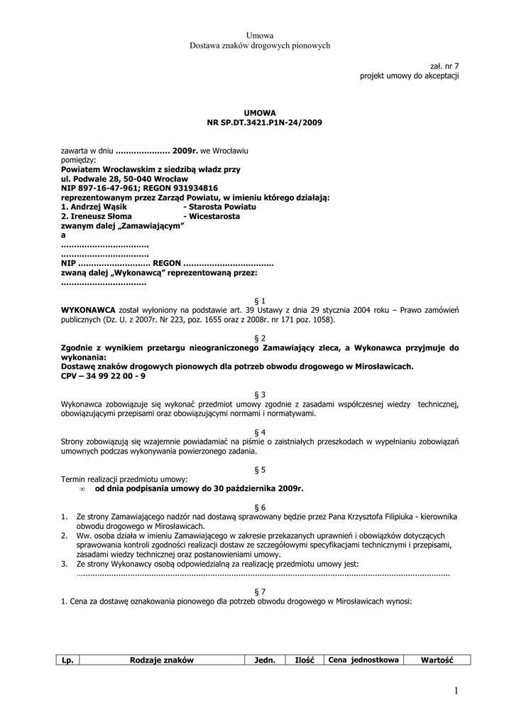
Umowa
Dostawa znaków drogowych pionowych
zał. nr 7
projekt umowy do akceptacji
UMOWA
NR SP.DT.3421.P1N-24/2009
zawarta w dniu ………………… 2009r. we Wrocławiu
pomiędzy:
Powiatem Wrocławskim z siedzibą władz przy
ul. Podwale 28, 50-040 Wrocław
NIP 897-16-47-961; REGON 931934816
reprezentowanym przez Zarząd Powiatu, w imieniu którego działają:
1. Andrzej Wąsik
- Starosta Powiatu
2. Ireneusz Słoma
- Wicestarosta
zwanym dalej „Zamawiającym”
a
…………………………….
…………………………….
NIP ………………………. REGON ……………………………..
zwaną dalej „Wykonawcą” reprezentowaną przez:
……………………………
§1
WYKONAWCA został wyłoniony na podstawie art. 39 Ustawy z dnia 29 stycznia 2004 roku – Prawo zamówień
publicznych (Dz. U. z 2007r. Nr 223, poz. 1655 oraz z 2008r. nr 171 poz. 1058).
§2
Zgodnie z wynikiem przetargu nieograniczonego Zamawiający zleca, a Wykonawca przyjmuje do
wykonania:
Dostawę znaków drogowych pionowych dla potrzeb obwodu drogowego w Mirosławicach.
CPV – 34 99 22 00 - 9
§3
Wykonawca zobowiązuje się wykonać przedmiot umowy zgodnie z zasadami współczesnej wiedzy technicznej,
obowiązującymi przepisami oraz obowiązującymi normami i normatywami.
§4
Strony zobowiązują się wzajemnie powiadamiać na piśmie o zaistniałych przeszkodach w wypełnianiu zobowiązań
umownych podczas wykonywania powierzonego zadania.
§5
Termin realizacji przedmiotu umowy:
•
od dnia podpisania umowy do 30 października 2009r.
1.
2.
3.
§6
Ze strony Zamawiającego nadzór nad dostawą sprawowany będzie przez Pana Krzysztofa Filipiuka - kierownika
obwodu drogowego w Mirosławicach.
Ww. osoba działa w imieniu Zamawiającego w zakresie przekazanych uprawnień i obowiązków dotyczących
sprawowania kontroli zgodności realizacji dostaw ze szczegółowymi specyfikacjami technicznymi i przepisami,
zasadami wiedzy technicznej oraz postanowieniami umowy.
Ze strony Wykonawcy osobą odpowiedzialną za realizację przedmiotu umowy jest:
…............................................................................................................................................................
§7
1. Cena za dostawę oznakowania pionowego dla potrzeb obwodu drogowego w Mirosławicach wynosi:
Lp.
Rodzaje znaków
Jedn.
Ilość
Cena jednostkowa
Wartość
1
Umowa
Dostawa znaków drogowych pionowych
1
2
3
4
5
6
7
8
9
10
Znaki ostrzegawcze o boku 900mm.
Folia I generacji
Znak ostrzegawczy A-7 o boku 900 mm.
Folia II generacji
Znaki zakazu i nakazu o średnicy 800mm.
Folia I generacji
Znaki informacyjne o wymiarach 600x600
Filia I generacji
Znaki informacyjne D-6 o wymiarach
600x600. Folia II generacji.
Pozostałe znaki drogowe:
tablice,
drogowskazy,
inne
znaki
uzupełniające. Folia I generacji
E-17a
10 szt.
6,36 m2
E-18a
10 szt.
6,36 m2
D-42
20 szt.
