Załącznik nr 4 do pytań i odpowiedzi

Transkrypt

Załącznik nr 4 do pytań i odpowiedzi
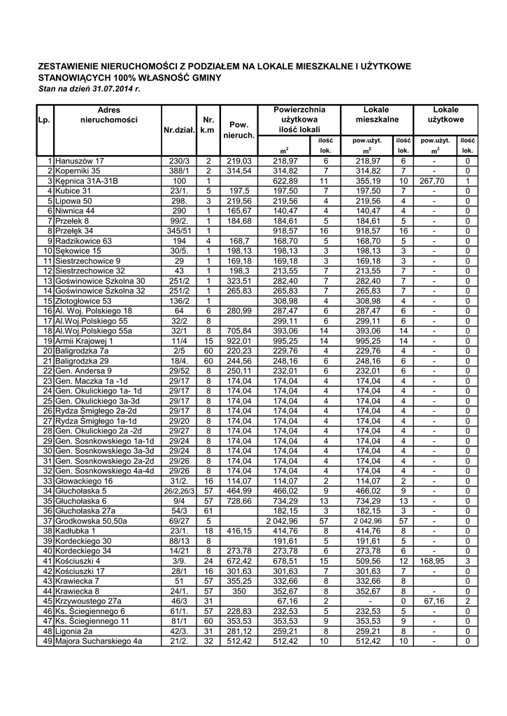
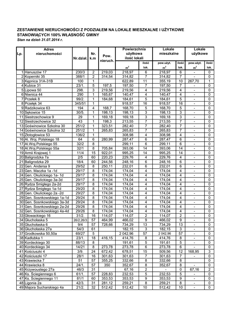
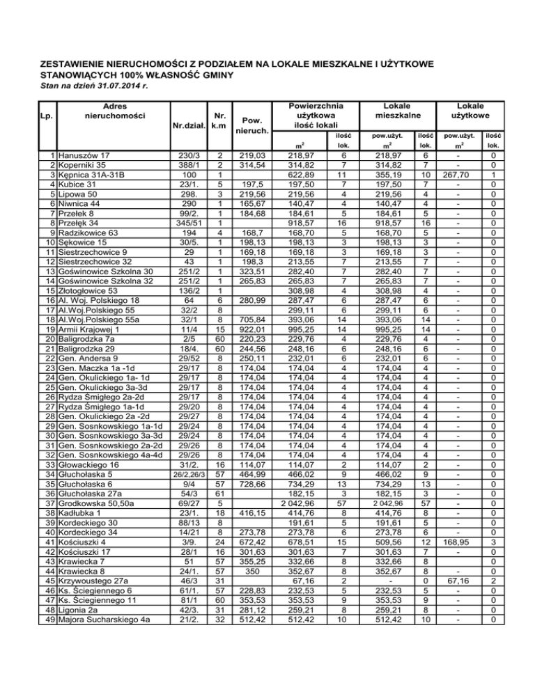
ZESTAWIENIE NIERUCHOMOŚCI Z PODZIAŁEM NA LOKALE MIESZKALNE I UŻYTKOWE
STANOWIĄCYCH 100% WŁASNOŚĆ GMINY
Stan na dzień 31.07.2014 r.
Lp.
Adres
nieruchomości
Nr.
Nr.dział. k.m
Pow.
nieruch.
Powierzchnia
użytkowa
ilość lokali
ilość
2
1
2
3
4
5
6
7
8
9
10
11
12
13
14
15
16
17
18
19
20
21
22
23
24
25
26
27
28
29
30
31
32
33
34
35
36
37
38
39
40
41
42
43
44
45
46
47
48
49
Hanuszów 17
Koperniki 35
Kępnica 31A-31B
Kubice 31
Lipowa 50
Niwnica 44
Przełek 8
Przełęk 34
Radzikowice 63
Sękowice 15
Siestrzechowice 9
Siestrzechowice 32
Goświnowice Szkolna 30
Goświnowice Szkolna 32
Złotogłowice 53
Al. Woj. Polskiego 18
Al.Woj.Polskiego 55
Al.Woj.Polskiego 55a
Armii Krajowej 1
Baligrodzka 7a
Baligrodzka 29
Gen. Andersa 9
Gen. Maczka 1a -1d
Gen. Okulickiego 1a- 1d
Gen. Okulickiego 3a-3d
Rydza Śmigłego 2a-2d
Rydza Śmigłego 1a-1d
Gen. Okulickiego 2a -2d
Gen. Sosnkowskiego 1a-1d
Gen. Sosnkowskiego 3a-3d
Gen. Sosnkowskiego 2a-2d
Gen. Sosnkowskiego 4a-4d
Głowackiego 16
Głuchołaska 5
Głuchołaska 6
Głuchołaska 27a
Grodkowska 50,50a
Kadłubka 1
Kordeckiego 30
Kordeckiego 34
Kościuszki 4
Kościuszki 17
Krawiecka 7
Krawiecka 8
Krzywoustego 27a
Ks. Ściegiennego 6
Ks. Ściegiennego 11
Ligonia 2a
Majora Sucharskiego 4a
230/3
388/1
100
23/1.
