Informacja IV kw 2016

Transkrypt

Informacja IV kw 2016
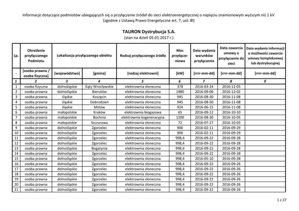
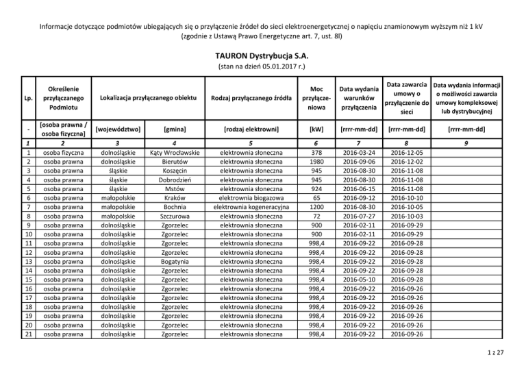
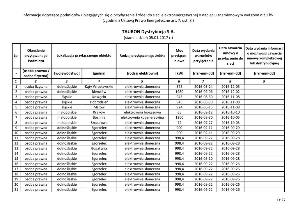
Informacje dotyczące podmiotów ubiegających się o przyłączenie źródeł do sieci elektroenergetycznej o napięciu znamionowym wyższym niż 1 kV
(zgodnie z Ustawą Prawo Energetyczne art. 7, ust. 8l)
TAURON Dystrybucja S.A.
(stan na dzień 05.01.2017 r.)
Lp.
1
1
2
3
4
5
6
7
8
9
10
11
12
13
14
15
16
17
18
19
20
21
Określenie
przyłączanego
Podmiotu
[osoba prawna /
osoba fizyczna]
2
osoba fizyczna
osoba prawna
osoba prawna
osoba prawna
osoba prawna
osoba prawna
osoba prawna
osoba prawna
osoba prawna
osoba prawna
osoba prawna
osoba prawna
osoba prawna
osoba prawna
osoba prawna
osoba prawna
osoba prawna
osoba prawna
osoba prawna
osoba prawna
osoba prawna
Lokalizacja przyłączanego obiektu
Rodzaj przyłączanego źródła
Moc
przyłączeniowa
Data zawarcia Data wydania informacji
Data wydania
umowy o
o możliwości zawarcia
warunków
umowy
kompleksowej
przyłączenie do
przyłączenia
lub dystrybucyjnej
sieci
[województwo]
[gmina]
[rodzaj elektrowni]
[kW]
[rrrr-mm-dd]
[rrrr-mm-dd]
[rrrr-mm-dd]
3
dolnośląskie
dolnośląskie
śląskie
śląskie
śląskie
małopolskie
małopolskie
małopolskie
dolnośląskie
dolnośląskie
dolnośląskie
dolnośląskie
dolnośląskie
dolnośląskie
dolnośląskie
dolnośląskie
dolnośląskie
dolnośląskie
dolnośląskie
dolnośląskie
dolnośląskie
4
Kąty Wrocławskie
Bierutów
Koszęcin
Dobrodzień
Mstów
Kraków
Bochnia
Szczurowa
Zgorzelec
Zgorzelec
Zgorzelec
Zgorzelec
Bogatynia
Zgorzelec
Zgorzelec
Zgorzelec
Zgorzelec
Zgorzelec
Zgorzelec
Zgorzelec
Zgorzelec
5
elektrownia słoneczna
elektrownia słoneczna
elektrownia słoneczna
elektrownia słoneczna
elektrownia słoneczna
elektrownia biogazowa
elektrownia kogeneracyjna
elektrownia słoneczna
elektrownia słoneczna
elektrownia słoneczna
elektrownia słoneczna
elektrownia słoneczna
elektrownia słoneczna
elektrownia słoneczna
elektrownia słoneczna
elektrownia słoneczna
elektrownia słoneczna
elektrownia słoneczna
elektrownia słoneczna
elektrownia słoneczna
elektrownia słoneczna
6
378
1980
945
945
924
65
1200
72
900
900
998,4
998,4
998,4
998,4
998,4
998,4
998,4
998,4
998,4
998,4
998,4
7
2016-03-24
2016-09-06
2016-08-30
2016-08-30
2016-06-15
2016-09-12
2016-08-30
2016-07-27
2016-02-11
2016-02-11
2016-09-22
2016-09-22
2016-09-22
2016-09-22
2016-05-10
2016-09-22
2016-09-22
2016-09-22
2016-09-22
2016-09-22
2016-09-22
8
2016-12-05
2016-12-02
2016-11-08
2016-11-08
2016-11-08
2016-10-10
2016-10-05
2016-10-03
2016-09-29
2016-09-29
2016-09-28
2016-09-28
2016-09-28
2016-09-28
2016-09-28
2016-09-26
2016-09-26
2016-09-26
2016-09-26
2016-09-26
2016-09-26
9
1 z 27
Informacje dotyczące podmiotów ubiegających się o przyłączenie źródeł do sieci elektroenergetycznej o napięciu znamionowym wyższym niż 1 kV
(zgodnie z Ustawą Prawo Energetyczne art. 7, ust. 8l)
TAURON Dystrybucja S.A.
(stan na dzień 05.01.2017 r.)
Lp.
Określenie
przyłączanego
Podmiotu
Lokalizacja przyłączanego obiektu
1
22
23
24
25
26
27
28
29
30
31
32
[osoba prawna /
osoba fizyczna]
2
osoba prawna
osoba prawna
osoba prawna
osoba prawna
osoba prawna
osoba prawna
osoba prawna
osoba prawna
osoba prawna
osoba prawna
osoba prawna
33
osoba prawna
małopolskie
Kraków
34
35
36
37
38
39
40
41
osoba prawna
osoba prawna
osoba prawna
osoba prawna
osoba prawna
osoba prawna
osoba prawna
osoba prawna
dolnośląskie
dolnośląskie
śląskie
śląskie
dolnośląskie
dolnośląskie
dolnośląskie
podkarpackie
Bogatynia
Legnica
Tychy
Konopiska
Złotoryja
Bogatynia
Oleśnica
Żyraków
-
Rodzaj przyłączanego źródła
Moc
przyłączeniowa
Data zawarcia Data wydania informacji
Data wydania
umowy o
o możliwości zawarcia
warunków
umowy
kompleksowej
przyłączenie do
przyłączenia
lub dystrybucyjnej
sieci
[województwo]
[gmina]
[rodzaj elektrowni]
[kW]
[rrrr-mm-dd]
[rrrr-mm-dd]
[rrrr-mm-dd]
3
dolnośląskie
dolnośląskie
dolnośląskie
dolnośląskie
dolnośląskie
dolnośląskie
dolnośląskie
dolnośląskie
dolnośląskie
dolnośląskie
dolnośląskie
4
Zgorzelec
Zgorzelec
Bogatynia
Zgorzelec
Bogatynia
Zgorzelec
Zgorzelec
Zgorzelec
Zgorzelec
Chocianów
Radwanice
5
elektrownia słoneczna
elektrownia słoneczna
elektrownia słoneczna
elektrownia słoneczna
elektrownia słoneczna
elektrownia słoneczna
elektrownia słoneczna
elektrownia słoneczna
elektrownia słoneczna
elektrownia biogazowa
elektrownia słoneczna
elektrownia wodna
przepływowa
elektrownia wiatrowa
elektrownia słoneczna
elektrownia kogeneracyjna
elektrownia wiatrowa
elektrownia słoneczna
elektrownia słoneczna
elektrownia słoneczna
elektrownia słoneczna
6
998,4
998,4
998,4
998,4
998,4
998,4
998,4
998,4
998,4
500
999,6
7
2016-09-22
2016-05-11
2016-05-11
2016-05-11
2016-05-11
2016-05-11
2016-05-11
2016-05-10
2016-05-10
2016-04-04
2014-10-13
8
2016-09-26
2016-09-26
2016-09-26
2016-09-26
2016-09-26
2016-09-26
2016-09-26
2016-09-26
2016-09-26
2016-09-26
2016-09-19
9
80
2016-08-25
2016-09-15
2000
490,68
630
800
1000
17971
1980
1000
2014-07-15
2016-06-13
2016-05-12
2016-04-15
2016-03-21
2016-06-02
2016-06-15
2014-06-11
2016-09-06
2016-08-31
2016-08-29
2016-08-22
2016-08-19
2016-08-16
2016-07-29
2016-07-19
2 z 27
Informacje dotyczące podmiotów ubiegających się o przyłączenie źródeł do sieci elektroenergetycznej o napięciu znamionowym wyższym niż 1 kV
(zgodnie z Ustawą Prawo Energetyczne art. 7, ust. 8l)
TAURON Dystrybucja S.A.
(stan na dzień 05.01.2017 r.)
Lp.
Określenie
przyłączanego
Podmiotu
Lokalizacja przyłączanego obiektu
Rodzaj przyłączanego źródła
Moc
przyłączeniowa
Data zawarcia Data wydania informacji
Data wydania
umowy o
o możliwości zawarcia
warunków
umowy
kompleksowej
przyłączenie do
przyłączenia
lub dystrybucyjnej
sieci
1
42
43
44
45
[osoba prawna /
osoba fizyczna]
2
osoba prawna
osoba prawna
osoba prawna
osoba prawna
46
osoba prawna
dolnośląskie
47
48
49
50
51
52
osoba prawna
osoba prawna
osoba prawna
osoba prawna
osoba prawna
osoba prawna
śląskie
opolskie
śląskie
śląskie
małopolskie
dolnośląskie
4
Prusice
Ząbkowice Śląskie
Praszka
Trzebnica
Kamieniec
Ząbkowicki
Koszęcin
Dobrodzień
Koszęcin
Blachownia
Ryglice
Bogatynia
53
osoba prawna
małopolskie
Wieliczka
54
osoba prawna
małopolskie
Wieliczka
55
osoba prawna
osoba fizyczna z
koncesją
osoba prawna
osoba prawna
dolnośląskie
Bierutów
elektrownia słoneczna
elektrownia słoneczna
elektrownia słoneczna
elektrownia słoneczna
elektrownia słoneczna
elektrownia wiatrowa
elektrownia wodna
przepływowa
elektrownia wodna
przepływowa
elektrownia słoneczna
śląskie
Kłobuck
elektrownia wiatrowa
1000
2014-04-14
2016-05-04
podkarpackie
opolskie
Jodłowa
Niemodlin
elektrownia słoneczna
elektrownia słoneczna
570
600
2014-03-03
2014-03-26
2016-04-25
2016-04-14
-
56
57
58
[województwo]
[gmina]
[rodzaj elektrowni]
[kW]
[rrrr-mm-dd]
[rrrr-mm-dd]
[rrrr-mm-dd]
3
dolnośląskie
dolnośląskie
opolskie
dolnośląskie
5
elektrownia słoneczna
elektrownia słoneczna
elektrownia biogazowa
elektrownia słoneczna
6
90
10000
1544
4000
7
2016-05-09
2016-03-29
2014-06-13
2016-01-13
8
2016-07-18
2016-07-13
2016-06-10
2016-06-03
9
elektrownia słoneczna
1000
2016-02-25
2016-05-24
945
945
1750
1850
1000
2000
2014-07-04
2014-07-04
2014-04-14
2014-04-10
2016-04-21
2014-04-23
2016-05-24
2016-05-24
2016-05-24
2016-05-24
2016-05-23
2016-05-17
560
2014-09-22
2016-05-06
560
2014-09-22
2016-05-06
500
2015-07-28
2016-05-05
3 z 27
Informacje dotyczące podmiotów ubiegających się o przyłączenie źródeł do sieci elektroenergetycznej o napięciu znamionowym wyższym niż 1 kV
(zgodnie z Ustawą Prawo Energetyczne art. 7, ust. 8l)
TAURON Dystrybucja S.A.