12,72 m2
D-43
20 szt.
12,72 m2
E-2
36 szt.
47,418 m2
G-1a
8 szt.
2,40 m2
G-1b
8 szt.
2,40 m2
G-1c
8 szt.
2,40 m2
T-2
20 szt.
2,40 m2
T-3
12 szt.
1,44 m2
T-6
20 szt.
7,20 m2
U-3a
32 szt.
11,52 m2
Słupki do znaków fi 60
dł. 4,0m – 158 szt.
dł. 5,0m – 90 szt.
Uchwyty do znaków wraz ze śrubami
Lustra drogowe okrągłe fi 800
Oznakowanie rezerwowe
miary
szt.
126
brutto [zł]
szt.
14
szt.
47
szt.
20
szt.
8
m2
115,34
szt.
248
brutto [zł]
szt.
1106
szt.
10
m2
20
Ogółem brutto: [zł]
w tym podatek VAT ....... % tj. [zł]
Ogółem netto [zł]
Ogółem cena za wykonanie oznakowania poziomego na terenie Obwodu Drogowego w Mirosławicach
•
netto: ........................zł.
podatek VAT …. % tj. …….. zł.
•
brutto: [zł] …………. zł.
(słownie brutto: .................................................................................................................................)
2.
3.
4.
Znaki drogowe pionowe zamawiane będą partiami zgodnie z potrzebami Zamawiającego przez Obwód Drogowy
w Mirosławicach. Przy każdorazowym zamówieniu partii znaków zostanie sprecyzowany zakres rzeczowy
dostawy. Maksymalny czas realizacji jednej dostawy – 5 dni; czas realizacji dostawy zamówienia
interwencyjnego – 24 godz.
Płatność nastąpi w dwu etapach:
1) I - etap, po wykonaniu 50% zakresu rzeczowego, w wysokości do 50% zrealizowanej wartości umowy, po
dostarczeniu protokołu odbioru częściowego podpisanego przez kierownika obwodu drogowego w
Mirosławicach, po złożeniu faktury w siedzibie Zamawiającego na adres Powiat Wrocławski.
2) II – etap, po wykonaniu całego zakresu rzeczowego, po dostarczeniu protokołu odbioru ostatecznego
podpisanego przez kierownika obwodu drogowego w Mirosławicach, po złożeniu faktury w siedzibie
Zamawiającego na adres Powiat Wrocławski.
Płatność nastąpi w terminie 21 dni od dostarczenia wymaganych przez Zamawiającego dokumentów.
§8
Kwota zawarta w § 7 zawiera wszelkie koszty związane z wykonaniem zamawianych znaków drogowych pionowych
wraz z dostawą do obwodu drogowego w Mirosławicach.
§9
2
Umowa
Dostawa znaków drogowych pionowych
1.
2.
W celu zapewnienia właściwej jakości robót ustanawia się zabezpieczenie należytego wykonania umowy na
podstawie Art. 147 Ustawy z dnia 29 stycznia 2004r. – Prawo Zamówień Publicznych, w wysokości
5% wartości przedmiotu zamówienia brutto, w kwocie …………… zł. (słownie: …………………).
Zabezpieczenie Należytego Wykonania Zamówienia Wykonawca wnosi w formie.
.................................................................................................................................................................
3.
4.
70 (siedemdziesiąt) % wartości zabezpieczenia należytego wykonania zamówienia zostanie zwrócone
Wykonawcy w ciągu 30 dni od daty podpisania Protokółu Odbioru Ostatecznego bez wad.
30 (trzydzieści) % wartości zabezpieczenia należytego wykonania zamówienia zostanie zwrócone w ciągu 14
dni od daty podpisania Protokółu Pogwarancyjnego po upływie terminu gwarancji i rękojmi.
Na materiały dostarczone
odbioru ostatecznego.
§ 10
przez Wykonawcę, ustala się okres gwarancji i rękojmi
3 lata od daty dokonania
§ 11
Obowiązki stron:
1. Obowiązki Zamawiającego:
a) Zapewnić nadzór przy odbiorze dostawy.
2. Obowiązki Wykonawcy:
a) Wykonawca zobowiązuje się wykonać przedmiot zamówienia zgodnie ze specyfikacją techniczną oraz
obowiązującymi przepisami,
b) Wykonawca odpowiada za bezpieczeństwo w trakcie transportu,
c) Wykonawca odpowiada za szkody wynikłe podczas dostawy znaków drogowych.
§ 12
Warunki odbioru robót:
1. Wykonawca zgłosi w formie pisemnej gotowość do odbioru.
2. W przypadku stwierdzenia podczas czynności odbioru dostaw wad w ich wykonaniu Zamawiającemu
przysługują uprawnienia:
a) odmowy odbioru dostawy do czasu usunięcia wad,
b) obniżenia wynagrodzenia za wykonanie znaków drogowych pionowych,
c) odstąpienia od wynagrodzenia do chwili dokonania odbioru dostawy.