298.
290
99/2.
345/51
194
30/5.
29
43
251/2
251/2
136/2
64
32/2
32/1
11/4
2/5
18/4.
29/52
29/17
29/17
29/17
29/17
29/20
29/27
29/24
29/24
29/26
29/26
31/2.
26/2,26/3
9/4
54/3
69/27
23/1.
88/13
14/21
3/9.
28/1
51
24/1.
46/3
61/1.
81/1
42/3.
21/2.
2
2
1
5
3
1
1
1
4
1
1
1
1
1
1
6
8
8
15
60
60
8
8
8
8
8
8
8
8
8
8
8
16
57
57
61
5
18
8
8
24
16
57
57
31
57
60
31
32
219,03
314,54
197,5
219,56
165,67
184,68
168,7
198,13
169,18
198,3
323,51
265,83
280,99
705,84
922,01
220,23
244,56
250,11
174,04
174,04
174,04
174,04
174,04
174,04
174,04
174,04
174,04
174,04
114,07
464,99
728,66
416,15
273,78
672,42
301,63
355,25
350
228,83
353,53
281,12
512,42
m
lok.
218,97
314,82
622,89
197,50
219,56
140,47
184,61
918,57
168,70
198,13
169,18
213,55
282,40
265,83
308,98
287,47
299,11
393,06
995,25
229,76
248,16
232,01
174,04
174,04
174,04
174,04
174,04
174,04
174,04
174,04
174,04
174,04
114,07
466,02
734,29
182,15
2 042,96
414,76
191,61
273,78
678,51
301,63
332,66
352,67
67,16
232,53
353,53
259,21
512,42
6
7
11
7
4
4
5
16
5
3
3
7
7
7
4
6
6
14
14
4
6
6
4
4
4
4
4
4
4
4
4
4
2
9
13
3
57
8
5
6
15
7
8
8
2
5
9
8
10
Lokale
mieszkalne
pow.użyt.
2
m
218,97
314,82
355,19
197,50
219,56
140,47
184,61
918,57
168,70
198,13
169,18
213,55
282,40
265,83
308,98
287,47
299,11
393,06
995,25
229,76
248,16
232,01
174,04
174,04
174,04
174,04
174,04
174,04
174,04
174,04
174,04
174,04
114,07
466,02
734,29
182,15
2 042,96
414,76
191,61
273,78
509,56
301,63
332,66
352,67
232,53
353,53
259,21
512,42
Lokale
użytkowe
ilość
lok.
6
7
10
7
4
4
5
16
5
3
3
7
7
7
4
6
6
14
14
4
6
6
4
4
4
4
4
4
4
4
4
4
2
9
13
3
57
8
5
6
12
7
8
8
0
5
9
8
10
pow.użyt.
2
m
267,70
168,95
67,16
-
ilość
lok.
0
0
1
0
0
0
0
0
0
0
0
0
0
0
0
0
0
0
0
0
0
0
0
0
0
0
0
0
0
0
0
0
0
0
0
0
0
0
0
0
3
0
0
0
2
0
0
0
0
50
51
52
53
54
55
56
57
58
59
60
Mariacka 12a
Marii Merkert 12a
Podolska 2
Podolska 22
Pomorska 18
Sanocka 2
Słowiańska 29-29a
Słowiańska 31
Strzelców Bytomskich 6
Unii Lubelskiej 5
Zamojskiego 1
RAZEM
30/31
79
2/16
8/7
12/1.
62
92
93/1
126/3
25/1.
62/5
32
207,86
17
179,57
42
41
217,6
53
280,8
61
189,03
17
427,64
17 1568,43
36-4 184,84
54
319,45
22/1
196,48
179,57
273,82
228,10
302,84
168,20
427,64
1 590,08
176,27
318,47
301,01
3
2
5
6
6
4
8
25
5
8
5
196,48
86,70
273,82
228,10
302,84
168,20
427,64
1 590,08
176,27
318,47
301,01
3
1
5
6
6
4
8
25
5
8
5
92,87
-
0
1
0
0
0
0
0
0
0
0
0
20 521,82
444
19 925,14
437
596,68
7