(stan na dzień 05.01.2017 r.)
Lp.
Określenie
przyłączanego
Podmiotu
Lokalizacja przyłączanego obiektu
Rodzaj przyłączanego źródła
Moc
przyłączeniowa
Data zawarcia Data wydania informacji
Data wydania
umowy o
o możliwości zawarcia
warunków
umowy
kompleksowej
przyłączenie do
przyłączenia
lub dystrybucyjnej
sieci
1
59
60
61
62
[osoba prawna /
osoba fizyczna]
2
osoba prawna
osoba prawna
osoba prawna
osoba prawna
63
osoba prawna
małopolskie
Dąbrowa Tarnowska
elektrownia słoneczna
800
2015-05-07
2016-03-31
64
65
66
67
68
69
70
71
72
73
74
osoba fizyczna
osoba prawna
osoba prawna
osoba prawna
osoba prawna
osoba prawna
osoba prawna
osoba prawna
osoba prawna
osoba prawna
osoba prawna
osoba fizyczna z
koncesją
osoba prawna
osoba prawna
opolskie
dolnośląskie
opolskie
małopolskie
dolnośląskie
opolskie
małopolskie
śląskie
opolskie
dolnośląskie
opolskie
Kolonowskie
Olszyna
Olszanka
Jabłonka
Gromadka
Prószków
Nowy Sącz
Knurów
Strzeleczki
Gromadka
Rudniki
elektrownia słoneczna
elektrownia słoneczna
elektrownia słoneczna
elektrownia słoneczna
elektrownia słoneczna
elektrownia słoneczna
elektrownia słoneczna
elektrownia słoneczna
elektrownia słoneczna
elektrownia wiatrowa
elektrownia słoneczna
1000
3600
884
160
1900
999
2000
340
2000
5000
649
2014-01-23
2015-09-11
2015-12-11
2016-01-26
2015-06-17
2015-11-04
2016-01-08
2015-12-10
2013-10-02
2011-12-09
2013-11-22
2016-03-17
2016-03-15
2016-03-11
2016-02-12
2016-02-10
2016-02-09
2016-02-08
2016-01-29
2016-01-21
2016-01-21
2016-01-12
świętokrzyskie
Moskorzew
elektrownia słoneczna
567
2013-10-08
2016-01-12
dolnośląskie
dolnośląskie
Jelenia Góra
Zgorzelec
elektrownia słoneczna
elektrownia słoneczna
7800
7400
2015-07-10
2013-08-09
2016-01-07
2016-01-07
-
75
76
77
[województwo]
[gmina]
[rodzaj elektrowni]
[kW]
[rrrr-mm-dd]
[rrrr-mm-dd]
[rrrr-mm-dd]
3
dolnośląskie
dolnośląskie
dolnośląskie
dolnośląskie
4
Radwanice
Legnickie Pole
Legnickie Pole
Legnickie Pole
5
elektrownia słoneczna
elektrownia wiatrowa
elektrownia wiatrowa
elektrownia wiatrowa
6
1000
1000
1000
1000
7
2014-03-26
2016-01-18
2016-01-15
2016-01-12
8
2016-04-12
2016-04-04
2016-04-04
2016-04-04
9
4 z 27
Informacje dotyczące podmiotów ubiegających się o przyłączenie źródeł do sieci elektroenergetycznej o napięciu znamionowym wyższym niż 1 kV
(zgodnie z Ustawą Prawo Energetyczne art. 7, ust. 8l)
TAURON Dystrybucja S.A.
(stan na dzień 05.01.2017 r.)
Lp.
Określenie
przyłączanego
Podmiotu
Lokalizacja przyłączanego obiektu
85
86
87
88
[osoba prawna /
osoba fizyczna]
2
osoba prawna
osoba fizyczna
osoba prawna
osoba prawna
osoba fizyczna
osoba fizyczna
osoba fizyczna z
koncesją
osoba prawna
osoba prawna
osoba prawna
osoba prawna
89
osoba prawna
dolnośląskie
90
91
92
93
94
95
96
osoba prawna
osoba prawna
osoba prawna
osoba prawna
osoba prawna
osoba prawna
osoba fizyczna
małopolskie
dolnośląskie
dolnośląskie
dolnośląskie
dolnośląskie
dolnośląskie
dolnośląskie
1
78
79
80
81
82
83
84
Rodzaj przyłączanego źródła
Moc
przyłączeniowa
Data zawarcia Data wydania informacji
Data wydania
umowy o
o możliwości zawarcia
warunków
umowy
kompleksowej
przyłączenie do
przyłączenia
lub dystrybucyjnej
sieci
[województwo]
[gmina]
[rodzaj elektrowni]
[kW]
[rrrr-mm-dd]
[rrrr-mm-dd]
[rrrr-mm-dd]
3
dolnośląskie
dolnośląskie
małopolskie
dolnośląskie
dolnośląskie
dolnośląskie
4
Kamienna Góra
Pieńsk
Żabno
Kunice
Domaniów
Domaniów
5
elektrownia wiatrowa
elektrownia słoneczna
elektrownia słoneczna
elektrownia słoneczna
elektrownia słoneczna
elektrownia słoneczna
6
2500
1098
999
1000
1000
1000
7
2015-12-23
2015-07-13
2015-08-19
2015-10-06
2015-04-24
2015-04-24
8
2015-12-28
2015-12-22
2015-12-21
2015-12-14
2015-12-02
2015-12-02
9
śląskie
Koniecpol
elektrownia wiatrowa
500
2015-04-09
2015-11-30
dolnośląskie
dolnośląskie
dolnośląskie
dolnośląskie
Złotoryja
Bystrzyca Kłodzka
Milicz
Jelenia Góra
Warta
Bolesławiecka
Andrychów
Legnica
Głogów
Gromadka
Chojnów
Chojnów
Legnica
elektrownia słoneczna
elektrownia słoneczna
elektrownia słoneczna
elektrownia słoneczna
600
600
1000
10000
2015-07-30
2014-11-24
2014-03-10
2013-08-13
2015-11-19
2015-11-10
2015-11-03
2015-11-02
elektrownia wiatrowa
4875
2015-07-22
2015-10-28
elektrownia gazowa
elektrownia słoneczna
elektrownia słoneczna
elektrownia słoneczna
elektrownia słoneczna
elektrownia słoneczna
elektrownia słoneczna
5400
950
950
990
950
1900
900
2015-07-16
2014-04-09
2014-03-27
2013-12-17
2013-12-02
2013-11-29
2015-07-27
2015-10-27
2015-10-27
2015-10-27
2015-10-27
2015-10-27
2015-10-27
2015-10-26
5 z 27
Informacje dotyczące podmiotów ubiegających się o przyłączenie źródeł do sieci elektroenergetycznej o napięciu znamionowym wyższym niż 1 kV
(zgodnie z Ustawą Prawo Energetyczne art. 7, ust. 8l)
TAURON Dystrybucja S.A.
(stan na dzień 05.01.2017 r.)
Lp.
Określenie
przyłączanego
Podmiotu
Lokalizacja przyłączanego obiektu
1
97
98
99
[osoba prawna /
osoba fizyczna]
2
osoba prawna
osoba prawna
osoba prawna
100
osoba prawna
opolskie
Kolonowskie
101
102
103
104
105
106
107
108
109
110
111
112
113
114
115
116
osoba prawna
osoba prawna
osoba prawna
osoba prawna
osoba prawna
osoba prawna
osoba prawna
osoba prawna
osoba prawna
osoba prawna
osoba prawna
osoba prawna
osoba prawna
osoba prawna
osoba prawna
osoba prawna
opolskie
opolskie
małopolskie
śląskie
śląskie
małopolskie
małopolskie
małopolskie
małopolskie
opolskie
dolnośląskie
dolnośląskie
dolnośląskie
dolnośląskie
dolnośląskie
dolnośląskie
Krapkowice
Krapkowice
Nowy Targ
Bielsko-Biała
Gliwice
Bobowa
Bobowa
Bobowa
Wieprz
Grodków
Bystrzyca Kłodzka
Bystrzyca Kłodzka
Bystrzyca Kłodzka
Bystrzyca Kłodzka
Bystrzyca Kłodzka
Bystrzyca Kłodzka
-
Rodzaj przyłączanego źródła
Moc
przyłączeniowa
Data zawarcia Data wydania informacji
Data wydania
umowy o
o możliwości zawarcia
warunków
umowy
kompleksowej
przyłączenie do
przyłączenia
lub dystrybucyjnej
sieci
[województwo]
[gmina]
[rodzaj elektrowni]
[kW]
[rrrr-mm-dd]
[rrrr-mm-dd]
[rrrr-mm-dd]
3
dolnośląskie
opolskie
śląskie
4
Radwanice
Polska Cerekiew
Żywiec
5
elektrownia słoneczna
elektrownia wiatrowa
elektrownia biogazowa
elektrownia wodna
przepływowa
elektrownia wiatrowa
elektrownia wiatrowa
elektrownia słoneczna
elektrownia biogazowa
elektrownia słoneczna
elektrownia słoneczna
elektrownia słoneczna
elektrownia słoneczna
elektrownia wiatrowa
elektrownia wiatrowa
elektrownia słoneczna
elektrownia słoneczna
elektrownia słoneczna
elektrownia słoneczna
elektrownia słoneczna
elektrownia słoneczna
6
995,4
1000
1400
7
2013-10-29
2015-09-01
2015-03-09
8
2015-10-23
2015-10-15
2015-10-14
9
140
2015-08-07
2015-10-06
3300
3300
6
1150
500
3270
3270
3270
10000
3000
999,5
998,9
999
999,5
999,5
499,5
2014-12-04
2014-02-12
2015-03-03
2015-09-17
2015-06-10
2015-07-02
2015-07-02
2015-07-02
2013-06-12
2016-03-14
2015-06-24
2015-06-18
2015-06-10
2015-06-03
2015-05-13
2015-05-12
2015-10-05
2015-10-05
2015-09-28
2015-09-24
2015-09-21
2015-09-15
2015-09-15
2015-09-15
2015-09-10
2015-09-02
2015-08-07
2015-08-07
2015-08-07
2015-08-07
2015-08-07
2015-08-07
6 z 27
Informacje dotyczące podmiotów ubiegających się o przyłączenie źródeł do sieci elektroenergetycznej o napięciu znamionowym wyższym niż 1 kV
(zgodnie z Ustawą Prawo Energetyczne art. 7, ust. 8l)
TAURON Dystrybucja S.A.
