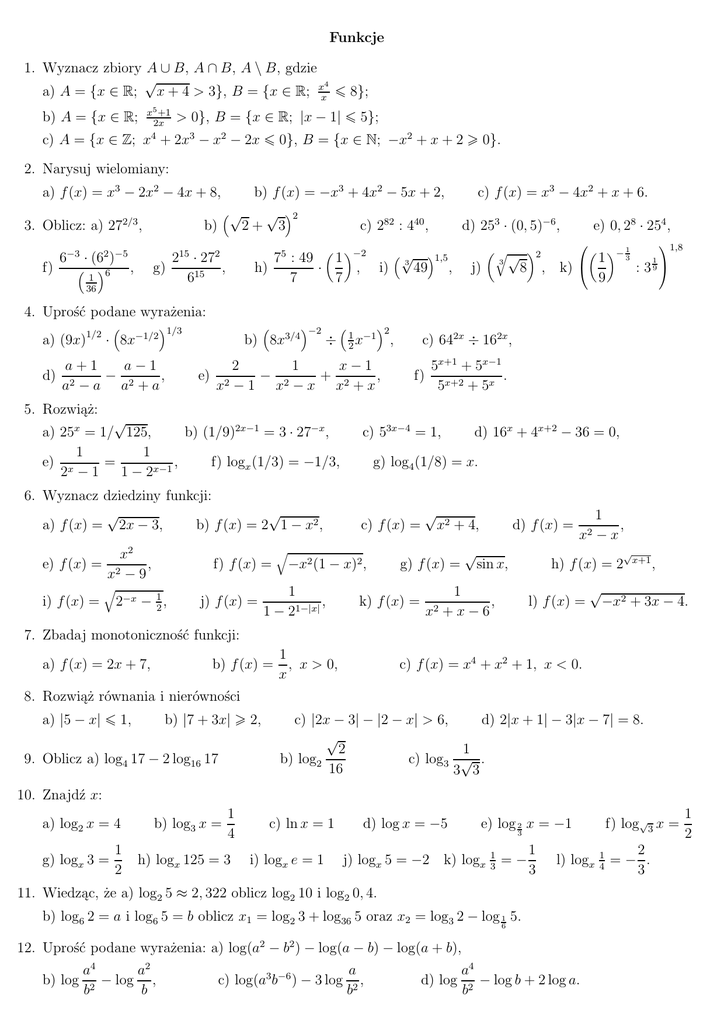
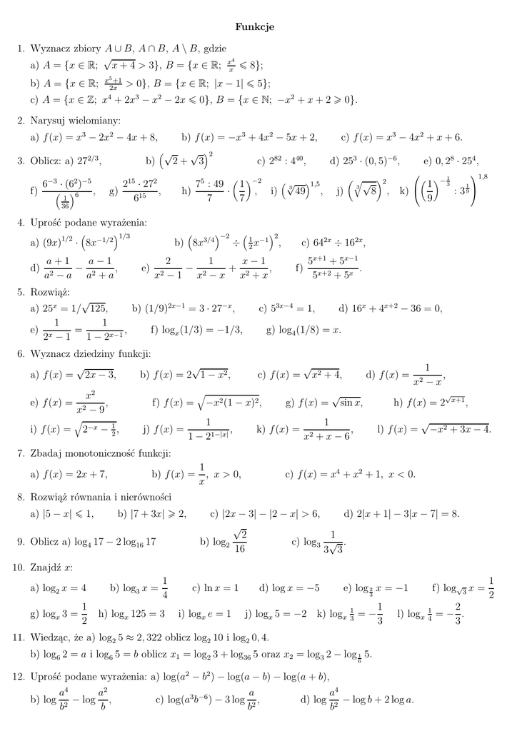
Funkcje 1. Wyznacz zbiory A ∪ B , A ∩ B , A \ B , gdzie a) A = {x

Transkrypt

Funkcje 1. Wyznacz zbiory A ∪ B , A ∩ B , A \ B , gdzie a) A = {x
Funkcje
1. Wyznacz zbiory A ∪ B, A ∩ B, A \ B, gdzie
√
4
a) A = {x ∈ R; x + 4 > 3}, B = {x ∈ R; xx ¬ 8};
b) A = {x ∈ R;
x5 +1
2x
4
> 0}, B = {x ∈ R; |x − 1| ¬ 5};
c) A = {x ∈ Z; x + 2x3 − x2 − 2x ¬ 0}, B = {x ∈ N; −x2 + x + 2 ­ 0}.
