Tekstury

Transkrypt

Tekstury
Tekstury
1. Omówienie okna edytora materiałów:
- Sample Slots (okienka próbek) – postać dużych kwadratów umieszczonych w
górnej części okna. W każdym okienku znajduje się próbka obiektu.
Domyślnym kształtem obiektu jest sfera, lecz można wybrać także inne
obiekty. W danej chwili oże być aktywne tylko jedno okienko próbki.
- Rollout panel (panel rolet) – wyświetla parametry definiujące wygląd
materiału. Panel ten zmienia się aby uwidocznić bieżące zmiany i operacje
- Material Editor Toolbar (przyciski narzędzi edytora) – udostępniają narzędzia
edytora . Niektóre wpływają tylko na sposób prezentacji danych w edytorze
materiałów, a nie na materiały.
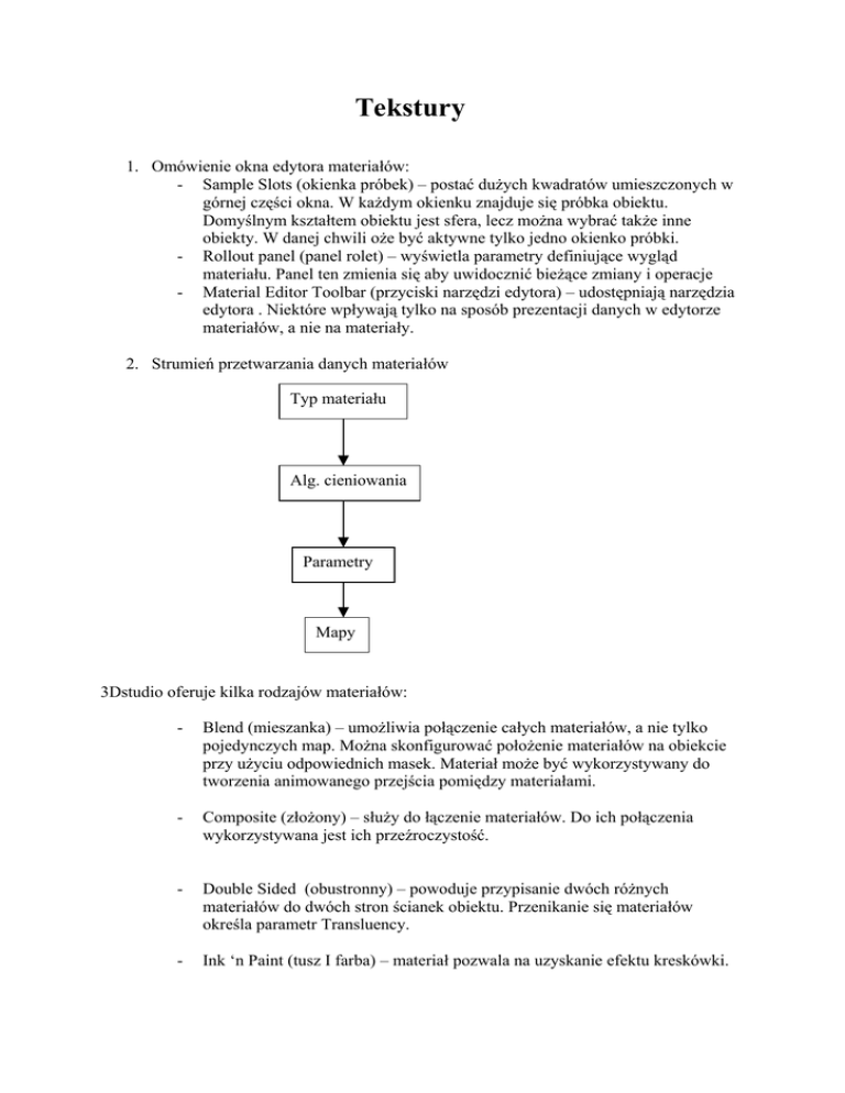
2. Strumień przetwarzania danych materiałów
Typ materiału
Alg. cieniowania
Parametry
Mapy
3Dstudio oferuje kilka rodzajów materiałów:
-
Blend (mieszanka) – umożliwia połączenie całych materiałów, a nie tylko
pojedynczych map. Można skonfigurować położenie materiałów na obiekcie
przy użyciu odpowiednich masek. Materiał może być wykorzystywany do
tworzenia animowanego przejścia pomiędzy materiałami.