(stan na dzień 05.01.2017 r.)
Lp.
1
117
118
119
120
121
122
123
124
125
126
127
128
129
130
131
132
133
134
135
136
137
Określenie
przyłączanego
Podmiotu
[osoba prawna /
osoba fizyczna]
2
osoba prawna
osoba fizyczna
osoba prawna
osoba prawna
osoba prawna
osoba prawna
osoba prawna
osoba prawna
osoba fizyczna
osoba fizyczna
osoba fizyczna
osoba prawna
osoba prawna
osoba prawna
osoba prawna
osoba prawna
osoba prawna
osoba prawna
osoba prawna
osoba prawna
osoba prawna
Lokalizacja przyłączanego obiektu
Rodzaj przyłączanego źródła
Moc
przyłączeniowa
Data zawarcia Data wydania informacji
Data wydania
umowy o
o możliwości zawarcia
warunków
umowy
kompleksowej
przyłączenie do
przyłączenia
lub dystrybucyjnej
sieci
[województwo]
[gmina]
[rodzaj elektrowni]
[kW]
[rrrr-mm-dd]
[rrrr-mm-dd]
[rrrr-mm-dd]
3
dolnośląskie
dolnośląskie
dolnośląskie
śląskie
śląskie
dolnośląskie
dolnośląskie
śląskie
śląskie
dolnośląskie
dolnośląskie
opolskie
dolnośląskie
podkarpackie
podkarpackie
podkarpackie
śląskie
śląskie
śląskie
świętokrzyskie
opolskie
4
Czernica
Oława
Rudna
Gliwice
Świerklany
Prusice
Rudna
Konopiska
Ruda Śląska
Trzebnica
Trzebnica
Popielów
Paszowice
Szczurowa
Ryglice
Borzęcin
Tychy
Lędziny
Racibórz
Moskorzew
Niemodlin
5
elektrownia słoneczna
elektrownia wiatrowa
elektrownia słoneczna
elektrociepłownia
elektrownia gazowa
elektrownia słoneczna
elektrownia słoneczna
elektrownia wiatrowa
elektrownia słoneczna
elektrownia słoneczna
elektrownia słoneczna
elektrownia słoneczna
elektrownia biogazowa
elektrownia słoneczna
elektrownia słoneczna
elektrownia słoneczna
elektrownia słoneczna
elektrownia słoneczna
elektrownia słoneczna
elektrownia słoneczna
elektrownia słoneczna
6
1000
15000
1000
1500
3000
1000
600
600
1300
1980
1980
750
999
1500
1500
1500
1250
495
1000
800
1900
7
2015-06-03
2015-06-30
2015-02-24
2015-05-27
2015-05-11
2014-08-21
2013-05-08
2014-10-22
2015-03-30
2013-06-27
2013-06-26
2013-12-12
2015-01-27
2013-03-21
2013-03-20
2013-03-21
2015-02-11
2014-11-19
2014-11-19
2013-10-31
2015-01-13
8
2015-08-05
2015-07-27
2015-07-15
2015-07-10
2015-06-18
2015-06-12
2015-06-10
2015-06-02
2015-05-28
2015-05-19
2015-05-19
2015-05-05
2015-05-04
2015-04-16
2015-04-16
2015-04-07
2015-04-02
2015-04-02
2015-04-02
2015-04-01
2015-03-20
9
7 z 27
Informacje dotyczące podmiotów ubiegających się o przyłączenie źródeł do sieci elektroenergetycznej o napięciu znamionowym wyższym niż 1 kV
(zgodnie z Ustawą Prawo Energetyczne art. 7, ust. 8l)
TAURON Dystrybucja S.A.
(stan na dzień 05.01.2017 r.)
Lp.
Określenie
przyłączanego
Podmiotu
Lokalizacja przyłączanego obiektu
1
138
139
140
141
142
143
[osoba prawna /
osoba fizyczna]
2
osoba prawna
osoba prawna
osoba prawna
osoba prawna
osoba prawna
osoba prawna
144
osoba prawna
opolskie
Opole
145
146
147
148
149
osoba prawna
osoba prawna
osoba prawna
osoba prawna
osoba prawna
małopolskie
śląskie
opolskie
dolnośląskie
dolnośląskie
Bukowno
Mykanów
Praszka
Środa Śląska
Ciepłowody
150
osoba fizyczna
dolnośląskie
Lubań
151
osoba prawna
dolnośląskie
Pieńsk
152
osoba prawna
dolnośląskie
Piechowice
153
154
155
osoba prawna
osoba prawna
osoba prawna
dolnośląskie
dolnośląskie
dolnośląskie
Kobierzyce
Gromadka
Głogów
-
Rodzaj przyłączanego źródła
Moc
przyłączeniowa
Data zawarcia Data wydania informacji
Data wydania
umowy o
o możliwości zawarcia
warunków
umowy
kompleksowej
przyłączenie do
przyłączenia
lub dystrybucyjnej
sieci
[województwo]
[gmina]
[rodzaj elektrowni]
[kW]
[rrrr-mm-dd]
[rrrr-mm-dd]
[rrrr-mm-dd]
3
dolnośląskie
śląskie
opolskie
śląskie
opolskie
opolskie
4
Miękinia
Radlin
Rudniki
Pawonków
Biała
Głuchołazy
5
elektrownia słoneczna
elektrownia gazowa
elektrownia wiatrowa
elektrownia biogazowa
elektrownia wiatrowa
elektrownia słoneczna
elektrownia wodna
przepływowa
elektrownia gazowa
elektrownia wiatrowa
elektrownia słoneczna
elektrownia biogazowa
elektrownia wiatrowa
elektrownia wodna
przepływowa
elektrownia wiatrowa
elektrownia wodna
przepływowa
elektrownia gazowa
elektrownia wiatrowa
elektrownia słoneczna
6
1000
24000
60000
900
13800
1850
7
2013-02-27
2014-08-07
2013-03-27
2013-03-27
2012-09-28
2014-05-26
8
2015-03-20
2015-02-16
2015-01-28
2015-01-23
2015-01-09
2014-12-29
9
1700
2014-09-29
2014-12-22
30000
9000
700
999
75000
2012-12-10
2013-03-27
2013-10-31
2014-01-21
2012-11-06
2014-12-22
2014-12-17
2014-12-12
2014-12-11
2014-11-06
129
2013-07-03
2014-10-07
4000
2014-07-14
2014-09-29
1000
2014-06-13
2014-09-29
70
4000
950
2013-04-24
2012-10-15
2014-07-01
2014-09-24
2014-09-04
2014-08-20
8 z 27
Informacje dotyczące podmiotów ubiegających się o przyłączenie źródeł do sieci elektroenergetycznej o napięciu znamionowym wyższym niż 1 kV
(zgodnie z Ustawą Prawo Energetyczne art. 7, ust. 8l)
TAURON Dystrybucja S.A.
(stan na dzień 05.01.2017 r.)
Lp.
Określenie
przyłączanego
Podmiotu
Lokalizacja przyłączanego obiektu
1
[osoba prawna /
osoba fizyczna]
2
156
osoba prawna
dolnośląskie
Jeżów Sudecki
157
158
osoba prawna
osoba fizyczna
dolnośląskie
opolskie
Kostomłoty
Popielów
159
osoba prawna
opolskie
Zawadzkie
-
Rodzaj przyłączanego źródła
Moc
przyłączeniowa
Data zawarcia Data wydania informacji
Data wydania
umowy o
o możliwości zawarcia
warunków
umowy
kompleksowej
przyłączenie do
przyłączenia
lub dystrybucyjnej
sieci
[województwo]
[gmina]
[rodzaj elektrowni]
[kW]
[rrrr-mm-dd]
[rrrr-mm-dd]
[rrrr-mm-dd]
3
4
5
elektrownia wodna
przepływowa
elektrownia wiatrowa
elektrownia słoneczna
elektrownia wodna
przepływowa
6
7
8
9
3549
2012-08-24
2014-08-11
46800
561
2012-08-01
2013-11-04
2014-08-06
2014-07-31
86
2012-09-17
2014-07-31
śląskie
Mykanów
elektrownia wiatrowa
1800
2014-04-10
2014-07-28
161
osoba fizyczna z
koncesją
osoba prawna
dolnośląskie
Żukowice
1800
2012-12-13
2014-07-18
162
osoba prawna
małopolskie
Mucharz
4400
2012-11-19
2014-07-17
163
164
osoba prawna
osoba prawna
dolnośląskie
dolnośląskie
Boguszów-Gorce
Legnica
elektrownia biogazowa
elektrownia wodna
przepływowa
elektrownia słoneczna
elektrownia słoneczna
200
1000
2013-09-10
2014-05-06
2014-05-30
2014-05-19
165
osoba prawna
śląskie
Pietrowice Wielkie
elektrownia wiatrowa
2000
2014-03-26
2014-05-14
166
osoba prawna
śląskie
Pietrowice Wielkie
elektrownia wiatrowa
1500
2014-03-26
2014-05-14
167
osoba prawna
śląskie
Pietrowice Wielkie
elektrownia wiatrowa
1800
2014-03-26
2014-05-14
168
osoba prawna
śląskie
Pietrowice Wielkie
elektrownia wiatrowa
2000
2014-03-26
2014-05-14
160
9 z 27
Informacje dotyczące podmiotów ubiegających się o przyłączenie źródeł do sieci elektroenergetycznej o napięciu znamionowym wyższym niż 1 kV
(zgodnie z Ustawą Prawo Energetyczne art. 7, ust. 8l)
TAURON Dystrybucja S.A.
(stan na dzień 05.01.2017 r.)
Lp.