2. Narysuj wielomiany:
a) f (x) = x3 − 2x2 − 4x + 8,
b) f (x) = −x3 + 4x2 − 5x + 2,
√
√ 2
2+ 3
b)
c) 282 : 440 ,
3. Oblicz: a) 272/3 ,
f)
6−3 · (62 )−5
1
36
6
d) 253 · (0, 5)−6,
−2
√ 1,5
75 : 49
1
, i) 3 49 ,
h)
·
7
7
215 · 272
g)
,
615
,
c) f (x) = x3 − 4x2 + x + 6.
j)
q√ 2
3
8
, k)
e) 0, 28 · 254 ,

− 1
1 3

9
1
1,8
: 39 
4. Uprość podane wyrażenia:
a) (9x)1/2 · 8x−1/2
d)
1/3
a+1
a−1
− 2
,
2
a −a a +a
5. Rozwiąż:
b) 8x3/4
e)
−2
÷
6. Wyznacz dziedziny funkcji:
√
√
b) f (x) = 2 1 − x2 ,
a) f (x) = 2x − 3,
i) f (x) =
x2
,
x2 − 9
f) f (x) =
q
2−x − 12 ,
j) f (x) =
7. Zbadaj monotoniczność funkcji:
a) f (x) = 2x + 7,
2
2
1
x−1
− 2
+ 2
,
2
x −1 x −x x +x
√
b) (1/9)2x−1 = 3 · 27−x ,
a) 25x = 1/ 125,
1
1
=
,
f) logx (1/3) = −1/3,
e) x
2 −1
1 − 2x−1
e) f (x) =
1 −1
x
2
b) f (x) =
f)
5x+1 + 5x−1
.
5x+2 + 5x
d) 16x + 4x+2 − 36 = 0,
c) 53x−4 = 1,
g) log4 (1/8) = x.
c) f (x) =
q
−x2 (1 − x)2 ,
1
,
1 − 21−|x|
c) 642x ÷ 162x ,
,
x2 + 4,
√
g) f (x) =
k) f (x) =
1
, x > 0,
x
√
x2
d) f (x) =
sin x,
1
,
x2 − x
h) f (x) = 2
1
,
+x−6
l) f (x) =
√
√
x+1
,
−x2 + 3x − 4.
c) f (x) = x4 + x2 + 1, x < 0.
8. Rozwiąż równania i nierówności
a) |5 − x| ¬ 1,
b) |7 + 3x| ­ 2,
9. Oblicz a) log4 17 − 2 log16 17
c) |2x − 3| − |2 − x| > 6,
d) 2|x + 1| − 3|x − 7| = 8.
√
2
1
b) log2
c) log3 √ .
16
3 3
10. Znajdź x:
a) log2 x = 4
g) logx 3 =
1
2
b) log3 x =
1
4
h) logx 125 = 3
c) ln x = 1
i) logx e = 1
3
j) logx 5 = −2 k) logx
1
3
=−
1
3
l) logx
11. Wiedząc, że a) log2 5 ≈ 2, 322 oblicz log2 10 i log2 0, 4.
b) log6 2 = a i log6 5 = b oblicz x1 = log2 3 + log36 5 oraz x2 = log3 2 − log 1 5.