-
Composite (złożony) – służy do łączenie materiałów. Do ich połączenia
wykorzystywana jest ich przeźroczystość.
-
Double Sided (obustronny) – powoduje przypisanie dwóch różnych
materiałów do dwóch stron ścianek obiektu. Przenikanie się materiałów
określa parametr Transluency.
-
Ink ‘n Paint (tusz I farba) – materiał pozwala na uzyskanie efektu kreskówki.
-
Anisotropic (anizotropowy) – tworzy odblaski o owalnym niejednorodnym
kształcie
-
Matte/shadow
Morpher – materiał umożliwa stosowanie modyfikatoa morpher dla tekstury
-
Multi/Sub-Object – pozwla na przypisanie kilku materiałów do jednego
obiektu, przy pomocy kanłó mapowania.
.
-
Raytrace – materiał generowany jest przy użyciu metody śledzenia promieni
-
Top/Bottom – przypisuje materiały do przeciwnych stron obiektu korzystając z
osi lokalnego lub globalnego układu współrzędnych
Shellac – materiał nasladuje grubą pokrywę lakieru lub farby. Skłąda się z 2
materiałów składowych. W efekcie końcowym jasność obu zostaje
zsumowana.
Każdy z tych materiałów charakteryzuje się różnymi parametrami
Cieniowanie jest procesem renderingu geometrii, odzwierciedlający sposób w jaki oddziałują
na nią światła zdefiniowane na scenie. Zatem wybór algorytmu cieniowania określa sposób
renderowania geometrii przynoszący określone efekty wizualne. Wybór algorytmu ma
znaczny wpływ na wygląd materiału podczas renderowania. W 3D Studio dostępne są
następujące algorytmy cieniowania:
- Phonga – powierzchnia pastiku
- Straussa – powierzchnie metaliczne
- Anisotropic (nieidnetyczny we wszystkich kierunkach) - tworzy odblaski
o niejednorodnym kształcieowalnym kształcie.
- Metal- Multi-Layer- oferuje dwie oddzielne warstwy odblasków , w których kolor
i kształt można definiować niezależnie
- Oren-Nayar-Blinn
- Translucent Shader- pozwala na uzyskanie materiałów, które częściowo
przepuszczają światło (obiekty plastikowe, cienkie tkaniny)
Parametry materiałów służą do osiągnięcia zamierzonych efektów. Definiują one barwę,
przeźroczystość, połyskliwość oraz wiele innych cech materiału. Podstawowe parametry
umieszczane są w rolecie odpowiadającej za parametry algorytmu cieniowania. Nazwa rolety
parametrów zmienia się w zależności od wybranego algorytmu cieniowania. Ponieważ
poszczególne algorytmy znacznie się od siebie różnią, również parametry dla tych
algorytmów będą różne, w zależności od wybranego algorytmu cieniowania
Niektóre parametry są wspólne dla większości algorytmów. Należy do nich parametr Diffuse,
który określa kolor bezpośrednio oświetlonego materiału.,
Ostatnim elementem są mapy, których zadaniem jest zróżnicowanie parametrów materiału.
Najprostszym przykładem zastosowania mapy jest umieszczenie na obiekcie wzoru lub
obrazu, który naśladuje zmianę barw na jego powierzchni. Taką mapę nazywa się textura
(texture map), choć bardziej precyzyjnym określeniem jest mapa rozpraszania. Mapy
definiowane są w rolecie Maps Edytora Materiałów.
Procedura pracy z Edytorem Materiałów.
1. Wybieramy okno próbki.
2. Określamy wartości w roletach edytora materiałów aby zdefiniować materiał. Należy
obserwować próbkę, aby kontrolować zmiany w wyglądzie materiału
3. Gdy stwierdzimy że wygląd textury jest odpowiedni, należy przypisać ją do obiektu.
4. Należy wyrenderować scenę aby przekonać się jak prezentuje się na niej materiał.
5. W razie potrzeby zmian parametrów, należy wrócić do edytora materiałów i dokonać
odpowiednich zmian.
Ćwiczenia.
1. Tworzenie prostego materiału
1. W oknie Top tworzymy czajniczek. Tworzymy dwie kopie czajniczka i umieszczamy je
z prawej strony oryginału. (wykorzystanie narzędzia Select and Move. Opcja Copy
i ilość 2).
2.otwieramy edytor materiałów korzystając z przycisku w zakładce Main Tolbar, lub
Rendering/Material Editor.