Określenie
przyłączanego
Podmiotu
Lokalizacja przyłączanego obiektu
Rodzaj przyłączanego źródła
Moc
przyłączeniowa
Data zawarcia Data wydania informacji
Data wydania
umowy o
o możliwości zawarcia
warunków
umowy
kompleksowej
przyłączenie do
przyłączenia
lub dystrybucyjnej
sieci
1
[osoba prawna /
osoba fizyczna]
2
169
osoba prawna
śląskie
Pietrowice Wielkie
elektrownia wiatrowa
2000
2014-03-26
2014-05-14
170
osoba prawna
śląskie
Pietrowice Wielkie
elektrownia wiatrowa
2000
2014-03-26
2014-05-14
171
osoba prawna
śląskie
Jastrzębie-Zdrój
104000
2013-05-15
2014-04-18
172
osoba prawna
opolskie
Popielów
1200
2013-05-09
2014-02-19
173
174
175
176
osoba prawna
osoba prawna
osoba prawna
osoba prawna
dolnośląskie
śląskie
małopolskie
śląskie
150
2000
4000
3000
2013-09-12
2013-12-13
2013-10-04
2012-03-30
2014-02-11
2014-01-28
2014-01-27
2014-01-27
177
osoba prawna
śląskie
elektrownia słoneczna
86
2013-10-28
2014-01-16
178
179
180
181
182
183
184
185
osoba prawna
osoba prawna
osoba fizyczna
osoba prawna
osoba prawna
osoba fizyczna
osoba prawna
osoba prawna
podkarpackie
podkarpackie
opolskie
śląskie
opolskie
śląskie
podkarpackie
dolnośląskie
Miłkowice
Tychy
Kraków
Tychy
CzechowiceDziedzice
Gnojnik
Żyraków
Toszek
Gliwice
Reńska Wieś
Hażlach
Brzostek
Oborniki Śląskie
elektrociepłownia
elektrownia wodna
przepływowa
elektrownia biogazowa
elektrownia biogazowa
elektrociepłownia
elektrociepłownia
elektrownia słoneczna
elektrownia słoneczna
elektrownia biogazowa
elektrownia biogazowa
elektrownia biogazowa
elektrownia słoneczna
elektrownia słoneczna
elektrownia wiatrowa
997
400
100
386
2400
100
99
8000
2013-06-03
2013-07-12
2012-09-28
2013-11-14
2011-10-19
2013-02-21
2013-08-30
2011-10-19
2014-01-16
2013-12-20
2013-12-19
2013-12-16
2013-11-22
2013-11-14
2013-11-08
2013-10-24
-
[województwo]
[gmina]
[rodzaj elektrowni]
[kW]
[rrrr-mm-dd]
[rrrr-mm-dd]
[rrrr-mm-dd]
3
4
5
6
7
8
9
10 z 27
Informacje dotyczące podmiotów ubiegających się o przyłączenie źródeł do sieci elektroenergetycznej o napięciu znamionowym wyższym niż 1 kV
(zgodnie z Ustawą Prawo Energetyczne art. 7, ust. 8l)
TAURON Dystrybucja S.A.
(stan na dzień 05.01.2017 r.)
Lp.
Określenie
przyłączanego
Podmiotu
[osoba prawna /
osoba fizyczna]
1
2
186 osoba prawna
187 osoba prawna
188 osoba prawna
-
Lokalizacja przyłączanego obiektu
Rodzaj przyłączanego źródła
Moc
przyłączeniowa
Data zawarcia Data wydania informacji
Data wydania
umowy o
o możliwości zawarcia
warunków
umowy
kompleksowej
przyłączenie do
przyłączenia
lub dystrybucyjnej
sieci
[województwo]
[gmina]
[rodzaj elektrowni]
[kW]
[rrrr-mm-dd]
[rrrr-mm-dd]
[rrrr-mm-dd]
3
małopolskie
dolnośląskie
śląskie
4
Kraków
Oława
Jastrzębie-Zdrój
5
elektrownia biogazowa
elektrownia biogazowa
elektrownia gazowa
elektrownia wodna
przepływowa
elektrownia na biomasę
elektrownia słoneczna
elektrociepłownia
elektrownia słoneczna
elektrownia wodna
przepływowa
6
13690
800
20000
7
2013-04-15
2013-05-17
2013-07-24
8
2013-10-15
2013-10-10
2013-09-24
9
1600
2013-05-13
2013-09-23
31000
2100
2000
2000
2012-01-16
2013-07-09
2013-05-28
2013-06-17
2013-09-12
2013-08-29
2013-07-18
2013-07-10
150
2012-04-23
2013-07-09
elektrownia kogeneracyjna
834
2013-05-23
2013-06-19
elektrownia na biomasę
elektrownia na biomasę
elektrownia na biomasę
elektrownia wiatrowa
elektrownia wiatrowa
elektrownia słoneczna
elektrownia słoneczna
320
1000
6832
3300
45600
9
1950
2013-04-29
2013-04-29
2011-05-12
2011-04-28
2012-09-28
2013-03-11
2012-11-14
2013-06-13
2013-06-04
2013-05-10
2013-05-10
2013-05-09
2013-05-08
2013-04-24
189
osoba prawna
opolskie
Oława
190
191
192
193
osoba prawna
osoba prawna
osoba prawna
osoba prawna
dolnośląskie
śląskie
śląskie
śląskie
Wińsko
Gliwice
Marklowice
Gliwice
194
osoba fizyczna
dolnośląskie
Lubań
195
osoba prawna
śląskie
196
197
198
199
200
201
202
osoba prawna
osoba prawna
osoba prawna
osoba prawna
osoba prawna
osoba prawna
osoba prawna
śląskie
śląskie
dolnośląskie
dolnośląskie
opolskie
podkarpackie
śląskie
CzerwionkaLeszczyny
Pszczyna
Żory
Strzegom
Gromadka
Prudnik
Tarnów
Pyskowice
11 z 27
Informacje dotyczące podmiotów ubiegających się o przyłączenie źródeł do sieci elektroenergetycznej o napięciu znamionowym wyższym niż 1 kV
(zgodnie z Ustawą Prawo Energetyczne art. 7, ust. 8l)
TAURON Dystrybucja S.A.
(stan na dzień 05.01.2017 r.)
Lp.
Określenie
przyłączanego
Podmiotu
Lokalizacja przyłączanego obiektu
Rodzaj przyłączanego źródła
Moc
przyłączeniowa
Data zawarcia Data wydania informacji
Data wydania
umowy o
o możliwości zawarcia
warunków
umowy
kompleksowej
przyłączenie do
przyłączenia
lub dystrybucyjnej
sieci
204
205
206
207
[osoba prawna /
osoba fizyczna]
2
osoba fizyczna z
koncesją
osoba prawna
osoba prawna
osoba prawna
osoba prawna
208
osoba prawna
opolskie
Nysa
209
osoba prawna
śląskie
Pietrowice Wielkie
elektrownia wiatrowa
7000
2012-12-04
2013-01-16
210
211
212
213
214
215
osoba prawna
osoba prawna
osoba prawna
osoba prawna
osoba prawna
osoba prawna
śląskie
śląskie
śląskie
dolnośląskie
podkarpackie
śląskie
Kuźnia Raciborska
Ruda Śląska
Ruda Śląska
Udanin
Olesno
Krzanowice
100
640
500
57500
1000
80000
2012-11-29
2012-07-19
2012-07-19
2011-05-13
2012-06-20
2012-10-09
2013-01-08
2013-01-02
2013-01-02
2013-01-02
2012-12-31
2012-12-20
216
osoba prawna
dolnośląskie
Wleń
13264
2012-08-31
2012-12-13
217
218
219
osoba prawna
osoba prawna
osoba prawna
opolskie
dolnośląskie
śląskie
Grodków
Mściwojów
Bytom
elektrownia biogazowa
elektrownia gazowa
elektrownia gazowa
elektrownia wiatrowa
elektrownia biogazowa
elektrownia wiatrowa
elektrownia wodna
przepływowa
elektrownia wiatrowa
elektrownia wiatrowa
elektrociepłownia
50000
47500
2000
2011-12-20
2010-12-29
2012-09-20
2012-11-19
2012-11-19
2012-10-31
1
203
[województwo]
[gmina]
[rodzaj elektrowni]
[kW]
[rrrr-mm-dd]
[rrrr-mm-dd]
[rrrr-mm-dd]
3
4
5
6
7
8
9
śląskie
Kłobuck
elektrownia słoneczna
1500
2013-02-18
2013-04-19
dolnośląskie
śląskie
śląskie
dolnośląskie
Gromadka
Wielowieś
Kruszyna
Ruja
elektrownia wiatrowa
elektrownia wiatrowa
elektrownia wiatrowa
elektrownia wiatrowa
elektrownia wodna
przepływowa
63400
56000
15000
48000
2012-09-28
2012-10-09
2013-03-27
2011-02-01
2013-04-17
2013-04-03
2013-03-21
2013-01-31
3600
2012-04-27
2013-01-29
12 z 27
Informacje dotyczące podmiotów ubiegających się o przyłączenie źródeł do sieci elektroenergetycznej o napięciu znamionowym wyższym niż 1 kV
(zgodnie z Ustawą Prawo Energetyczne art. 7, ust. 8l)
TAURON Dystrybucja S.A.
(stan na dzień 05.01.2017 r.)
Lp.
Określenie
przyłączanego
Podmiotu
Lokalizacja przyłączanego obiektu
Rodzaj przyłączanego źródła
Moc
przyłączeniowa
Data zawarcia Data wydania informacji
Data wydania
umowy o
o możliwości zawarcia
warunków
umowy
kompleksowej
przyłączenie do
przyłączenia
lub dystrybucyjnej
sieci
1
220
221
222
223
224
225
226
227
228
[osoba prawna /
osoba fizyczna]
2
osoba prawna
osoba prawna
osoba prawna
osoba prawna
osoba fizyczna
osoba prawna
osoba prawna
osoba prawna
osoba prawna
229
osoba prawna
śląskie
Pietrowice Wielkie
elektrownia wiatrowa
42000
2011-03-10
2012-07-17
230
231
232
233
234
osoba prawna
osoba prawna
osoba prawna
osoba prawna
osoba prawna
osoba fizyczna z
koncesją
osoba fizyczna
osoba prawna
osoba prawna
dolnośląskie
śląskie
dolnośląskie
dolnośląskie
dolnośląskie
Polkowice
Żory
Świdnica
Głogów
Polkowice
elektrownia gazowa
elektrownia biogazowa
elektrownia biogazowa
elektrownia gazowa
elektrownia gazowa
15000
692
400
39200
27000
2011-12-28
2012-05-08
2012-01-26
2012-03-20
2011-12-28
2012-07-10
2012-06-19
2012-06-14
2012-06-12
2012-06-12
śląskie
Krzepice
elektrownia wiatrowa
1200
2012-04-17
2012-06-04
opolskie
dolnośląskie
opolskie
Pawłowiczki
Strzelin
Byczyna
elektrownia wiatrowa
elektrownia biogazowa
elektrownia gazowa
1000
2000
350
2012-03-17
2011-11-16
2012-02-06
2012-05-15
2012-04-05
2012-04-02
-
235
236
237
238
[województwo]
[gmina]
[rodzaj elektrowni]
[kW]
[rrrr-mm-dd]
[rrrr-mm-dd]
[rrrr-mm-dd]
3
dolnośląskie
dolnośląskie
śląskie
śląskie
opolskie
opolskie
śląskie
śląskie
dolnośląskie
4
Złotoryja
Kostomłoty
Kłomnice
Knurów
Niemodlin
Gogolin
Katowice
Rudnik
Złotoryja
5
elektrownia biogazowa
elektrownia słoneczna
elektrownia wiatrowa
elektrownia gazowa
elektrownia wiatrowa
elektrownia biogazowa
inne
elektrownia wiatrowa
elektrownia wiatrowa
6
1000
2600
470
49390
2000
999
3000
40000
20000
7
2012-08-08
2012-10-10
2012-07-05
2012-06-22
2012-05-28
2012-03-12
2012-01-25
2012-05-15
2011-07-19
8
2012-10-31
2012-10-24
2012-10-12
2012-09-28
2012-09-14
2012-09-14
2012-08-27
2012-08-03
2012-08-01
9
13 z 27
Informacje dotyczące podmiotów ubiegających się o przyłączenie źródeł do sieci elektroenergetycznej o napięciu znamionowym wyższym niż 1 kV
(zgodnie z Ustawą Prawo Energetyczne art. 7, ust. 8l)
TAURON Dystrybucja S.A.