6
12. Uprość podane wyrażenia: a) log(a2 − b2 ) − log(a − b) − log(a + b),
b) log
a2
a4
−
log
,
b2
b
c) log(a3 b−6 ) − 3 log
a
,
b2
d) log
f) log√3 x =
e) log 2 x = −1
d) log x = −5
a4
− log b + 2 log a.
b2
1
4
2
=− .
3
1
2
13. Narysuj wykresy funkcji: a) y = sin(2x)
b) y = cos(x/2)
d) y = tg(x − π/2)
e) y = sin(−x)
k) f (x) = 2||3x − 1| − 1| +
1
2
h) y = log3 (9 − 3x)
c) y = sin(x + π)
f) y = log0,1 (−x)
i) f (x) = |x2 − 5x|
3x + 2
l) y =
x−1
g) y = − log4 x
j) f (x) = |x3 − 3x2 + 2x|
4x − 3
m) y =
2x − 5
14. Rozwiąż równania i nierówności:
n) y =
3x + 4
.
x+4
√
a) log(x + 1) + log(x − 2) = log(x + 2),
b) log x + 21 + 21 log(x − 21) = 1 + log 2,
4
= 3,
d) (log3 x)2 + log3 x2 − log3 27 = 0,
e) log5 x ­ log25 36,
c) log3 x −
log3 x
f) log 1 x ¬ log27 8
g) log7 x ¬ 1
3
j) log x + log(x + 1) < log(2x + 6),
k) log3 (2x − 7) ¬ 2 − log3 (8 − x).
15. Napisz złożenia funkcji f ◦ g, g ◦ f , g ◦ g, f ◦ f
a) f (x) = x2 ,
d) f (x) = ln x,
√
f) f (x) = x,
g(x) = 2x ,
b) f (x) = cos x,
g(x) = sin x,
√
e) f (x) =
g(x) = x1 ,
x2 + 9,
g(x) = 2x + 1,
c) f (x) = x2 − x,
g) f (x) = x − 3,
√
√
2
3
3
)
+
3
arccos(
)
d)
3
arccos(−
) − arcsin(− 12 )
2
2
2
√ 2
√ 3 arctg (− 33 )
f) 2arctg tg( 56 π) − 3 sin arcsin(− 23 )
√
17. Wyznacz, o ile istnieje, funkcję odwrotną do danej:
a) f (x) = 2x + 3,
e) f (x) = 2 − log5 x,
i) f (x) =
x+1
,
x−2
b) f (x) = 2x+2 ,
3x
f) f (x) =
,
1 + 3x
j) f (x) = e3x−2 ,
m) f (x) = ln(2x + 6),
n) f (x) =
p) f (x) = 2 arcsin(1 − x)
x+2
.
x−1
g(x) =
√
b) 4arctg 1 − arcctg (− 3)
a) 2 arcsin(−1) − 3arctg 0 + 5 arccos 0
c) 2 arcsin(−
g(x) = cos x,
g(x) = tg x
2
16. Oblicz podane wyrażenia:
e)
i) log0,4 (x2 − 2x − 1) > 0
h) log2 x ¬ log4 9 + log2 3,
1
2
r) f (x) =
c) f (x) =
√
− 2arcctg (−1)
g) sin arccos(
3x,
√
g) f (x) = 3 − 3 x + 2,
o) f (x) =
b) f (x) = ln
d) f (x) = logx−2 (x2 − x − 2),
l) f (x) =
1
2
2x − 3
,
3x + 2
q
log3 (x − 1).
π
2
− arcsin x ,
x−1
,
log(3x − 2x2 )
√
f) f (x) = arccos 1 − x2 .
c) f (x) =
e) f (x) = arcsin ln(1 − x),
.
h) f (x) = 31 x − 2,
18. Wyznacz dziedziny funkcji:
x
,
a) f (x) = arccos x+2
3
)
2
d) f (x) = 2x2 + 2,
k) f (x) = 8x3 − 4,
ln(3x − 2) + 2,
√
ex/2−7 ,