3. Potwierdzeniu odbioru dostaw będzie spisanie protokołu, zawierającego ustalenia dokonane podczas czynności
odbioru znaków drogowych.
4. Wykonawca zobowiązany jest do pisemnego zawiadomienia Zamawiającego o usunięciu wad.
5. Koszty usuwania wad ponosi Wykonawca, a okres ich usuwania nie przedłuża umownego terminu zakończenia
dostawy.
§ 13
Odstąpienie od umowy może nastąpić zgodnie z Ustawą z dnia 29 stycznia 2004r. – Prawo Zamówień Publicznych
oraz zgodnie z postanowieniami Kodeksu Cywilnego.
§ 14
Kary umowne naliczane będą według następujących zasad:
1.
Za odstąpienie od umowy przez Zamawiającego z przyczyn, za które ponosi odpowiedzialność Wykonawca,
Wykonawca zapłaci karę w wysokości 10% wynagrodzenia umownego brutto zadania 1 lub zadania 2.
2.
Za opóźnienie w oddaniu przedmiotu umowy, Wykonawca zapłaci karę w wysokości 0.2% wynagrodzenia
umownego brutto zadania 1 lub zadania 2 za każdy dzień opóźnienia od umownego terminu oddania.
3.
Za opóźnienie w usunięciu wad stwierdzonych przy odbiorze lub w okresie rękojmi, Wykonawca zapłaci karę w
wysokości 0,2% wynagrodzenia umownego brutto zadania 1 lub zadania 2 za każdy dzień opóźnienia, liczony od
daty wyznaczonej w protokole odbioru na usunięcie wad.
4.
Zamawiający jest zobowiązany wypłacić Wykonawcy karę umowną w przypadku:
a) jeżeli Zamawiający zwleka z rozpoczęciem odbioru ostatecznego zamówienia dłużej niż 14 dni od daty
wpływu (do Zamawiającego) pisemnego powiadomienia o zakończeniu dostaw i zgłoszenia do odbioru, 0.2
% wynagrodzenia umownego brutto zadania 1 lub zadania 2 za każdy dzień opóźnienia,
b) jeżeli bez winy Wykonawcy, Zamawiający odstąpi od Umowy, Zamawiający zapłaci Wykonawcy karę
umowną w wysokości 10 % wynagrodzenia umownego brutto zadania 1 lub zadania 2.
5.
Jeżeli wartość kary umownej wypłaconej z jakiejkolwiek przyczyny nie pokrywa poniesionej szkody, strona która
poniosła szkodę może dochodzić swoich roszczeń w przypadku udokumentowania rzeczywistej wartości szkody i
jej ścisłego związku z nienależytym wykonaniem umownych obowiązków drugiej strony.
6.
Kara umowna powinna być zapłacona przez stronę, która naruszyła warunki Umowy w terminie 14 dni od daty
wystąpienia z żądaniem zapłaty. Za zgodą Wykonawcy, Zamawiający ma obligatoryjne prawo do potrącenia
należnej mu kwoty z dowolnej należności Wykonawcy.
3
Umowa
Dostawa znaków drogowych pionowych
1.
2.
§ 15
Wszelkie spory wynikłe w toku realizacji niniejszej umowy strony będą starały się rozstrzygnąć
w drodze negocjacji, a w wypadku nie osiągnięcia porozumienia poddane zostaną rozstrzygnięciu sądu
powszechnego właściwego dla siedziby Zamawiającego.
Wszelkie zmiany i uzupełnienia niniejszej umowy mogą być dokonywane wyłącznie w formie pisemnego aneksu
podpisanego przez obie strony.
§ 16
W sprawach nie uregulowanych postanowieniami niniejszej umowy mają zastosowanie przepisy Kodeksu Cywilnego.
§ 17
Wszelkie zmiany zapisów Umowy mogą być dokonywane na pisemny, uzasadniony wniosek każdej ze stron i
wymagają pisemnej zgody drugiej strony.
§ 18
Umowę sporządzono w 2 jednobrzmiących egzemplarzach po 1 egzemplarzu dla każdej ze stron.
§ 19
Dokumentami związanymi z niniejszą Umową w formie załączników są:
a) Specyfikacja Istotnych Warunków Zamówienia (Materiały przetargowe),
b) Oferta Przetargowa Wykonawcy.
ZAMAWIAJĄCY
WYKONAWCA
Akceptuję ustalenia zawarte w niniejszej umowie
…………………………………………………….
Podpis Wykonawcy
lub upełnomocnionego przedstawiciela Wykonawcy
Sporządziła:
Dorota Zięciak
4