(stan na dzień 05.01.2017 r.)
Lp.
Określenie
przyłączanego
Podmiotu
Lokalizacja przyłączanego obiektu
240
241
242
243
244
245
[osoba prawna /
osoba fizyczna]
2
osoba fizyczna z
koncesją
osoba prawna
osoba prawna
osoba prawna
osoba prawna
osoba prawna
osoba prawna
246
osoba prawna
małopolskie
Wieliczka
247
248
249
250
251
252
253
osoba prawna
osoba prawna
osoba prawna
osoba prawna
osoba prawna
osoba prawna
osoba prawna
małopolskie
dolnośląskie
śląskie
dolnośląskie
dolnośląskie
małopolskie
śląskie
Wadowice
Legnickie Pole
Ruda Śląska
Legnica
Marcinowice
Niepołomice
Poczesna
254
osoba prawna
dolnośląskie
Prochowice
255
osoba prawna
dolnośląskie
Łagiewniki
1
239
Rodzaj przyłączanego źródła
Moc
przyłączeniowa
Data zawarcia Data wydania informacji
Data wydania
umowy o
o możliwości zawarcia
warunków
umowy
kompleksowej
przyłączenie do
przyłączenia
lub dystrybucyjnej
sieci
[województwo]
[gmina]
[rodzaj elektrowni]
[kW]
[rrrr-mm-dd]
[rrrr-mm-dd]
[rrrr-mm-dd]
3
4
6
7
8
9
śląskie
Krzepice
100
2011-11-08
2012-04-02
śląskie
śląskie
śląskie
śląskie
małopolskie
dolnośląskie
Krzepice
Katowice
Kłomnice
Knurów
Tymbark
Janowice Wielkie
5
elektrownia wodna
przepływowa
elektrownia biogazowa
elektrociepłownia
elektrownia wiatrowa
elektrociepłownia
elektrownia biogazowa
elektrownia wiatrowa
elektrownia wodna
przepływowa
elektrociepłownia
elektrownia wiatrowa
elektrownia słoneczna
elektrownia biogazowa
elektrownia wiatrowa
elektrownia gazowa
elektrownia wiatrowa
elektrownia wodna
przepływowa
elektrownia biogazowa
805
246000
350
500
1200
105000
2011-05-27
2011-09-12
2010-03-10
2012-01-26
2012-04-03
2011-08-26
2012-04-02
2012-03-28
2012-03-20
2012-03-19
2012-03-17
2012-03-14
694
2012-03-19
2012-03-07
3600
6000
311
400
900
401
1500
2011-12-19
2011-04-28
2012-01-11
2011-04-27
2011-10-05
2011-02-11
2009-12-31
2012-02-29
2012-02-29
2012-02-21
2012-02-17
2012-02-15
2012-01-31
2011-12-29
400
2008-02-07
2011-12-01
1980
2011-10-18
2011-11-09
14 z 27
Informacje dotyczące podmiotów ubiegających się o przyłączenie źródeł do sieci elektroenergetycznej o napięciu znamionowym wyższym niż 1 kV
(zgodnie z Ustawą Prawo Energetyczne art. 7, ust. 8l)
TAURON Dystrybucja S.A.
(stan na dzień 05.01.2017 r.)
Lp.
Określenie
przyłączanego
Podmiotu
Lokalizacja przyłączanego obiektu
1
[osoba prawna /
osoba fizyczna]
2
256
osoba prawna
małopolskie
Stary Sącz
257
osoba prawna
małopolskie
Kraków
258
osoba prawna
małopolskie
Skawina
259
260
261
262
263
264
265
266
267
268
269
270
271
272
273
274
osoba prawna
osoba prawna
osoba prawna
osoba prawna
osoba prawna
osoba prawna
osoba prawna
osoba prawna
osoba prawna
osoba prawna
osoba prawna
osoba prawna
osoba prawna
osoba prawna
osoba prawna
osoba prawna
opolskie
opolskie
małopolskie
śląskie
dolnośląskie
dolnośląskie
dolnośląskie
opolskie
opolskie
śląskie
opolskie
śląskie
dolnośląskie
dolnośląskie
dolnośląskie
dolnośląskie
Wołczyn
Wołczyn
Rytro
Żory
Gaworzyce
Żukowice
Świdnica
Kluczbork
Kluczbork
Psary
Byczyna
Rudziniec
Zgorzelec
Legnickie Pole
Chojnów
Ruja
-
Rodzaj przyłączanego źródła
Moc
przyłączeniowa
Data zawarcia Data wydania informacji
Data wydania
umowy o
o możliwości zawarcia
warunków
umowy
kompleksowej
przyłączenie do
przyłączenia
lub dystrybucyjnej
sieci
[województwo]
[gmina]
[rodzaj elektrowni]
[kW]
[rrrr-mm-dd]
[rrrr-mm-dd]
[rrrr-mm-dd]
3
4
5
elektrownia wodna
przepływowa
elektrownia biogazowa
elektrownia wodna
przepływowa
elektrownia wiatrowa
elektrownia wiatrowa
elektrownia wiatrowa
elektrociepłownia
elektrownia wiatrowa
elektrownia wiatrowa
elektrownia na biomasę
elektrownia wiatrowa
elektrownia wiatrowa
elektrownia gazowa
elektrownia wiatrowa
elektrownia biogazowa
elektrownia biogazowa
elektrownia wiatrowa
elektrownia wiatrowa
elektrownia wiatrowa
6
7
8
9
450
2011-04-21
2011-10-29
1600
2011-08-11
2011-10-14
1520
2010-12-06
2011-10-12
2000
4000
300
2000
48000
48000
1000
4000
4000
3600
2000
2254
100
45100
4600
5000
2009-12-08
2009-10-19
2010-12-23
2011-07-27
2009-09-23
2009-09-23
2009-12-22
2009-12-08
2009-11-09
2010-09-23
2009-12-08
2011-01-05
2010-12-20
2010-03-10
2009-09-11
2009-05-20
2011-09-27
2011-09-27
2011-09-14
2011-08-23
2011-08-09
2011-08-09
2011-05-20
2011-05-02
2011-05-02
2011-04-27
2011-04-15
2011-03-04
2011-02-04
2010-12-29
2010-12-23
2010-12-23
15 z 27
Informacje dotyczące podmiotów ubiegających się o przyłączenie źródeł do sieci elektroenergetycznej o napięciu znamionowym wyższym niż 1 kV
(zgodnie z Ustawą Prawo Energetyczne art. 7, ust. 8l)
TAURON Dystrybucja S.A.
(stan na dzień 05.01.2017 r.)
Lp.
Określenie
przyłączanego
Podmiotu
Lokalizacja przyłączanego obiektu
Rodzaj przyłączanego źródła
Moc
przyłączeniowa
Data zawarcia Data wydania informacji
Data wydania
umowy o
o możliwości zawarcia
warunków
umowy
kompleksowej
przyłączenie do
przyłączenia
lub dystrybucyjnej
sieci
278
[osoba prawna /
osoba fizyczna]
2
osoba prawna
osoba prawna
osoba fizyczna z
koncesją
osoba prawna
279
osoba prawna
dolnośląskie
Wałbrzych
280
281
282
osoba fizyczna
osoba prawna
osoba prawna
dolnośląskie
dolnośląskie
dolnośląskie
Oława
Mściwojów
Mściwojów
5
elektrownia wiatrowa
elektrownia wiatrowa
elektrownia wodna
przepływowa
elektrownia wiatrowa
elektrownia konw.ze współspal.
biomasy
elektrownia biogazowa
elektrownia wiatrowa
elektrownia wiatrowa
283
osoba prawna
dolnośląskie
Stare Bogaczowice
elektrownia wiatrowa
6000
2010-06-25
2010-09-21
śląskie
Woźniki
elektrownia wiatrowa
1500
2009-04-07
2010-08-26
dolnośląskie
dolnośląskie
dolnośląskie
dolnośląskie
dolnośląskie
dolnośląskie
Świebodzice
Ziębice
Zgorzelec
Zgorzelec
Dobroszyce
Strzelin
elektrownia biogazowa
elektrownia wiatrowa
elektrownia wiatrowa
elektrownia wiatrowa
elektrownia wiatrowa
elektrownia wiatrowa
360
62500
34000
36000
47500
5000
2010-06-01
2010-03-10
2009-07-27
2009-07-27
2009-06-02
2009-05-05
2010-07-12
2010-05-10
2010-05-10
2010-05-10
2010-05-10
2010-05-06
1
275
276
277
284
285
286
287
288
289
290
osoba fizyczna z
koncesją
osoba prawna
osoba prawna
osoba prawna
osoba prawna
osoba prawna
osoba prawna
[województwo]
[gmina]
[rodzaj elektrowni]
[kW]
[rrrr-mm-dd]
[rrrr-mm-dd]
[rrrr-mm-dd]
3
dolnośląskie
dolnośląskie
4
Mściwojów
Chojnów
6
5000
5000
7
2009-05-20
2009-03-30
8
2010-12-23
2010-12-23
9
łódzkie
Radomsko
150
2010-09-17
2010-12-17
opolskie
Wilków
60000
2010-04-30
2010-12-07
1900
2010-10-15
2010-11-05
600
5000
5000
2010-09-16
2009-12-03
2008-10-07
2010-10-08
2010-09-29
2010-09-29
16 z 27
Informacje dotyczące podmiotów ubiegających się o przyłączenie źródeł do sieci elektroenergetycznej o napięciu znamionowym wyższym niż 1 kV
(zgodnie z Ustawą Prawo Energetyczne art. 7, ust. 8l)
TAURON Dystrybucja S.A.
(stan na dzień 05.01.2017 r.)
Lp.