3, Wybieramy okno próbki . W rolecie Blinn Basic Parameters wybieramy próbnik koloru
parametru Diffuse. Należy otworzyć okno wyboru kolorów (Color selector). Zmieniamy
barwę na jaskrawożółtą, zwiększając wartości Red i Green
4.Przypisujemy pierwszą próbkę do pierwszego czjniczka.
5. Klikamy inne okno próbki i w tej samej rolecie dla wartości Diffuse wybieramy kolor
jasnoniebieski. Przypisujemy materiał do drugiego czajniczka.
6, Dla trzeciego czajniczka wybieramy kolor jaskrawoczerwony
7. Pracę należy zapisac..
2. Nazywanie Materiałów
1. Plik który został zapisany, należy otworzyć.
2. Otwieramy edytor materiałów ,zaznaczamy okno z próbką dla pierwszego czajniczka.
W polu nazwy podświetlamy istniejące określenie materiału i wpisujemy własną
nazwę. Po wpisaniu nazwy wciskamy klawisz Enter.
3. To samo robimy dla pozostałych czajniczków.
4. Zapisujemy plik.
3. Połyskliwość
1. Dla tego samego pliku przechodzimy do edytora materiałów.
2. Zmieniając dla każdej z próbek parametry wypolerowania (Glossines) oraz stopnia
połyskliwości (Specular Level) dla każdego z czajniczków, należy obserwować zmiany
w wyglądzie tekstury. Należy sprawdzić następujące kombinacje.
Specular Level
60
20
0
80
100
Glossines
20
60
80
0
40
3. Należy ustawić różne wartości parametru Specular I Glossines dla każdego z
czajniczków.
4. Wyrenderować scenę. Zauważyć różnice w wyglądzie poszczególnych czajniczków.
4. Parametry Dodatkowe.
1.Korzystająć z dotychczasowego piku, przechodzimy do edytora materiałów.Wybieramy
okno z próbką dla niebieskiego czajniczka
2. W rolecie Shader Basic parameters zaznaczamy pole wyboru Wire. W oknie Perspective
czajniczek będzie wyświetlany jako siatka.
3. Wyrenderować widok Perspective. Niebieski czajniczek zostanie wyrenderowany w postaci
siatki.
4. Otworzyć rolete Extended Parameters. Zwiększyć paramwetr rozmiaru Wir do 3.0
5. Wyrenderowac obraz. Siatka jest teraz grubsza
6. W rolecie Shader Basic parametrs zaznaczyć pole wybory 2-Sided. Wyrenderować okno
Perspective. Została wyrenderowna pozostała część siatki czajniczka.
7. Wybrać okno z materiałem żółtego czajniczka. W rolecie Blinn Basic.. w częsci
oznaczonej Self-Illumination zmienić wartość parametru na 80. Parametr ten powoduje
samoświecenie materiału.
8. Wybrac okno próbki zawierające materiał czaerwonego czjniczka. W rolecie Shader
Basic Parameters zaznaczyć pole wyboru Faced. Próbka przybieże kanciasty wygląd ,
podobnie jak czajniczek w oknie widoku. Wyrenderować okno Perspective.
9. Zapisac plik.
Pwyższe ćwiczenia wykonać dla wszystkich dostępnych szaderów. Porównać wyrenderowane
sceny. Proszę zwrócić uwagę na różnice w odblaskach.
5. korzystanie z materiału typu Blend.
Przy pomocy materiału typu blend Wykonać teksturę dla jabłka. Proszę uzyskać efekt bliski
poniższemu
Rys 1. Materiał blend użyty do wykonania tekstury jabłka
6. korzystanie z materiału typu Composite
Przy pomocy materiału typu Composite wykonać teksturę kul bilardowych, oraz podłogi z
odbijającymi się przedmiotami.
Rys.2 Wykorzystanie materiału Composite do otrzymania efektów odbicia
7. Korzystanie z materiały typu Raytraced
Przy pomocy materiały typu Raytraced wykonać materiały dla następujących obiektów:
szklanka, szyba, lustro
Rys 3. Materiały typu Raytraced.
8. Korzystanie z materiału Muti/Sub-Oject
Korzystając z materiału typu Multi/Sub-Object, wykonać texturę dla piłki plażowej.
Rzy wykonywaniu textury, należy skorzystać z kanałów mapowania ID Channel w
następujący sposób
ID Channel
Powierzchnia
Barwa
Rys 4. Wykorystanie materiału Multi/Sub-Object do otrzymania zróżnicowanej textury na
obiekcie