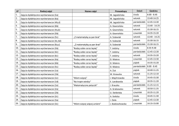
Zajęcia dydaktyczno

Transkrypt

Zajęcia dydaktyczno
LP
Rodzaj zajęć
1. Zajęcia dydaktyczno-wyrównawcze (5a)
2. Zajęcia dydaktyczno-wyrównawcze (6a)
Nazwa zajęć
Prowadzący
Dzień
Godzina
M. Jagodzińska
środa
8.00 - 8.45
M. Jagodzińska
wtorek
13.40-14.25
3.
Zajęcia dydaktyczno-wyrównawcze (4b,d)
M. Jagodzińska
poniedziałek 12.45-13.30
4.
Zajęcia dydaktyczno-wyrównawcze (6b)
A. Gawrońska
wtorek
13.40 - 14.25
5.
Zajęcia dydaktyczno-wyrównawcze (4a,b)
A. Gawrońska
wtorek
15.30-16.15
6.
Zajęcia dydaktyczno-wyrównawcze (5b)
A. Gawrońska
czwartek
14.35-15.20
7.
Zajęcia dydaktyczno-wyrównawcze (5c)
A. Sulawiak
wtorek
13.40 - 14.25
8.
Zajęcia dydaktyczno-wyrównawcze (4c,4d)
A. Sulawiak
wtorek
15.30-16.15
9.
Zajęcia dydaktyczno-wyrównawcze (6a,c)
A. Sulawiak
poniedziałek 15.30-16.15
„Z matematyką za pan brat"
„Z matematyką za pan brat"
10. Zajęcia dydaktyczno-wyrównawcze (5b)
11. Zajęcia dydaktyczno-wyrównawcze (4c)
"Radzę sobie coraz lepiej"
T. Jedziny
środa
"Radzę sobie coraz lepiej"
T. Jedziny
poniedziałek 12.45-13.30
12. Zajęcia dydaktyczno-wyrównawcze (6c)
13. Zajęcia dydaktyczno-wyrównawcze (4a)
"Radzę sobie coraz lepiej"
T. Jedziny
wtorek
14.35-15.20
"Radzę sobie coraz lepiej"
D. Matera
czwartek
12.45-13.30
14. Zajęcia dydaktyczno-wyrównawcze (6b)
15. Zajęcia dydaktyczno-wyrównawcze (5c)
"Radzę sobie coraz lepiej"
D. Matera
piątek
14.35-15.20
"Radzę sobie coraz lepiej"
D. Matera
poniedziałek 8.00 - 8.45
A. Żuk
piątek
10.40-11.25
W. Krasucka
wtorek
11.25-12.10
16. Zajęcia dydaktyczno-wyrównawcze (1a)
17. Zajęcia dydaktyczno-wyrównawcze (1b)
8.55-9.40
18. Zajęcia dydaktyczno-wyrównawcze (1c)
19. Zajęcia dydaktyczno-wyrównawcze (1d)
"Wiem więcej"
I. Majchrowska
środa
14.45-15.30
"Na tropie wiedzy"
E. Landowska
piątek
10.35-11.20
20. Zajęcia dydaktyczno-wyrównawcze (1e)
21. Zajęcia dydaktyczno-wyrównawcze (2a)
"Matematyczne potyczki"
I. Krauska
poniedziałek 11.25-12.15
A. Grabowska
wtorek
10.50-11.25
22. Zajęcia dydaktyczno-wyrównawcze (2b)
23. Zajęcia dydaktyczno-wyrównawcze (2c)
U. Stefańska
czwartek
10.35-11.20
A. Sielicka
środa
10.45-11.30
24. Zajęcia dydaktyczno-wyrównawcze (3a)
25. Zajęcia dydaktyczno-wyrównawcze (3c)
I. Zioło
piątek
12.45-13.30
J. Bodziachowska
czwartek
14.15-15.00
"Wiem więcej więcej umiem"