Określenie
przyłączanego
Podmiotu
Lokalizacja przyłączanego obiektu
Rodzaj przyłączanego źródła
Moc
przyłączeniowa
Data zawarcia Data wydania informacji
Data wydania
umowy o
o możliwości zawarcia
warunków
umowy
kompleksowej
przyłączenie do
przyłączenia
lub dystrybucyjnej
sieci
1
[osoba prawna /
osoba fizyczna]
2
291
osoba prawna
małopolskie
Wierzchosławice
292
osoba prawna
małopolskie
Wierzchosławice
293
294
295
296
297
298
299
300
301
302
303
osoba prawna
osoba prawna
osoba prawna
osoba prawna
osoba prawna
osoba prawna
osoba prawna
osoba prawna
osoba prawna
osoba prawna
osoba prawna
osoba fizyczna z
koncesją
osoba prawna
osoba prawna
osoba prawna
osoba prawna
małopolskie
łódzkie
łódzkie
dolnośląskie
opolskie
śląskie
opolskie
opolskie
śląskie
opolskie
opolskie
Zakopane
Nowa Brzeźnica
Nowa Brzeźnica
Trzebnica
Nysa
Kłobuck
Głogówek
Głogówek
Szczekociny
Praszka
Praszka
5
elektrownia wodna
przepływowa
elektrownia wodna
przepływowa
elektrownia gazowa
elektrownia wiatrowa
elektrownia wiatrowa
elektrownia wiatrowa
elektrownia wiatrowa
elektrownia wiatrowa
elektrownia wiatrowa
elektrownia wiatrowa
elektrownia wiatrowa
elektrownia wiatrowa
elektrownia wiatrowa
śląskie
Woźniki
elektrownia wiatrowa
1900
2009-04-07
2010-03-10
podkarpackie
dolnośląskie
podkarpackie
podkarpackie
Wadowice Górne
Trzebnica
Radomyśl Wielki
Radomyśl Wielki
elektrownia wiatrowa
elektrownia biogazowa
elektrownia wiatrowa
elektrownia wiatrowa
900
999
4000
600
2009-02-27
2009-12-23
2009-12-30
2009-12-22
2010-03-09
2010-03-01
2010-02-26
2010-02-19
-
304
305
306
307
308
[województwo]
[gmina]
[rodzaj elektrowni]
[kW]
[rrrr-mm-dd]
[rrrr-mm-dd]
[rrrr-mm-dd]
3
4
6
7
8
9
1910
2008-05-08
2010-04-27
1910
2008-05-05
2010-04-27
1629
2000
2000
3600
5000
6000
2000
2000
4000
6000
4000
2010-02-22
2008-04-18
2008-04-18
2009-09-14
2010-03-03
2009-12-18
2009-11-04
2009-11-04
2009-10-12
2009-07-06
2009-07-06
2010-04-10
2010-04-02
2010-04-02
2010-03-31
2010-03-10
2010-03-10
2010-03-10
2010-03-10
2010-03-10
2010-03-10
2010-03-10
17 z 27
Informacje dotyczące podmiotów ubiegających się o przyłączenie źródeł do sieci elektroenergetycznej o napięciu znamionowym wyższym niż 1 kV
(zgodnie z Ustawą Prawo Energetyczne art. 7, ust. 8l)
TAURON Dystrybucja S.A.
(stan na dzień 05.01.2017 r.)
Lp.
Określenie
przyłączanego
Podmiotu
[osoba prawna /
osoba fizyczna]
1
2
309 osoba prawna
310 osoba prawna
-
Lokalizacja przyłączanego obiektu
Rodzaj przyłączanego źródła
Moc
przyłączeniowa
Data zawarcia Data wydania informacji
Data wydania
umowy o
o możliwości zawarcia
warunków
umowy
kompleksowej
przyłączenie do
przyłączenia
lub dystrybucyjnej
sieci
[województwo]
[gmina]
[rodzaj elektrowni]
[kW]
[rrrr-mm-dd]
[rrrr-mm-dd]
[rrrr-mm-dd]
3
dolnośląskie
śląskie
4
Jelcz-Laskowice
Rybnik
6
600
845
7
2009-11-20
2009-05-18
8
2010-02-11
2009-12-16
9
99
2009-11-04
2009-11-26
4600
6000
2009-10-20
2009-08-25
2009-10-28
2009-09-11
311
osoba prawna
dolnośląskie
Podgórzyn
312
313
osoba fizyczna
osoba prawna
dolnośląskie
dolnośląskie
Oława
Oława
5
elektrociepłownia
elektrociepłownia
elektrownia wodna
przepływowa
elektrownia wiatrowa
elektrownia wiatrowa
314
osoba prawna
śląskie
Pietrowice Wielkie
elektrownia wiatrowa
6000
2009-02-27
2009-09-09
315
osoba prawna
opolskie
Głubczyce
6000
2009-03-04
2009-09-07
316
osoba prawna
dolnośląskie
Osiecznica
410
2009-03-03
2009-08-04
317
318
319
320
osoba prawna
osoba prawna
osoba prawna
osoba prawna
opolskie
dolnośląskie
dolnośląskie
opolskie
Kietrz
Zagrodno
Zagrodno
Głubczyce
4000
46000
40000
30000
2011-07-16
2008-09-26
2008-09-26
2008-04-08
2009-03-09
2008-12-30
2008-12-30
2008-09-19
321
osoba prawna
opolskie
Opole
800
2006-11-07
2008-08-07
322
323
324
osoba prawna
osoba prawna
osoba fizyczna
dolnośląskie
dolnośląskie
opolskie
Męcinka
Męcinka
Leśnica
elektrownia wiatrowa
elektrownia wodna
przepływowa
elektrownia wiatrowa
elektrownia wiatrowa
elektrownia wiatrowa
elektrownia wiatrowa
elektrownia wodna
przepływowa
elektrownia wiatrowa
elektrownia wiatrowa
elektrownia wiatrowa
2000
2000
750
2006-04-28
2006-04-28
2007-05-21
2008-04-14
2008-04-14
2007-08-20
18 z 27
Informacje dotyczące podmiotów ubiegających się o przyłączenie źródeł do sieci elektroenergetycznej o napięciu znamionowym wyższym niż 1 kV
(zgodnie z Ustawą Prawo Energetyczne art. 7, ust. 8l)
TAURON Dystrybucja S.A.
(stan na dzień 05.01.2017 r.)
Lp.
Określenie
przyłączanego
Podmiotu
Lokalizacja przyłączanego obiektu
1
[osoba prawna /
osoba fizyczna]
2
325
osoba prawna
dolnośląskie
Środa Śląska
326
osoba prawna
małopolskie
Wierzchosławice
327
328
329
330
331
332
333
334
osoba prawna
osoba prawna
osoba prawna
osoba prawna
osoba fizyczna
osoba prawna
osoba prawna
osoba prawna
łódzkie
dolnośląskie
małopolskie
śląskie
łódzkie
małopolskie
śląskie
dolnośląskie
Częstochowa
Głogów
Wojnicz
Zabrze
Żarki
Dębica
Jastrzębie-Zdrój
Olszyna
335
osoba prawna
małopolskie
Skawina
336
337
338
339
340
341
342
osoba prawna
osoba prawna
osoba prawna
osoba prawna
osoba fizyczna
osoba prawna
osoba prawna
śląskie
śląskie
małopolskie
małopolskie
dolnośląskie
dolnośląskie
śląskie
Jastrzębie-Zdrój
Jastrzębie-Zdrój
Skawina
Gnojnik
Pielgrzymka
Dzierżoniów
Rudnik
-
Rodzaj przyłączanego źródła
Moc
przyłączeniowa
Data zawarcia Data wydania informacji
Data wydania
umowy o
o możliwości zawarcia
warunków
umowy
kompleksowej
przyłączenie do
przyłączenia
lub dystrybucyjnej
sieci
[województwo]
[gmina]
[rodzaj elektrowni]
[kW]
[rrrr-mm-dd]
[rrrr-mm-dd]
[rrrr-mm-dd]
3
4
5
elektrownia wodna
przepływowa
elektrownia wodna
przepływowa
elektrownia słoneczna
elektrownia słoneczna
elektrownia słoneczna
elektrownia kogeneracyjna
elektrownia słoneczna
elektrownia słoneczna
elektrownia gazowa
elektrownia słoneczna
elektrownia wodna
przepływowa
elektrownia słoneczna
elektrownia słoneczna
elektrownia słoneczna
elektrownia słoneczna
elektrownia słoneczna
elektrownia słoneczna
elektrownia wiatrowa
6
7
8
9
10665
2006-01-19
2006-04-14
2100
2004-07-07
2005-06-21
90
990
1230
350
990
1800
1650
99,84
2016-12-13
2016-12-13
2016-12-09
2016-12-07
2016-12-02
2016-11-07
2016-10-26
2016-10-25
760
2016-10-24
500
500
999
420
1000
320
1000
2016-10-18
2016-10-18
2016-10-06
2016-10-06
2016-10-04
2016-10-04
2016-09-29
19 z 27
Informacje dotyczące podmiotów ubiegających się o przyłączenie źródeł do sieci elektroenergetycznej o napięciu znamionowym wyższym niż 1 kV
(zgodnie z Ustawą Prawo Energetyczne art. 7, ust. 8l)
TAURON Dystrybucja S.A.
(stan na dzień 05.01.2017 r.)
Lp.
1
343
344
345
346
347
348
349
350
351
352
353
354
355
356
357
358
359
360
361
362
Określenie
przyłączanego
Podmiotu
[osoba prawna /
osoba fizyczna]
2
osoba prawna
osoba prawna
osoba prawna
osoba prawna
osoba prawna
osoba prawna
osoba prawna
osoba prawna
osoba prawna
osoba prawna
osoba prawna
osoba prawna
osoba prawna
osoba prawna
osoba prawna
osoba prawna
osoba prawna
osoba prawna
osoba prawna
osoba prawna
Lokalizacja przyłączanego obiektu
Rodzaj przyłączanego źródła
Moc
przyłączeniowa
Data zawarcia Data wydania informacji
Data wydania
umowy o
o możliwości zawarcia
warunków
umowy
kompleksowej
przyłączenie do
przyłączenia
lub dystrybucyjnej
sieci
[województwo]
[gmina]
[rodzaj elektrowni]
[kW]
[rrrr-mm-dd]
[rrrr-mm-dd]
[rrrr-mm-dd]
3
dolnośląskie
dolnośląskie
dolnośląskie
dolnośląskie
dolnośląskie
łódzkie
małopolskie
dolnośląskie
śląskie
dolnośląskie
łódzkie
łódzkie
śląskie
śląskie
śląskie
dolnośląskie
dolnośląskie
dolnośląskie
małopolskie
małopolskie
4
Bolesławiec
Gryfów Śląski
Stara Kamienica
Gryfów Śląski
Stara Kamienica
Gorzów Śląski
Trzciana
Sulików
Ustroń
Sulików
Pajęczno
Pajęczno
Zbrosławice
Blachownia
Gorzów Śląski
Legnica
Zgorzelec
Głogów
Dębica
Pilzno
5
elektrownia słoneczna
elektrownia słoneczna
elektrownia słoneczna
elektrownia słoneczna
elektrownia słoneczna
elektrownia słoneczna
elektrownia słoneczna
elektrownia wiatrowa
elektrownia słoneczna
elektrownia wiatrowa
elektrownia wiatrowa
elektrownia wiatrowa
elektrownia słoneczna
elektrownia słoneczna
elektrownia wiatrowa
elektrownia kogeneracyjna
elektrownia słoneczna
elektrownia gazowa
elektrownia słoneczna
elektrownia słoneczna
6
449,1
655
99,84
935
99,84
1000
998
1000
998
1000
1000
1000
3000
945
1000
8267
970
12489
900
900
7
2016-09-22
2016-09-20
2016-09-20
2016-09-20
2016-09-20
2016-09-19
2016-09-13
2016-09-08
2016-09-07
2016-09-07
2016-09-05
2016-09-05
2016-08-30
2016-08-30
2016-08-29
2016-08-24
2016-07-28
2016-07-25
2016-07-20
2016-07-19
8
9
20 z 27
Informacje dotyczące podmiotów ubiegających się o przyłączenie źródeł do sieci elektroenergetycznej o napięciu znamionowym wyższym niż 1 kV
(zgodnie z Ustawą Prawo Energetyczne art. 7, ust. 8l)
TAURON Dystrybucja S.A.
(stan na dzień 05.01.2017 r.)
Lp.
Określenie
przyłączanego
Podmiotu
Lokalizacja przyłączanego obiektu
Rodzaj przyłączanego źródła
Moc
przyłączeniowa
Data zawarcia Data wydania informacji
Data wydania
umowy o
o możliwości zawarcia
warunków
umowy
kompleksowej
przyłączenie do
przyłączenia
lub dystrybucyjnej
sieci
1
[osoba prawna /
osoba fizyczna]
2
363
osoba prawna
dolnośląskie
Mysłakowice
elektrownia konwencjonalna
4950
2016-07-13
364
365
366
367
368
369
370
371
372
373
374
375
376
377
378
379
380
381
382
osoba prawna
osoba prawna
osoba prawna
osoba prawna
osoba prawna
osoba prawna
osoba prawna
osoba prawna
osoba prawna
osoba fizyczna
osoba prawna
osoba prawna
osoba prawna
osoba prawna
osoba prawna
osoba prawna
osoba prawna
osoba prawna
osoba prawna
śląskie
dolnośląskie
dolnośląskie
śląskie
śląskie
śląskie
śląskie
łódzkie
śląskie
dolnośląskie
śląskie
śląskie
śląskie
śląskie
śląskie
dolnośląskie
dolnośląskie
dolnośląskie
dolnośląskie
Tarnowskie Góry
Rudna
Zagrodno
Gorzyce
Rybnik
Świętochłowice
Rybnik
Kłomnice
Bytom
Lubomierz
Częstochowa
Jastrzębie-Zdrój
Jastrzębie-Zdrój
Katowice
Katowice
Prusice
Bogatynia
Bogatynia
Bogatynia
elektrownia kogeneracyjna
elektrownia słoneczna
elektrownia słoneczna
elektrownia słoneczna
elektrownia kogeneracyjna
elektrownia kogeneracyjna
elektrownia kogeneracyjna
elektrownia słoneczna
elektrownia słoneczna
elektrownia słoneczna
elektrownia słoneczna
elektrociepłownia
elektrociepłownia
elektrownia kogeneracyjna
elektrownia kogeneracyjna
elektrownia słoneczna
elektrownia słoneczna
elektrownia słoneczna
elektrownia słoneczna
260
999,85
990
200
1350
380
1350
231
300
476
100
6000
6000
16000
16000
500
998,4
998,4
998,4
2016-06-29
2016-06-21
2016-06-20
2016-06-16
2016-06-16
2016-06-16
2016-06-16
2016-06-15
2016-06-09
2016-06-07
2016-06-06
2016-06-03
2016-06-03
2016-06-02
2016-06-02
2016-06-02
2016-05-19
2016-05-19
2016-05-19
-
[województwo]
[gmina]
[rodzaj elektrowni]
[kW]
[rrrr-mm-dd]
[rrrr-mm-dd]
[rrrr-mm-dd]
3
4
5
6
7
8
9
21 z 27
Informacje dotyczące podmiotów ubiegających się o przyłączenie źródeł do sieci elektroenergetycznej o napięciu znamionowym wyższym niż 1 kV
(zgodnie z Ustawą Prawo Energetyczne art. 7, ust. 8l)
TAURON Dystrybucja S.A.
(stan na dzień 05.01.2017 r.)
Lp.
1
383
384
385
386
387
388
389
390
391
392
393
394
395
396
397
398
399
400
401
402
403
Określenie
przyłączanego
Podmiotu
[osoba prawna /
osoba fizyczna]
2
osoba prawna
osoba prawna
osoba prawna
osoba prawna
osoba prawna
osoba prawna
osoba prawna
osoba prawna
osoba prawna
osoba prawna
osoba prawna
osoba prawna
osoba prawna
osoba fizyczna
osoba prawna
osoba prawna
osoba prawna
osoba prawna
osoba prawna
osoba prawna
osoba prawna
Lokalizacja przyłączanego obiektu
Rodzaj przyłączanego źródła
Moc
przyłączeniowa
Data zawarcia Data wydania informacji
Data wydania
umowy o
o możliwości zawarcia
warunków
umowy
kompleksowej
przyłączenie do
przyłączenia
lub dystrybucyjnej
sieci
[województwo]
[gmina]
[rodzaj elektrowni]
[kW]
[rrrr-mm-dd]
[rrrr-mm-dd]
[rrrr-mm-dd]
3
dolnośląskie
dolnośląskie
łódzkie
śląskie
małopolskie
małopolskie
dolnośląskie
śląskie
śląskie
śląskie
wielkopolskie
dolnośląskie
małopolskie
małopolskie
dolnośląskie
małopolskie
dolnośląskie
dolnośląskie
dolnośląskie
śląskie
śląskie
4
Prusice
Bogatynia
Pajęczno
Cieszyn
Myślenice
Radgoszcz
Gromadka
Kłobuck
Kłobuck
Kłobuck
Kłobuck
Węgliniec
Żegocina
Bochnia
Grębocice
Wojnicz
Jelenia Góra
Prusice
Oborniki Śląskie
Rydułtowy
Rydułtowy
5
elektrownia słoneczna
elektrownia słoneczna
elektrownia kogeneracyjna
elektrownia słoneczna
elektrownia kogeneracyjna
elektrownia słoneczna
elektrownia słoneczna
elektrownia wiatrowa
elektrownia wiatrowa
elektrownia wiatrowa
elektrownia wiatrowa
elektrownia słoneczna
elektrownia słoneczna
elektrownia słoneczna
elektrownia słoneczna
elektrownia słoneczna
elektrownia słoneczna
elektrownia słoneczna
elektrownia słoneczna
elektrownia kogeneracyjna
elektrownia kogeneracyjna
6
884
998,4
160
650
1000
600
1880
1000
1000
1000
1000
314,5
193
200
999,85
1230
100
884
1000
8333,33
8333,33
7
2016-05-19
2016-05-19
2016-05-18
2016-05-10
2016-04-25
2016-04-21
2016-04-20
2016-04-15
2016-04-15
2016-04-15
2016-04-15
2016-04-15
2016-04-15
2016-04-14
2016-04-11
2016-04-11
2016-04-07
2016-03-30
2016-03-29
2016-03-29
2016-03-29
8
9
22 z 27
Informacje dotyczące podmiotów ubiegających się o przyłączenie źródeł do sieci elektroenergetycznej o napięciu znamionowym wyższym niż 1 kV
(zgodnie z Ustawą Prawo Energetyczne art. 7, ust. 8l)
TAURON Dystrybucja S.A.
(stan na dzień 05.01.2017 r.)
Lp.
Określenie
przyłączanego
Podmiotu
[osoba prawna /
osoba fizyczna]
1
2
404 osoba prawna
405 osoba prawna
406 osoba prawna
-
Lokalizacja przyłączanego obiektu
Rodzaj przyłączanego źródła
Moc
przyłączeniowa
Data zawarcia Data wydania informacji
Data wydania
umowy o
o możliwości zawarcia
warunków
umowy
kompleksowej
przyłączenie do
przyłączenia
lub dystrybucyjnej
sieci
[województwo]
[gmina]
[rodzaj elektrowni]
[kW]
[rrrr-mm-dd]
[rrrr-mm-dd]
[rrrr-mm-dd]
3
śląskie
dolnośląskie
dolnośląskie
4
Rydułtowy
Zgorzelec
Kamienna Góra
6
8333,33
1764,9
1940
7
2016-03-29
2016-03-25
2016-03-22
8
9
150
2016-03-21
1020
850
250
800
998,4
900
998,4
998,2
500
2016-03-17
2016-03-17
2016-03-01
2016-02-25
2016-02-25
2016-02-23
2016-02-19
2016-02-18
2016-02-18
407
osoba prawna
łódzkie
Gidle
408
409
410
411
412
413
414
415
416
osoba prawna
osoba prawna
osoba prawna
osoba prawna
osoba prawna
osoba prawna
osoba prawna
osoba prawna
osoba prawna
dolnośląskie
śląskie
śląskie
śląskie
dolnośląskie
podkarpackie
dolnośląskie
dolnośląskie
śląskie
Wisznia Mała
Bielsko-Biała
Tarnowskie Góry
Zbrosławice
Oleśnica
Żyraków
Oleśnica
Oleśnica
Świętochłowice
5
elektrownia kogeneracyjna
elektrownia słoneczna
elektrownia słoneczna
elektrownia wodna
przepływowa
elektrownia słoneczna
elektrownia gazowa
elektrownia słoneczna
elektrownia kogeneracyjna
elektrownia słoneczna
elektrownia słoneczna
elektrownia słoneczna
elektrownia słoneczna
elektrownia kogeneracyjna
417
osoba prawna
śląskie
Miasteczko Śląskie
elektrownia wiatrowa
2000
2016-02-17
418
419
420
421
422
osoba prawna
osoba prawna
osoba fizyczna
osoba prawna
osoba prawna
małopolskie
dolnośląskie
śląskie
śląskie
śląskie
Żabno
Oleśnica
Ciasna
Przyrów
Olesno
elektrownia słoneczna
elektrownia słoneczna
elektrownia słoneczna
elektrownia wiatrowa
elektrownia słoneczna
100
949,5
330
5060
1000
2016-02-17
2016-02-16
2016-02-15
2016-02-15
2016-02-15
23 z 27
Informacje dotyczące podmiotów ubiegających się o przyłączenie źródeł do sieci elektroenergetycznej o napięciu znamionowym wyższym niż 1 kV
(zgodnie z Ustawą Prawo Energetyczne art. 7, ust. 8l)
TAURON Dystrybucja S.A.
(stan na dzień 05.01.2017 r.)
Lp.
Określenie
przyłączanego
Podmiotu
[osoba prawna /
osoba fizyczna]
1
2
423 osoba prawna
424 osoba prawna
-
Lokalizacja przyłączanego obiektu
Rodzaj przyłączanego źródła
Moc
przyłączeniowa
Data zawarcia Data wydania informacji
Data wydania
umowy o
o możliwości zawarcia
warunków
umowy
kompleksowej
przyłączenie do
przyłączenia
lub dystrybucyjnej
sieci
[województwo]
[gmina]
[rodzaj elektrowni]
[kW]
[rrrr-mm-dd]
[rrrr-mm-dd]
[rrrr-mm-dd]
3
śląskie
śląskie
4
Przyrów
Gorzów Śląski
5
elektrownia wiatrowa
elektrownia wiatrowa
elektrownia wodna
przepływowa
elektrownia słoneczna
elektrownia wodna
przepływowa
elektrownia słoneczna
elektrownia słoneczna
elektrownia słoneczna
elektrownia słoneczna
elektrownia słoneczna
elektrownia słoneczna
elektrownia słoneczna
elektrownia słoneczna
elektrownia słoneczna
elektrownia słoneczna
elektrownia słoneczna
elektrownia słoneczna
elektrownia słoneczna
elektrownia biogazowa
6
5060
800
7
2016-02-15
2016-02-03
8
9
2565
2016-01-25
1000
2016-01-22
200
2016-01-22
4725
990
2000
883,2
883,2
204
999
999
300
2000
40
40
1000
1500
2016-01-08
2015-12-23
2015-12-18
2015-12-17
2015-12-17
2015-11-13
2015-11-04
2015-11-04
2015-11-04
2015-11-03
2015-11-03
2015-11-02
2015-11-02
2015-10-28
425
osoba prawna
dolnośląskie
Czernica
426
osoba prawna
małopolskie
Kraków
427
osoba fizyczna
małopolskie
Bochnia
428
429
430
431
432
433
434
435
436
437
438
439
440
441
osoba prawna
osoba prawna
osoba prawna
osoba prawna
osoba prawna
osoba prawna
osoba prawna
osoba prawna
osoba fizyczna
osoba prawna
osoba fizyczna
osoba fizyczna
osoba prawna
osoba prawna
opolskie
dolnośląskie
opolskie
opolskie
opolskie
dolnośląskie
opolskie
opolskie
opolskie
dolnośląskie
małopolskie
małopolskie
małopolskie
śląskie
Łambinowice
Pęcław
Ozimek
Olszanka
Olszanka
Lubawka
Prószków
Prószków
Prószków
Stoszowice
Gnojnik
Gnojnik
Borzęcin
Radzionków
24 z 27
Informacje dotyczące podmiotów ubiegających się o przyłączenie źródeł do sieci elektroenergetycznej o napięciu znamionowym wyższym niż 1 kV
(zgodnie z Ustawą Prawo Energetyczne art. 7, ust. 8l)
TAURON Dystrybucja S.A.
(stan na dzień 05.01.2017 r.)
Lp.
1
442
443
444
445
446
447
448
449
450
451
452
453
454
455
456
457
458
459
460
461
462
Określenie
przyłączanego
Podmiotu
[osoba prawna /
osoba fizyczna]
2
osoba prawna
osoba prawna
osoba prawna
osoba prawna
osoba prawna
osoba prawna
osoba prawna
osoba prawna
osoba prawna
osoba prawna
osoba fizyczna
osoba prawna
osoba prawna
osoba prawna
osoba prawna
osoba prawna
osoba prawna
osoba prawna
osoba prawna
osoba prawna
osoba prawna
Lokalizacja przyłączanego obiektu
Rodzaj przyłączanego źródła
Moc
przyłączeniowa
Data zawarcia Data wydania informacji
Data wydania
umowy o
o możliwości zawarcia
warunków
umowy
kompleksowej
przyłączenie do
przyłączenia
lub dystrybucyjnej
sieci
[województwo]
[gmina]
[rodzaj elektrowni]
[kW]
[rrrr-mm-dd]
[rrrr-mm-dd]
[rrrr-mm-dd]
3
dolnośląskie
śląskie
śląskie
śląskie
śląskie
śląskie
śląskie
śląskie
śląskie
śląskie
śląskie
śląskie
podkarpackie
opolskie
dolnośląskie
małopolskie
podkarpackie
śląskie
dolnośląskie
małopolskie
dolnośląskie
4
Legnickie Pole
Rybnik
Wielowieś
Wielowieś
Przyrów
Przyrów
Przyrów
Chorzów
Lędziny
Rydułtowy
Koziegłowy
Częstochowa
Dębica
Olszanka
Legnica
Olesno
Pilzno
Ustroń
Bogatynia
Brzesko
Oleśnica
5
elektrownia kogeneracyjna
elektrownia gazowa
elektrownia wiatrowa
elektrownia wiatrowa
elektrownia wiatrowa
elektrownia wiatrowa
elektrownia wiatrowa
elektrownia słoneczna
elektrownia słoneczna
elektrociepłownia
elektrownia wiatrowa
elektrownia słoneczna
elektrownia słoneczna
elektrownia słoneczna
elektrownia słoneczna
elektrownia biogazowa
elektrownia słoneczna
elektrownia gazowa
elektrownia na biomasę
elektrownia słoneczna
elektrownia słoneczna
6
550
1996
6600
3300
5060
2530
5060
999
488,8
4000
3000
515
1000
650
5000
600
75
1250
7500
960
990
7
2015-10-14
2015-10-13
2015-10-07
2015-10-07
2015-10-05
2015-10-05
2015-10-05
2015-09-23
2015-09-15
2015-09-03
2015-08-27
2015-08-21
2015-08-19
2015-08-06
2015-07-24
2015-07-22
2015-07-20
2015-07-16
2015-07-15
2015-07-15
2015-07-02
8
9
25 z 27
Informacje dotyczące podmiotów ubiegających się o przyłączenie źródeł do sieci elektroenergetycznej o napięciu znamionowym wyższym niż 1 kV
(zgodnie z Ustawą Prawo Energetyczne art. 7, ust. 8l)
TAURON Dystrybucja S.A.
(stan na dzień 05.01.2017 r.)
Lp.
Określenie
przyłączanego
Podmiotu
Lokalizacja przyłączanego obiektu
1
463
464
465
466
467
[osoba prawna /
osoba fizyczna]
2
osoba prawna
osoba prawna
osoba prawna
osoba prawna
osoba prawna
468
osoba prawna
dolnośląskie
469
470
471
472
473
474
475
476
477
478
479
480
481
482
osoba prawna
osoba prawna
osoba prawna
osoba prawna
osoba fizyczna
osoba prawna
osoba prawna
osoba fizyczna
osoba fizyczna
osoba prawna
osoba prawna
osoba prawna
osoba prawna
osoba prawna
małopolskie
małopolskie
małopolskie
dolnośląskie
dolnośląskie
małopolskie
małopolskie
śląskie
dolnośląskie
śląskie
małopolskie
opolskie
śląskie
śląskie
-
Rodzaj przyłączanego źródła
Moc
przyłączeniowa
Data zawarcia Data wydania informacji
Data wydania
umowy o
o możliwości zawarcia
warunków
umowy
kompleksowej
przyłączenie do
przyłączenia
lub dystrybucyjnej
sieci
[województwo]
[gmina]
[rodzaj elektrowni]
[kW]
[rrrr-mm-dd]
[rrrr-mm-dd]
[rrrr-mm-dd]
3
dolnośląskie
dolnośląskie
dolnośląskie
śląskie
dolnośląskie
4
Oleśnica
Rudna
Oława
Rudniki
Rudna
Kamieniec
Ząbkowicki
Lisia Góra
Kraków
Kraków
Rudna
Zgorzelec
Słomniki
Nowy Wiśnicz
Ciasna
Osiecznica
Wodzisław Śląski
Mędrzechów
Strzeleczki
Wręczyca Wielka
Katowice
5
elektrownia słoneczna
elektrownia słoneczna
elektrownia słoneczna
elektrownia słoneczna
elektrownia słoneczna
6
999,75
3000
442
320
2000
7
2015-06-30
2015-06-30
2015-06-26
2015-06-23
2015-06-22
8
9
elektrownia słoneczna
1999
2015-06-19
elektrownia słoneczna
elektrownia kogeneracyjna
elektrownia gazowa
elektrownia słoneczna
elektrownia słoneczna
elektrownia słoneczna
elektrownia kogeneracyjna
elektrownia słoneczna
elektrownia słoneczna
elektrownia słoneczna
elektrownia słoneczna
elektrownia słoneczna
elektrownia wiatrowa
elektrownia słoneczna
500
238
238
1000
17000
3000
20
936
999,81
3000
992
1900
800
1350
2015-06-18
2015-06-15
2015-06-15
2015-06-10
2015-06-03
2015-06-03
2015-05-21
2015-05-20
2015-05-20
2015-05-20
2015-05-07
2015-04-29
2015-04-27
2015-04-22
26 z 27
Informacje dotyczące podmiotów ubiegających się o przyłączenie źródeł do sieci elektroenergetycznej o napięciu znamionowym wyższym niż 1 kV
(zgodnie z Ustawą Prawo Energetyczne art. 7, ust. 8l)
TAURON Dystrybucja S.A.
(stan na dzień 05.01.2017 r.)
Lp.
1
483
484
485
486
487
488
489
490
491
492
493
494
495
496
Określenie
przyłączanego
Podmiotu
[osoba prawna /
osoba fizyczna]
2
osoba prawna
osoba fizyczna
osoba fizyczna
osoba fizyczna z
koncesją
osoba fizyczna
osoba fizyczna z
koncesją
osoba prawna
osoba prawna
osoba prawna
osoba prawna
osoba prawna
osoba prawna
osoba prawna
osoba prawna
Lokalizacja przyłączanego obiektu
Rodzaj przyłączanego źródła
Moc
przyłączeniowa
Data zawarcia Data wydania informacji
Data wydania
umowy o
o możliwości zawarcia
warunków
umowy
kompleksowej
przyłączenie do
przyłączenia
lub dystrybucyjnej
sieci
[województwo]
[gmina]
[rodzaj elektrowni]
[kW]
[rrrr-mm-dd]
[rrrr-mm-dd]
[rrrr-mm-dd]
3
śląskie
śląskie
śląskie
4
Toszek
Dąbrowa Górnicza
Mysłowice
5
elektrownia wiatrowa
elektrownia słoneczna
elektrownia słoneczna
6
2000
500
1750
7
2015-03-26
2015-03-09
2015-03-04
8
9
dolnośląskie
Ziębice
elektrownia słoneczna
300
2015-02-27
małopolskie
Babice
elektrownia słoneczna
200
2015-01-23
śląskie
Koszęcin
elektrownia słoneczna
524
2015-01-16
śląskie
dolnośląskie
dolnośląskie
dolnośląskie
dolnośląskie
dolnośląskie
dolnośląskie
dolnośląskie
Olesno
Żmigród
Oleśnica
Żmigród
Żmigród
Żmigród
Żmigród
Żmigród
elektrownia słoneczna
elektrownia słoneczna
elektrownia słoneczna
elektrownia słoneczna
elektrownia słoneczna
elektrownia słoneczna
elektrownia słoneczna
elektrownia słoneczna
1000
998,4
998,4
998,4
998,4
998,4
998,4
998,4
2015-01-16
2015-01-15
2015-01-15
2015-01-09
2015-01-09
2015-01-09
2015-01-08
2015-01-08
27 z 27